Abstract
Understanding language learning in later life can elucidate how linguistic experiences and age-specific cognitive skills can be leveraged for language acquisition, providing insight into how lifelong experiences configure our learning capacity. In this study, we examined to what extent acquisition and maintenance of a non-native language (English) is scaffolded by cognitive skills and previous linguistic experiences in older adults; and to what extent these cognitive/linguistic factors predict older learners’ success in acquiring novel functional language. We recruited 53 participants who were native speakers of Mandarin, Spanish, Tagalog, and Somali, had continued to learn English as adults, and were currently exposed to majority-English contexts. To identify contributors to participants’ English skills, we administered a language history and self-reported proficiency interview, brief cognitive testing, and verbal fluency tasks in L1 and English. We found that digit span and orientation measures were cognitive predictors of English proficiency, while similarity of known languages to English, L1 skills, and English language exposure were linguistic predictors of English skills. To examine participants’ ability to maintain language knowledge and to learn new functional English, we also conducted a preliminary longitudinal service-based study in a subset of 19 participants using our Specific-Purpose English Communication System for Seniors (SPECSS) curriculum. In this subset of SPECSS learners, we identified digit span and orientation, but not age, as cognitive predictors of short-term language maintenance. Further, better novel English learning as a result of our curriculum was observed in learners whose other known languages were less similar to English. Findings inform best practices in developing language curricula for older adults, and help generate new hypotheses on preparedness for language learning across the adult lifespan with a possible interaction between cognitive skills and transfer of knowledge from previous languages in multilingual older learners.
Introduction
Increased age has long been thought of as limiting individuals’ abilities to learn new languages, consistent with age-related changes in memory (e.g., Ullman, 2001; Janacsek et al., 2012) as well as in neural plasticity (e.g., Lillard and Erisir, 2011). Yet, cognitive benefits (Bak et al., 2016), neural reorganization (Mohr et al., 2014), and learning success (Marcotte and Ansaldo, 2014) have been demonstrated with language training in older adults. The literature on older adults’ language learning remains sparse (Blumenfeld, 2012; Antoniou et al., 2013; Marcotte and Ansaldo, 2014; Bak et al., 2016) and clear practical and theoretical needs exist for a better understanding of language learning capacity across the lifespan. For example, of the US population above age 60, 15% speak a language other than English at home and, of these individuals, 58% speak English “less than very well” (Ryan, 2013). Low proficiency in the majority language has been shown to reduce health outcomes (Ponce et al., 2006; Mui et al., 2007) and well-being (Ding and Hargraves, 2009), creating a need for age/cognition-appropriate language curricula that can enhance the functional English skills of older adults. Further, understanding language learning in later life can elucidate how extensive linguistic experiences and age-specific cognitive skills can be leveraged for novel language acquisition, thus providing insight into how lifelong experiences configure our language learning capacity. Here, we examine cognitive and linguistic predictors of language attainment in a diverse group of older adults who are late learners of English, and report on an initial examination of language maintenance and novel learning in a subset of this group that can inform benefits of and approaches to language learning in older adults.
Hurdles to adult foreign language learning include greater entrenchment of already-acquired linguistic knowledge, potentially making it more challenging for adult learners to re-structure representations during novel learning. Relatedly, robust previous language representations may result in negative transfer of previous knowledge to the new language, yielding errors, and incomplete acquisition. Moreover, lack of social opportunities to use the new language may limit the extent of immersion. On the flip side, factors that may optimize adult language acquisition include positive transfer of previously acquired knowledge to the new language and internalization of novel linguistic information through continued immersion (Unified Model of Second Language Acquisition, MacWhinney, 2005, 2012). These hurdles and protective factors provide a framework to examine cognitive and experiential predictors of language attainment and maintenance in older adults, with a focus on three interrelated factors: age-related cognitive processes, previous knowledge of L1 and other languages, and experience in the new language.
Language learning involves a number of cognitive skills, including the ability to hold novel sound representations in phonological short-term memory (e.g., Papagno et al., 1991; Papagno and Vallar, 1995; Kaushanskaya, 2012) and working memory for later integration (e.g., Miyake and Friedman, 1998) and consolidation (Whitfield and Goberman, 2017). In addition, adult foreign language learning has been shown to involve integration of novel and previous knowledge through associations between translation equivalents (e.g., Kroll and Stewart, 1994), blending of semantic content (De Groot, 1992), and both positive and negative transfer between overlapping and distinct aspects of the previous and novel languages (MacWhinney, 2012). Therefore, language learners must walk a fine line between allowing co-activation of their languages for integration and transfer, and inhibiting previous languages to allow novel learning and processing. Consistently, evidence from a number of studies with younger adults suggests that cognitive resources are recruited to manage interference from non-target languages in individuals who are learning a novel language (e.g., Raboyeau et al., 2010; Bartolotti et al., 2011).
With cognitive aging, declines have been identified in processes that underlie language learning, including phonological short-term memory and working memory (e.g., Gregoire and Van der Linden, 1997), encoding (e.g., Craik, 2002), and consolidation of new memories (e.g., Meyer and Federmeier, 2010), as well as inhibitory control (e.g., Lustig et al., 2007). Consistently, in the linguistic domain, older adults have been shown to be less likely than younger adults to recruit cognitive processes for competition resolution (e.g., Blumenfeld et al., 2016b), benefit more from the presence of a semantic context during ambiguity resolution (Lee and Federmeier, 2011), and are less likely to re-interpret linguistic information (e.g., Meyer and Federmeier, 2010). These age-related changes allow for a series of predictions on language learning in older adults, including less efficient learning because of decline in executive function, and a potential shift to alternative cognitive pathways. Indeed, Marcotte and Ansaldo (2014) found that older adults do succeed at language learning but do so with more practice and through different learning strategies. Marcotte and Ansaldo (2014) found similar learning outcomes when younger and older French-speakers learned Spanish. However, the older adults required more time (25 days instead of 14 days in younger adults) to reach ceiling in learning Spanish words. In addition, Marcotte and Ansaldo’s neuroimaging findings revealed that older learners relied more on episodic memory and visual learning pathways than their younger peers who relied more on frontal cognitive control networks. In fact, in a recent review, Amer et al. (2016) have argued that older adults’ greater reliance on previously encoded information in new contexts relates directly to their reduced reliance on cognitive control. Older learners may thus show longer learning trajectories with increased reliance on previous knowledge.
