Event Abstract

Reciprocal inhibition and slow calcium decay in perigeniculate interneurons explain changes of
spontaneous firing of thalamic cells caused by cortical inactivation

  • 1 Nencki Institute of Experimental Biology, Neurophysiology, Poland
  • 2 Nencki Institute of Experimental Biology, Neurophysiology, Poland

The role of cortical feedback in thalamocortical processing loop has been extensively investigated over the last decades. With exception of several cases, these searches focused on cortical feedback
exerted onto thalamo-cortical relay (TCR) cells of the dorsal lateral geniculate nucleus (LGN). In a
previous, physiological study we showed in the cat visual system that cessation of cortical input,
despite decrease of spontaneous activity of TCR cells, increased spontaneous firing of their recurrent inhibitory interneurons located in the perigeniculate neucleus (PGN).
To identify mechanisms underlying such functional changes we conducted a modeling study in
NEURON on several networks of point neurons with varied model parameters, such as membrane
properties, synaptic weights and axonal delays. We considered six network topologies of the retino-
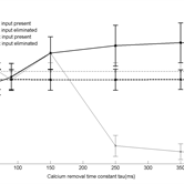
geniculo-cortical system. All models were robust against changes of axonal delays except for the delay between LGN feed-forward interneuron and TCR cell. Models were manually tuned to achieve results closest to the experimental ones and than conformance of the models' output was verified by systematic search in the parameter space . The best representation of physiological results was obtained with models containing reciprocally connected PGN cells driven by the cortex assuming relatively slow decay of intracellular calcium. This strongly indicates that the thalamic reticular nucleus plays an essential role in the cortical influence over thalamo-cortical relay cells while the thalamic feed-forward interneurons are not essential in this process. Further, we suggest that the dependence of the activity of PGN cells on the rate of calcium removal can be one of the key factors determining individual cell response to elimination of cortical input.

Figure 1

References

Ahlsen, G., Lindström, S., Lo, F.-S. (1985). Interaction between inhibitory pathways to principal cells in the lateral geniculate nucleus of the cat. Experimental Brain Research. 58,134–43.
Bal ,T., Debay, D., Destexhe, A. (2000). Cortical feedback controls the frequency and synchrony of oscillations in the visual thalamus. Journal of neuroscience. 20, 7478–88.
Destexhe, A., Contreras, D., Sejnowski, T.J., Steriade, M. (1994). A model of spindle rhythmicity in the isolated thalamic reticular nucleus. Journal of Neurophysiology. 72, 803–18.
Halnes, G., Augustinaite, S., Heggelund, P., Einevoll, G.T., Migliore, M. (2011) A Multi-Compartment Model for Interneurons in the Dorsal Lateral Geniculate Nucleus. PLoS Comput Biol. doi: 7(9): e1002160.
Hines, M., Carnevale, N.T. (1997). The NEURON simulation environment. Neural Comp 9. 1178–1209.
McCormick, D.A., Huguenard, J.R. (1992). A Model of the Electrophysiological Properties of Thalamocortical Relay Neurons. Journal of Neurophysiology. 68, 1384–1400.
Pape, H.-C., McCormick, D.A. (1995). Electrophysiological and pharmacological properties on interneurons in the cat dorsal lateral geniculate nucleus. Journal of Neuroscience. 68, 1105–1125.
Sanchez-Vives, M.V., Bal, T., McCormick, D.A. (1977). Inhibitory Interactions between Perigeniculate GABAergic Neurons. Journal of Neuroscience, 17(22). 8894–8908.
Sugaya, E., Furuichi, H., Takagi, T., Kajiwara, K., Komatsubara, J., Sugaya, A. (1988). Action of cyclic AMP on intracellular calcium concentration and bursting activity. Epilepsy Res. 2, 317–322.
Waleszczyk, W.J., Bekisz, M., Wróbel, A. (2005). Cortical modulation of neuronal activity in the cat’s lateral geniculate and perigeniculate nuclei. Experimental Neurology. 196, 54–72.

Keywords: Calcium, cortical feedback, Lateral Geniculate Nucleus, modeling, perigeniculate nucleus

Conference: Bernstein Conference 2012, Munich, Germany, 12 Sep - 14 Sep, 2012.

Presentation Type: Poster

Topic: Other

Citation: Rogala J, Waleszczyk W, Łęski S, Wróbel A and Wójcik DK (2012). Reciprocal inhibition and slow calcium decay in perigeniculate interneurons explain changes of
spontaneous firing of thalamic cells caused by cortical inactivation. Front. Comput. Neurosci. Conference Abstract: Bernstein Conference 2012. doi: 10.3389/conf.fncom.2012.55.00012

Copyright: The abstracts in this collection have not been subject to any Frontiers peer review or checks, and are not endorsed by Frontiers. They are made available through the Frontiers publishing platform as a service to conference organizers and presenters.

The copyright in the individual abstracts is owned by the author of each abstract or his/her employer unless otherwise stated.

Each abstract, as well as the collection of abstracts, are published under a Creative Commons CC-BY 4.0 (attribution) licence (https://creativecommons.org/licenses/by/4.0/) and may thus be reproduced, translated, adapted and be the subject of derivative works provided the authors and Frontiers are attributed.

For Frontiers’ terms and conditions please see https://www.frontiersin.org/legal/terms-and-conditions.

Received: 18 Sep 2012; Published Online: 12 Sep 2012.

* Correspondence: Mr. Jacek Rogala, Nencki Institute of Experimental Biology, Neurophysiology, Warsaw, Poland, rogala.jacek@gmail.com