Even younger adult learners have been shown to rely heavily on previous linguistic knowledge when acquiring a novel language. A robust research base exists on language transfer as a significant contributor to language learning [e.g., Lotto and De Groot, 1998; Sparks et al., 2009; Morett and MacWhinney, 2013; Antoniou et al., 2014; Bartolotti and Marian, 2016; for a recent review see Hirosh and Degani (2017)]. For example, Antoniou et al. (2014) found that learners who knew Mandarin attained better learning outcomes for an artificial language that contained a retroflex contrast found in Mandarin; similarly, learners who knew Korean outperformed others in learning a language with a lenition contrast found in Korean. Consistently, Bartolotti and Marian (2016) taught fluent speakers of English and German a novel artificial language that had overlap with both their L1 and L2, and found that both previously learned languages contributed to success with the novel language. Finally, in proficient speakers, structurally similar aspects of languages continue to provide cross-linguistic scaffolding for processing in both bilingual contexts (e.g., Costa et al., 2005; Schoonbaert et al., 2007; Blumenfeld et al., 2016a; Potapova et al., 2016) and multilingual contexts (e.g., Lemhöfer et al., 2004). It has thus been well established in young adults that previously known languages provide an experiential baseline that can facilitate the acquisition of novel languages, both through direct transfer of knowledge and through potential honing of cognitive skills that underlie learning (e.g., Hirosh and Degani, 2017).
Consistently with predictions that older adults may rely heavily on previous knowledge, Marcotte and Ansaldo (2014) found in their word-level training study, teaching Spanish words to younger and older French monolinguals, that older learners had more robust cognate effects than the younger learners. This effect was driven by particular challenges in the initial learning of non-cognate words in the older learners, and was no longer significant once learners had reached ceiling. These findings suggest that longer learning phases in older adults are particularly present when novel L2 targets must be mastered that do not resemble previous knowledge. Therefore, current research is consistent with the expectation that older learners may be particularly reliant on transfer of previous language knowledge during L2 acquisition.
Nevertheless, findings from Siyambalapitiya et al. (2009), and from an older adult control group in Roberts and Deslauriers (1999) suggest that bilingual older adults may not show consistent cognate processing advantages, perhaps because of the cognitive costs associated with co-activation of two languages (Hughes and Tainturier, 2015). Despite Marcotte and Ansaldo (2014) findings, it is conceivable that, with reduced cognitive control skills (e.g., Lustig et al., 2007), older adults may at times struggle in acquiring linguistic information that is somewhat similar to previous knowledge (thus encouraging co-activation with previously known languages) yet has different features (thus requiring cognitive muting of previously known languages). Therefore, additional research is warranted into the nature of language transfer during learning in older adults to further delineate cognitive and experiential contributing factors.
In addition to positive transfer, another protective factor for adult learning success identified within the Unified Second Language Acquisition model is continued immersion in the new language (MacWhinney, 2012). The importance of continued language use with age is apparent in the literature from monolinguals. For example, Barresi et al. (1998) found in a longitudinal study that older individuals who reported living in a household with other adults showed better naming performance while those who reported high-passive language exposure through television showed lower performance. In younger bilingual adults and language learners, language exposure has similarly emerged as an important predictor of abilities (e.g., Marian et al., 2007; Linck et al., 2009) and may play an important role in the maintenance of L2 in older adults (e.g., Nanchen et al., 2017). It has been suggested that continued use of a language provides continued activation and strengthens its representations, creating language-specific resonance that boosts the network underlying the novel language and reduces interference from other languages (MacWhinney, 2012). It is thus likely that, with slower encoding and learning, and with fewer cognitive resources available to mitigate interference from more proficient languages, continued immersion is particularly critical for older learners.
With more effortful learning, strategies for foreign language acquisition have been shown to shift in older learners. Older learners have been found to recruit more cortical regions underlying visual imagery and episodic memories compared with younger peers (lingual gyrus, precuneus, cuneus, Marcotte and Ansaldo, 2014), a finding that was interpreted as a stronger reliance on visual semantic information provided during learning (Stuart et al., 2006), with less reliance on cognitive control circuitry. Indeed, semantic memory has been found to be especially well-preserved with age (e.g., Reuter-Lorenz et al., 2000), and previously established semantic processes may thus serve as scaffolding for learning of novel information in older adults. Therefore, both learning speed and pathways are likely to differ across younger and older learners, and classrooms that are age-specific may be most appropriate to fully accommodate older learners (Marinova-Todd et al., 2000). Given these findings of language learning mechanisms, learning materials where familiar semantic contexts of use are clearly established and visually presented may be especially beneficial for older learners. Thematically organized practical content is also likely to be more immediately useful to learners (e.g., Antoniou et al., 2013) and may thus be especially critical for older learners who acquire language more effortfully.
In the present study, we examined whether previously established cognitive and linguistic factors that contribute to language learning would jointly contribute to the ability to gain language skills in a multilingual group of older adults. We were particularly interested in whether the nature of previous language learning would influence mastery of English in this group of non-native speakers and whether such previous linguistic experience would influence short-term language maintenance and continued guided learning of functional English through a multi-week tailored curriculum we designed, our Specific-Purpose English Communication System for Seniors (SPECSS). For purposes of this study, we operationally defined short-term language maintenance as the retention of language knowledge as measured before and after participation in the SPECSS curriculum.
We recruited a group of older adults who were native speakers of Mandarin, Spanish, Tagalog, and Somali, who continued to learn English as adults and were currently exposed to majority-English contexts in the USA. We hoped to identify contributors to participants’ current English skills through a language history and self-reported proficiency interview, as well as through brief cognitive testing. Participants’ language attainment was indexed through self-reports and through verbal fluency tasks in their L1 and in English. In addition, we conducted a longitudinal service-based study in a subset of these participants where we examined their ability to maintain and learn a functional English language curriculum. The English curriculum was tailored to the expected learning needs of older adults acquiring a majority language, and included six topic modules on communication basics, small talk, interacting with healthcare providers, emergencies, navigating the community, and grocery shopping. In addition, the teaching materials and approach were developed to accommodate expected learning styles of older adults, including increased opportunity for rehearsal of material, as well as easy access to native-language translation equivalents, a strategy that has been shown to facilitate adult second language acquisition (e.g., Lotto and De Groot, 1998). The thematic organization of the curriculum and playing out of specific everyday situations was based on findings that retrieval from memory is easiest when the language and context at retrieval match those at encoding (e.g., Marian and Kaushanskaya, 2011). Therefore, the curriculum was designed to simulate real-life situations older adults might encounter, with functional target words and phrases to facilitate communication. Further, salient visual referents were provided in the materials given older adults’ identified focus on perceptual information during learning (Stuart et al., 2006; Marcotte and Ansaldo, 2014).
We asked (1) to what extent acquisition of a low-proficiency non-native language (English) would be scaffolded by cognitive skills and previous linguistic experiences in older adults; and (2) to what extent these cognitive and linguistic factors would predict older learners’ short-term language maintenance and success in acquiring novel functional language skills through a focused curriculum. We predicted that phonological short-term and working memory and attention, as well as amount of English exposure, would emerge as predictors of performance in English. Second, we hypothesized that the multilingual language learners whose previously known languages are similar to English might show the greatest English attainment, maintenance, and novel learning, because they can rely on language transfer. As an alternative prediction, Hirosh and Degani (2017) have recently argued that multilinguals with less similar previously known languages may have a novel language learning advantage because they are more likely to globally inhibit their previous unrelated languages. We expected that the initial language maintenance and learning data from participants who completed our SPECSS curriculum would provide insight on these alternative hypotheses to help formulate effective language curricula for older adults and to guide future research.
Materials and Methods
Participants
Fifty-three older adult non-native speakers of English participated in this study (mean age = 72.92, SD = 6.72, range: 58–81 years; 34 female). This study was carried out in accordance with the recommendations of San Diego State University’s Institutional Review Board. The protocol was approved by the San Diego State University Internal Review Board. Written informed consent was obtained from all participants. Participants were recruited at one of two local community centers and gave written informed consent in accordance with the Declaration of Helsinki. All participants spoke a native language other than English, and had no history of stroke.1 The native languages spoken by the participants were Mandarin (n = 19), Spanish (n = 12), Somali (n = 10), and Tagalog (n = 12). Participants had an average of 11.27 years of formal education (SD = 5.94, range: 0–19 years) and had first been exposed to English at an average age of 32.88 (SD = 22.30, range: 5–74 years). Participants who reported exposure to English at or before age 7 (n = 7) reported ages of immigration to the USA well after childhood (mean age of immigration = 51.8 years, range: 20–72). These participants reported other languages as L1/home languages. While these participants reported being exposed to English in school, this English was limited (e.g., Bautista and Bolton, 2008). To obtain information on the language history and current language knowledge of participants, the Language Experience and Proficiency Questionnaire (LEAP-Q; Marian et al., 2007) was administered. To assess vocabulary in the native language and English, two semantic verbal fluency tasks (animals and groceries) were administered. All participants showed higher proficiency in their native language on the LEAP-Q and verbal fluency tasks (all ps < 0.001). See Table 1 for a summary of participants’ linguistic and cognitive profiles, and Table 2 for a summary of languages spoken by the participants.
Table 1
| Reference group |
Learners |
|||
|---|---|---|---|---|
| Mean | SD | Mean | SD | |
| Age of first exposure to English* | 32.88 | 22.30 | 40.84 | 18.74 |
| Current exposure to English | 18.98 | 19.49 | 12.95 | 14.95 |
| MoCA subtests | ||||
| Digit span (out of 2) | 1.42 | 0.69 | 1.26 | 0.81 |
| Orientation (out of 6) | 5.68 | 0.67 | 5.47 | 0.96 |
| Delayed memory recall (out of 5) | 2.87 | 1.79 | 3.32 | 1.49 |
| Proportion correct animal naming | 0.79 | 0.28 | 0.86 | 0.26 |
| English language skills | ||||
| Self-reported speaking (out of 10) | 4.29 | 2.63 | 3.89 | 1.94 |
| Self-reported comprehension (out of 10) | 4.39 | 2.91 | 3.74 | 1.97 |
| Self-reported reading (out of 10) | 3.82 | 3.47 | 2.74 | 2.62 |
| Verbal fluency—animals* | 7.36 | 6.21 | 4.79 | 6.67 |
| Verbal fluency—groceries* | 8.91 | 5.88 | 5.79 | 6.74 |
| L1 language skills | ||||
| Self-reported speaking (out of 10)* | 8.63 | 1.44 | 9.32 | 1.06 |
| Self-reported comprehension (out of 10)* | 8.81 | 1.22 | 9.42 | 0.90 |
| Self-reported reading (out of 10) | 7.39 | 2.96 | 7.05 | 3.37 |
| Verbal fluency—animals | 14.72 | 4.36 | 15.11 | 4.21 |
| Verbal fluency—groceries* | 12.83 | 7.19 | 8.58 | 8.11 |
Participant characteristics of the reference group (n = 53) and the learner subset (n = 19).
*Significant differences were observed between the reference and learner groups (ps < 0.05).
Table 2
| L1 Mandarin | L1 Tagalog | L1 Spanish | L1 Somali | Total number of speakers | |
|---|---|---|---|---|---|
| Outside of Indo-European Language Family with few borrowings (English-similarity score = 1) | |||||
|
|
|||||
| Mandarin | 20 | 0 | 0 | 0 | 20 |
| Arabic | 0 | 1 | 0 | 6 | 7 |
| Other Chinese Dialects | 4 | 0 | 0 | 0 | 4 |
| Amharic | 0 | 0 | 0 | 1 | 1 |
| Micronesian | 0 | 1 | 0 | 0 | 1 |
| Shanghainese | 1 | 0 | 0 | 0 | 1 |
| Tian-Jing Dialect | 1 | 0 | 0 | 0 | 1 |
|
|
|||||
| Outside of Indo-European Language Family with some borrowings (English-similarity score = 2)a | |||||
|
|
|||||
| Somali | 0 | 0 | 0 | 10 | 10 |
| Japanese | 1 | 0 | 0 | 0 | 1 |
| Kinamigin | 0 | 1 | 0 | 0 | 1 |
| Swahili | 0 | 0 | 0 | 1 | 1 |
|
|
|||||
| Outside of Indo-European Language Family with substantial borrowings (English-similarity score = 3)b | |||||
|
|
|||||
| Tagalog | 0 | 9 | 0 | 0 | 9 |
| Visayan languages (Cebuano, Ilonggo) | 0 | 8 | 0 | 0 | 8 |
| Ilocano | 0 | 3 | 0 | 0 | 3 |
| Bikol | 0 | 1 | 0 | 0 | 1 |
| Pangasinan | 0 | 1 | 0 | 0 | 1 |
|
|
|||||
| Indo-European Languages outside of the Germanic or Romance languages (English-similarity score = 4) | |||||
|
|
|||||
| Russian | 14 | 0 | 0 | 0 | 14 |
| Greek | 0 | 0 | 1 | 0 | 1 |
| Slovak | 0 | 0 | 1 | 0 | 1 |
|
|
|||||
| Within the Germanic or Romance Languages (English-similarity score = 5) | |||||
|
|
|||||
| Spanish | 0 | 0 | 14 | 0 | 14 |
| Italian | 0 | 0 | 2 | 1 | 3 |
| Chavacanoc | 0 | 1 | 0 | 0 | 1 |
| French | 0 | 0 | 1 | 0 | 1 |
| German | 0 | 0 | 1 | 0 | 1 |
Languages spoken by participants and number of speakers, grouped by similarity to English on a 1 (least overlap) to 5 (most overlap) scale.
aNon-Indo-European languages categorized as having limited borrowings include Somali, with borrowings from English and Italian linked to European colonization (Somali, 2017); Japanese, with an estimated 10% of the lexicon borrowed from English (McKenzie, 2010, p. 14); Kinamigin, with documented Spanish presence in the Camiguin Island in the Bisayas region of the Philippines (Barreveld, 2001, p. 78); and Swahili, with borrowings from English where “contact with western civilization” existed, including in transportation, medicine, sports, and schools (Gower, 1952).
bMost of the major languages of the Philippines were categorized as having substantial borrowings, due to heavy lexical influence of Spanish (Lipski and Mühlhäusler, 1996; Rubino, 1997; Stolz, 2006; Mattes, 2014). The Spanish Colonial Era in the Philippines lasted from 1521 to 1898. These major Philippine languages also exhibit substantial borrowings from English (Rubino, 2001; Bernardo, 2004).
cAlso known as Philippine Creole Spanish, Chavacano is the only Spanish-based creole in Asia (e.g., Lipski, 2013).
Of the 53 participants, 19 (12 female) were enrolled in classes using our SPECSS curriculum. These participants had a mean age of 67.74 (SD = 6.51, range: 58–81) and were native speakers of Mandarin (n = 3), Spanish (n = 4), Somali (n = 10), and Tagalog (n = 2). Participants had an average of 9.00 years of formal education (SD = 6.10, range: 0–18 years) and had an average age of 40.84 of first exposure to English (SD = 18.74, range: 7–63 years). Relative to the reference group, the learners reported later ages of first exposure to English, showed lower verbal fluency in English (animals and groceries), self-reported higher L1 proficiency, and showed lower L1 verbal fluency in the groceries category (all ps < 0.05). See Table 1 for learner characteristics relative to the larger reference group. Overall, between-group comparisons point to cognitive and background similarities between the reference and learner groups, with lower English proficiency in the learner group.
Materials
All 53 participants were administered the LEAP-Q and verbal fluency tasks. In addition, cognitive skills were approximated using subtests of the Montreal Cognitive Assessment (MoCA; Nasreddine et al., 2005). In the 19 learners, knowledge of the SPECSS curriculum was also tested before and after they participated in classes.
Language Experience and Proficiency Questionnaire
Detailed information on the language history and proficiency of our older adult participants was obtained using the LEAP-Q (Marian et al., 2007). For all participants, a trained research assistant who spoke the participant’s native language gathered information during a 15- to 20-min structured oral interview that was closely based on the LEAP-Q. Participants provided basic information, such as age, education level, and exposure to English. Information specific to each of the participants’ known languages, such as age of acquisition and self-ratings of language proficiency, were also obtained.
Verbal Fluency
Participants completed two verbal fluency tasks, including animal and grocery categories. Verbal fluency performance based on semantic category cues has been shown to index language proficiency in bilinguals (e.g., Gollan et al., 2002; Blumenfeld et al., 2016a). Animal and grocery categories were chosen since animals are a commonly used verbal fluency cue (e.g., Rosselli et al., 2000; Portocarrero et al., 2007; Bialystok et al., 2008) and the grocery cue was used to index participants’ everyday language use, where participants were instructed to list anything they could buy at the grocery store (e.g., Clark et al., 2009). Participants were verbally instructed to name as many items within each category as they could within 60 s without repetitions. Native-language versions of the verbal fluency tasks were administered as part of a testing session in participants’ native language. English equivalents of the tasks were administered during a separate English session.
Cognitive Tasks
The MoCA (Nasreddine et al., 2005) was administered to gauge participants’ cognitive performance. The MoCA is a well-established cognitive screening tool for older adults that covers a number of cognitive domains (executive function, memory, and language). Participants who spoke Mandarin, Spanish, or Tagalog as their native language completed the MoCA in their respective native languages. Participants in the Somali cohort completed a new Somali translation of the MoCA Basic (MoCA-B) that was deemed to be culturally acceptable, and appropriate given participants’ lower education levels (Julayanont et al., 2015). Participants who were administered the MoCA-B were also given the forward and backward digit span subtest from the MoCA. Forward digit span is a measure of phonological short-term memory (i.e., the ability to retain and rehearse auditory stimuli), while backward digit span indexes working memory (e.g., Julayanont et al., 2012), and both measures have been found to underlie language learning (Papagno et al., 1991; Miyake and Friedman, 1998). Only subtests that had been completed by all participants were included in analyses, including attention (forward and backward digit span), orientation to time, date, and place, memory (delayed recall), and naming. The orientation subtest provides a measure of participants’ awareness of where they are and what time and date it is, and such questions are typically included in cognitive assessment of older adults to index daily functioning (Julayanont et al., 2012); the delayed memory recall measure indexed participants’ ability to encode words and retrieve them after a short time interval, and naming indexed knowledge and retrieval of core vocabulary. Instructions were given in the native language except for one participant in the reference group who preferred to take the test in English. Given participants’ wide range in educational attainment, reported reading skills, and experiences with formal academically based tests, and given that the Somali version of the MoCA-B was a novel translation without validation data, scores of MoCA subtests were only used to approximate individual differences in cognitive skills across the participant group.
SPECSS Curriculum
All 19 participants in the learning component of the study received a 9 × 7 × 1.5 inch portable ring binder containing the full curriculum to serve as a consistent memory and visual aid. Targets to be learned in English were presented with images and large-font text on one side of each page, and corresponding images and translations in participants’ respective native language were on the flip side of that page. The binder was organized into topic modules deemed useful to participants based on feedback from staff at two senior centers (including social, nutrition, and community health workers). For a sample page from the binder, see Figure 1.
Figure 1

Sample page from the Specific-Purpose English Communication System for Seniors curriculum binder, including the English target page (A) together with translation pages in Somali (B), Mandarin (C), Spanish (D), and Tagalog (E). In the curriculum binders, the relevant translation page is printed on the flip side of the English target page, with binders available in English–Somali, English–Mandarin, English–Spanish, and English–Tagalog.
Topics were categorized into six modules including Basics (numbers, time, months/days of the week, directions, pronouns, and greetings), Small Talk (feelings, services, activities, and scheduling appointments), Interacting with Healthcare Providers (common patient history questions/answers, health conditions, professionals, medications, symptoms, allergies, body parts, and devices), Emergencies (types of emergencies such as medical, fire, etc.; calling for help and alerting others to emergencies; answering questions about what happened), In the Community (post office, transportation, requesting a translator, asking for directions, and phone etiquette), and Groceries and Shopping (grocery items; asking for help, price, and available discounts; and payment). The curriculum contained 69 pages, covering a total of 412 vocabulary items and phrases.
Translations of the curriculum into Spanish, Mandarin, Tagalog, and Somali were conducted through forward and backward translation procedures and checking of the materials by multiple proficient speakers of each language. Data from the Somali-speaking cohort were collected after data from the other participants had already been accrued, and minor modifications were made to materials to ensure cultural congruence for the Somali cohort: cartoon images of emotions were replaced with photos of a real person acting out the emotions due to the lack of familiarity with cartoon images in this group. All content remained the same across cohorts.
Procedures
After participants gave informed consent, assessments were administered individually by trained bilingual researchers in quiet testing rooms at the two local community centers where participants had been recruited. Native-language and English tasks were administered in separate sessions, with native-language sessions conducted first since this was participants’ more dominant language. Participants were offered participation in the language learning component of the study, and the 19 seniors who agreed to enroll returned for individual baseline sessions where their knowledge of the curriculum was evaluated. During these baseline sessions, participants were shown the native-language sides of the curriculum pages from the SPECSS binder and were asked to translate target items to English equivalents. For participants requiring assistance, researchers read the target items for them in the native language. Following the baseline sessions, learners were given their personal SPECSS binder and enrolled in the SPECSS English classes, which were taught by trained bilingual researchers with teaching experience across a duration ranging from 12 (Somali cohort) to 21 weeks (Mandarin cohort). Learners participated in a second individual session after their participation in classes where their knowledge of the SPECSS curriculum was again evaluated by translating native-language items from the curriculum to English. Participants were reimbursed for their individual testing sessions and received classes and SPECSS binders for free.
Participants in the learning group met weekly for 1-h class sessions. During each class, there were two lead teachers, with at least one speaking participants’ native language (e.g., an English-speaker and a Somali-English bilingual speaker). In addition, teaching facilitators sat with participants to allow individual practice and provide feedback throughout the session. The teacher-to-student ratio ranged from 1:1 to 1:3. In the first learner cohorts (Mandarin, Spanish, and Tagalog speakers), facilitators sat next to language learners around a square table, with lead teachers at the front. In the Somali cohort, where tables were arranged in a horseshoe shape, facilitators and learners shared a table and faced each other. The lead teacher stood at the front, and presented corresponding content from the SPECSS binder with a screen projector.
Each class session began with lead teachers introducing topics to be covered that day. Next, they presented target words and phrases from the curriculum by saying them in the learners’ native language, followed by the English translation. Then, the learners were asked to repeat the English target words and phrases as a group and individually while following along on their binders. After multiple repetitions of the English words and phrases, participants were given the opportunity to produce the English items after verbal presentation of native-language equivalents to strengthen independent ability to translate targets. Group activities were also employed to practice the novel targets, including dialogs, Bingo, using a map to practice giving directions, etc. Finally, the material was reviewed by asking related conversational questions such as “When is your birthday?” or “How are you feeling today?” The same team of teachers and facilitators taught all classes for each language cohort, allowing for continuity and repeated practice of materials across sessions. Learners participated in an average 11.8 classes based on their availability (SD = 4.5, range: 7–21) and were encouraged to use and practice with their binder outside of classes. For learners in our current study, number of classes attended did not significantly correlate with learning success (newly learned items: r = 0.14, p > 0.5; items never learned: r = −0.27, p > 0.1).
Coding and Analyses
Reference Group Data
Montreal Cognitive Assessment
The four subtests from the MoCA (Nasreddine et al., 2005) included in analyses were attention (forward and backward digit span), orientation (time, date, and place), memory (delayed recall), and naming. The total number of points that participants could earn on the Orientation subtest was 6. One point was given for each item correctly answered on the orientation subtest: day of the week, month, year, place (name of clinic or office), and city. For the final point, participants who were administered the full MoCA had to name the exact date (e.g., “the 1st” for January 1). On the MoCA-B version, participants had to provide the time. A response that fell within 2 h was accepted.
The forward and backward digit span subtest from the MoCA was administered in addition to the MoCA-B. A total of two points could be earned on this subtest. One point each was given for the forward and backward sequence repeated correctly. On the Memory (delayed recall) subtest, participants were orally instructed to recall five words dictated by research assistants. After dictation, participants were asked to immediately recall the five words. At the end of the test, participants were asked to recall the five words given to them earlier in no specific order required. A total of five points could be earned, with one point given for each target item recalled without any cues. On the MoCA version administered to Mandarin, Spanish, and Tagalog speakers, three animal naming cues were provided; on the MoCA-B administered to Somali speakers, four animal cues were provided. Therefore, naming accuracy is reported as a percentage in Table 1.
Verbal Fluency
For both animal and grocery tasks, one point was given for each word that was correctly named within its respective category. Repeated words (perseverations) and words that did not match the category cue were not given a point. Synonyms were counted as perseverations (e.g., papa dulce and camote in Spanish were counted as one item). Further, male and female equivalents of animals were counted as separate items if the phonological form differed by more than one phoneme (e.g., vaca/toro counted as two items but chivo/chiva counted as one). Participant responses were transcribed on the spot and audio recordings were obtained when permitted. For 42.0% of the data, verbal fluency responses were checked against audio recordings to establish reliability, and reliability was 95.6%.
Similarity to English of Participants’ Spoken Languages
To examine the extent to which participants used previous language knowledge to scaffold English acquisition, the similarity to English was coded for languages that participants reported knowledge of on the LEAP-Q, see Table 2. Similarity scores were assigned to languages based on their historical similarity to English. A five-point rating system was employed. A score of 1 was assigned to languages that are not Indo-European and have few English borrowings (e.g., Mandarin). A score of 2 was given to languages that are not Indo-European but have some English borrowings. For example, an estimated 10% of the Japanese lexicon consists of words borrowed from English (McKenzie, 2010). Similarly, Somali has borrowings from English and Italian linked to European colonization (Somali, 2017); see Table 2 notes for details on other languages. Relative to non-Indo-European languages such as Somali and Japanese, other non-Indo-European languages have an even higher percentage of loan words. A score of 3 was given to languages that are not Indo-European but have substantial English or Spanish influence and borrowings. We categorized most of the reported Philippine languages in this way (e.g., Tagalog) because of evidence of heavy lexical influence of English (Rubino, 2001; Bernardo, 2004) and Spanish (Lipski and Mühlhäusler, 1996; Rubino, 1997; Stolz, 2006; Mattes, 2014). Specifically, English is the default language for many areas of industry (Bernardo, 2004) and has influenced the transformation of formal Tagalog terms into new lexical items (Bautista, 2004). Finally, a score of 4 was assigned to Indo-European languages outside of the Germanic or Romance language families (e.g., Russian) and a score of 5 for languages from within the Germanic or Romance language families (e.g., Spanish). A comparable English-similarity scale was derived by the US State Department Foreign Service Institute based on learning data (language difficulty scale, e.g., Thompson, 1996; Tschirner and Heilenman, 1998). Similarity scores were averaged across participants’ languages, yielding one linguistic similarity score indexing the potential for cross-linguistic influence.
SPECSS Learning Data
To focus learning gains on success with functional communication, participants’ accuracy in translating native-language words or phrases into English was coded in terms of the semantic content successfully communicated instead of exact words or grammaticality. Pre- and post-learning data were coded on the following scale: 4 = participant did not know the item and gave no response; 3 = participant failed to get their message across but made an attempt (e.g., saying “Saturday” for “Sunday” or “help” for “nurse”); 2 = participant got part of their message across (e.g., saying “money bus” for “bus fare” or “back down” for “lower back”); 1 = participant fully got their message across. Learner responses were divided into four categories based on this scale: (1) Items that learners knew both pre- and post-curriculum (i.e., successfully maintained knowledge across the learning interval): Items coded as “1” or “2” during both pre- and post-testing; (2) Items that learners did not know either pre- or post-curriculum: Items coded as “3” or “4” during both pre- and post-testing; (3) Items that learners knew pre- but not post-curriculum (i.e., forgot): Items coded as “1” or “2” at pre-test and “3” or “4” at post-test; and (4) Items that learners knew post- but not pre-curriculum, (i.e., items that they newly learned): Items coded as “3” or “4” at pre-test and “1” or “2” at post-test. For pre- and post-intervention coding of the curriculum, 21% (4 of 19) of participants coded were reviewed by two additional trained researchers, and where disagreement was found, three additional researchers made a final decision by consensus. The average reliability score was 95.6%.
Analyses
To reduce the number of variables included in analyses, principal component, and correlation analyses were first conducted to identify similar variables. Such variables were combined into cognitive and proficiency indexes by adding their respective z-scores. Specifically, self-reported speaking and comprehension skills correlated both within L1 (r = 0.74, p < 0.001) and English (r = 0.89, p < 0.001). Further, animal and grocery verbal fluency scores also correlated within L1 (r = 0.40, p = 0.003) and English (r = 0.78, p < 0.001). Therefore, composite self-reported speaking/understanding scores and verbal fluency scores were derived for each language. Only digit span and orientation subtests of the MoCA were found to correlate (r = 0.29, p = 0.017) and only delayed recall and naming scores were found to correlate (r = 0.38, p = 0.002), with one component including positive loadings for all four subtests (digit span: 0.49, orientation: 0.55, delayed recall: 0.74, naming: 0.64; eigenvalue = 1.50), and one component including positive loadings for digit span and orientation with negative loadings for delayed recall and naming (digit span: 0.64, orientation: 0.57, delayed recall: −0.38, naming: −0.55; eigenvalue = 1.19). Therefore, composite digit span/orientation and memory/naming scores were derived.
To examine cognitive contributors to language skills and the relation between English and L1 skills, regression analyses were conducted across the full sample of 53 participants. First, to examine effects of cognitive aging across tasks, multivariate regression analyses were conducted with age as a predictor and skills in participants’ native language (self-reported proficiency; verbal fluency), English, and cognitive performance (digit span/orientation, memory/naming) as dependent measures. Next, to select the best L1 and cognitive predictors of English skills, regression analyses were conducted. To eliminate variables that were not unique predictors relative to other measures, predictor variables were entered and eliminated from regression models in an iterative backward manner, with the criterion for removal being p ≥ 0.1. In stepwise regressions, backward entry of variables is preferable to forward entry because the latter is at greater risk for Type II error (Field, 2009, p. 213).
When analyses were conducted on the 19 older adults who participated in our English classes, z-score based scores that were derived in the context of the larger reference group were used to maintain more standardized self-rated proficiency, verbal fluency, and cognitive performance scores. Planned correlation analyses were conducted examining how learners’ stable knowledge (items they knew both before and after participating in our English classes) and the newly learned items they had acquired related to linguistic and cognitive predictors that had been identified in the reference group. These predictors included the mean similarity of participants’ other languages to English, their exposure to English, as well as composite L1 proficiency and English proficiency scores that were derived by adding participants’ z-scores for self-reported speaking and comprehension skills and their z-scores of verbal fluency skills. To alleviate the risk of Type I error due to multiple correlations, confidence intervals for each significant correlation were bootstrapped in SPSS using the bias corrected accelerated 95% confidence interval option, and only significant correlations whose lower bound demonstrated at least a small effect (r = 0.1, Cohen, 1988) were interpreted.
Results
Cognitive Predictors of Language Proficiency
Multivariate regression analyses were conducted to examine age-related changes in participants’ native language, English, and cognitive skills. Age was found to significantly predict L1 skills, F (2, 49) = 3.8, p = 0.029, , with increased age significantly predicting L1 speaking/comprehension, beta = −0.1, t = −2.78, p = 0.008, but not L1 verbal fluency, beta = 0.001, t = 0.03, p > 0.1. Age did not significantly predict English skills, F (2, 48) = 1.39, p > 0.1, , or cognitive skills, F (2, 50) = 1.79, p > 0.1, . Thus, while older adults in our sample were more likely to report lower L1 skills (see Figure 2A), no effects of age were observed in L1 verbal fluency, English proficiency, and cognitive skills.
Figure 2

Cognitive predictors of language proficiency: age as a predictor of self-reported speaking/comprehension in L1 (A); composite digit span/orientation as a predictor of verbal fluency in English (B). Pairwise correlations are plotted with error lines representing 95% confidence intervals.
Next, regression analyses were conducted to identify cognitive skills that might support English proficiency across our participants. Composite English speaking/comprehension was entered as a dependent variable with digit span/orientation and memory/naming scores as predictor variables. No significant model emerged, suggesting that none of the cognitive variables predicted self-perceived English-speaking/comprehension proficiency, F (1, 49) = 0.83, p > 0.1, R2 = 0.02. When English composite verbal fluency was entered as dependent measure with the same predictors, only digit span/orientation emerged as a significant predictor of English verbal fluency (beta = 0.35, t = 2.66, p = 0.01), F(1, 51) = 7.08, p = 0.01, R2 = 0.12, see Figure 2B. Thus, digit span/orientation, emerged as a cognitive predictor of English proficiency in the current sample of older adult L2 speakers.
Linguistic Experience Predictors of English Proficiency
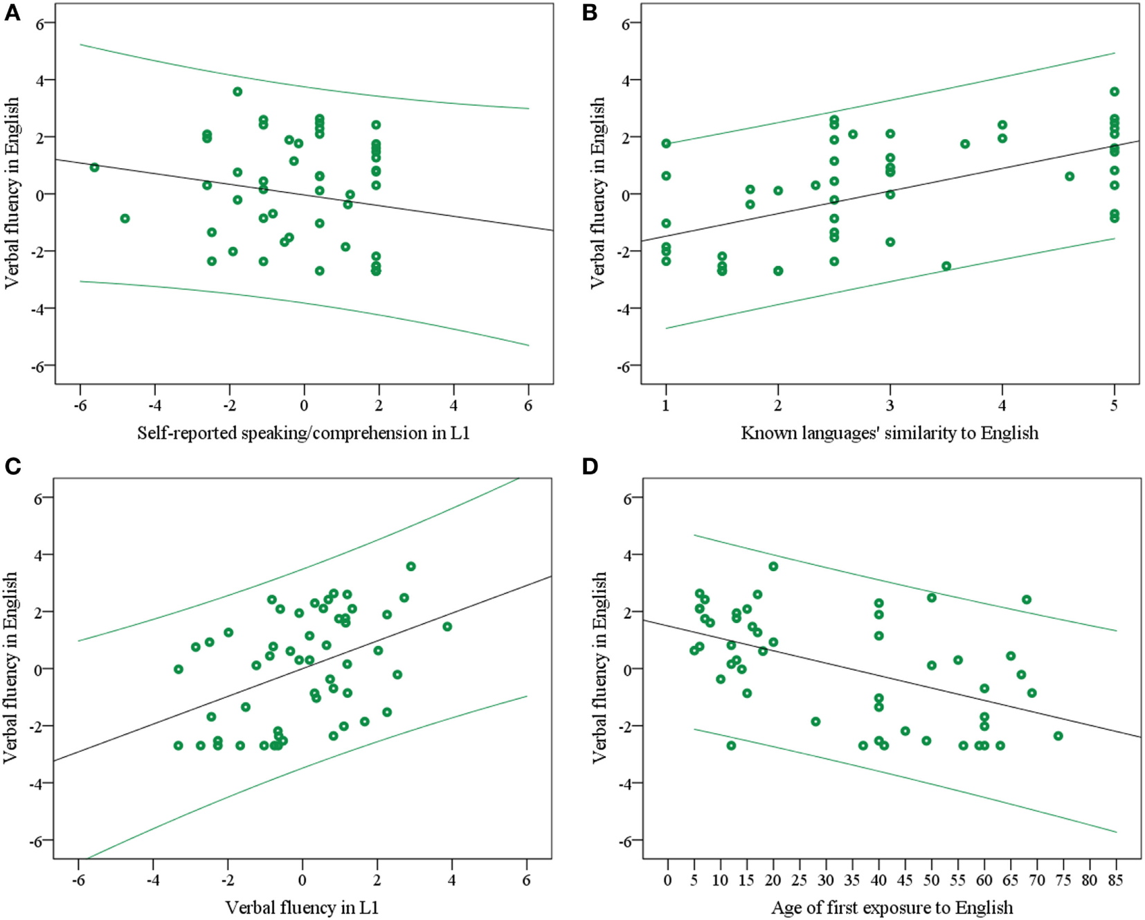
Regression analyses were conducted to identify the strongest predictors of English proficiency. First, English composite speaking/comprehension was entered into a backward regression analysis as dependent measure, with L1 composite speaking/comprehension, L1 composite verbal fluency, age of first English exposure, current exposure to English, and mean similarity to English of other languages spoken as predictor variables. A significant model emerged, F(4, 42) = 9.8, p < 0.001, R2 = 0.48, with self-reported English-speaking/comprehension skills predicted by exposure to English (beta = 0.31, t = 2.41, p = 0.021), by similarity to English of languages known to the participant (beta = 0.42, t = 3.18, p = 0.003), by verbal fluency in L1 (beta = −0.27, t = −2.34, p = 0.024), and by age of first exposure to English (beta = −0.24, t = −2.10, p = 0.041), see Figure 3. Similarly, when composite English verbal fluency was entered as a dependent measure with the same predictor variables, a significant model emerged, F (4, 43) = 16.40, p < 0.001, R2 = 0.60, with English verbal fluency significantly predicted by mean similarity to English of other languages known to the participant (beta = 0.41, t = 4.09, p < 0.001), by age of first exposure to English (beta = −0.37, t = −3.80, p < 0.001), by verbal fluency in L1 (beta = 0.32, t = 3.13, p = 0.003), and by L1 self-reported speaking/comprehension (beta = −0.20, t = −2.04, p = 0.048), see Figure 4. Thus, for both self-reported and verbal fluency measures, better English skills were associated with higher similarity to English of other languages known to the participants and with earlier first exposure to English. Higher self-reported English skills were related to lower L1 verbal fluency, while higher English verbal fluency was related to higher L1 verbal fluency and lower L1 self-reported skills.
Figure 3

Exposure to English (A), similarity to English of the languages known by participants (B), verbal fluency in L1 (C), and age of first English exposure (D) as unique linguistic predictors of the composite self-reported English-speaking and comprehension score. Pairwise correlations are plotted with error lines representing 95% confidence intervals.
Figure 4

Self-reported speaking/comprehension in L1 (A), similarity to English of the languages known by participants (B), verbal fluency in L1 (C), and age of first exposure to English (D) as unique linguistic predictors of English verbal fluency. Pairwise correlations are plotted with error lines representing 95% confidence intervals.
Novel Learning of English
The 19 individuals who participated in classes to improve their English showed an average 33.3% increase in their mastery of functional English skills (SE = 8.3, range: −4 to 155%). This increase constituted gain of an average of 78.6 new words or phrases (SE = 9.3, range: 25–151), with an average 18.1 “forgotten” items per participant that were accurately produced before but not after participating in the English course (SE = 2.8, range: 4–47), see Table 3. This gain in English knowledge was found to be statistically significant, with more items translated successfully from L1 to English per participant after the classes (M = 262.6, SE = 17.2) than before (M = 207.2, SE = 17.5), t(55) = −5.233, p < 0.001 (items coded as 1 “the meaning was fully communicated”), and with fewer “I don’t know” (coded as 4) responses after the classes (M = 52.1, SE = 15.1) than before (M = 100.7, SE = 21.4), t(18) = 5.2, p < 0.001. While not statistically significant, a pattern of more items coded as 2 (“message partially communicated”) and fewer items coded as 3 (“communication attempted but unsuccessful”) after the classes also suggested gradual learning. Critically, participants gained significantly more novel items from pre- to post-testing than they forgot, t(18) = 5.8, p < 0.001.
Table 3
| Mean | SD | Range | |
|---|---|---|---|
| Pre- and post-learning knowledge | |||
| Items communicated successfully (1) | |||
| Pre-learning | 207.21 | 76.47 | 49–334 |
| Post-learning | 262.63 | 74.99 | 127–373 |
| Items partially communicated (2) | |||
| Pre-learning | 43.11 | 23.72 | 11–92 |
| Post-learning | 52.63 | 23.93 | 21–121 |
| Items not communicated successfully (3) | |||
| Pre-learning | 61.47 | 41.62 | 5–181 |
| Post-learning | 51.21 | 31.53 | 10–118 |
| Items participants did not attempt (4) | |||
| Pre-learning | 100.68 | 93.46 | 7–358 |
| Post-learning | 52.05 | 65.61 | 1–226 |
| Stable knowledge (known before and after) | 230.74 | 84.89 | 51–364 |
| Items newly learned (not known before but known after) | 78.63 | 40.73 | 25–151 |
| Items forgot (known before but not after) | 18.05 | 12.28 | 4–47 |
| Items never learned (did not know before or after) | 80.89 | 73.68 | 4–259 |
| Percent increase in knowledge | 33.28 | 36.15 | −4.00 to 155 |
Learners’ success in acquiring items and phrases through the Specific-Purpose English Communication System for Seniors curriculum.
Correlation analyses were conducted to examine to what extent the linguistic and cognitive factors that predicted English performance in our reference group were also associated with the stable knowledge learners displayed across their participation span as well as their number of newly mastered items, see Table 4. Learners with higher stable knowledge of the curriculum’s content across their pre- and post-SPECSS curriculum sessions also showed higher composite English proficiency scores prior to starting the SPECSS classes, r(18) = 0.79, p < 0.001, higher performance on the digit span and orientation subtests of the MoCA, r(18) = 0.67, p = 0.002, see Figures 5A,B, as well as earlier ages of English acquisition, r(18) = −0.55, p = 0.014. Instead, learners who acquired the most new items between pre- and post-SPECSS curriculum sessions were found to have the least previous knowledge of English, r(18) = −0.68, p = 0.001, and the least similarity between English and their previously known languages, r(18) = −0.58, p = 0.01, see Figures 5C,D.
Table 4
| Stable English knowledge (known before and after) |
Items newly learned (not known before but known after) |
|||
|---|---|---|---|---|
| r (p) | 95% CI | r (p) | 95% CI | |
| Linguistic variables | ||||
| Mean similarity to English of known languages | 0.34 (ns) | −0.58 (0.010) | −0.79 to −0.29 | |
| Exposure to English | 0.37 (ns) | −0.47 (0.042) | −0.73 to −0.06 | |
| Age of first English exposure | −0.55 (0.014) | −0.80 to −0.13 | 0.42 (ns) | |
| L1 proficiencya | 0.29 (ns) | −0.24 (ns) | ||
| English proficiencya | 0.79 (<0.001) | 0.55 to 0.91 | −0.68 (0.001) | −0.89 to −0.35 |
|
|
||||
| Cognitive variables | ||||
| Age | −0.14 (ns) | 0.23 (ns) | ||
| Years of formal education | 0.45 (0.054) | 0.08 to 0.72 | −0.36 (ns) | |
| Digit span and orientation | 0.67 (0.002) | 0.27 to 0.87 | −0.27 (ns) | |
| Memory and naming | 0.07 (ns) | 0.02 (ns) | ||
Correlations between learners’ stable knowledge of the English curriculum, curriculum items newly acquired, as well as key linguistic and cognitive variables.
Confidence intervals are provided to assess reliability of significant correlations (in bold).
CI, confidence interval.
aCombined self-reported and verbal fluency scores. To alleviate risk for Type I error due to multiple comparisons, only significant correlations with a 95% CI lower bound of at least r = 0.1 were interpreted (in bold).
Figure 5

English proficiency and digit span/orientation as unique predictors of learners’ stable English knowledge (A,B) and English proficiency and known languages’ similarity to English as unique predictors of number of items newly learned during English instruction (C,D). Pairwise correlations are plotted with error lines representing 95% confidence intervals.
Discussion
In the current study, we examined how a relatively low-proficient non-native language (English) would be mastered with increased age, including the roles of cognitive skills and previous linguistic experiences. Further, we asked how cognitive and linguistic factors would influence older learners’ success in maintaining what they know and acquiring novel functional English through a specific-purpose English curriculum. In a group of older adults with a variety of language backgrounds, we found that age was not a predictor of English verbal fluency performance, short-term language maintenance or learning, but we identified digit span and orientation as potential cognitive predictors. Further, the influence of previous linguistic experiences on English attainment, short-term maintenance, and learning pointed to the roles of both transfer from previously learned languages and continued exposure to English as key variables.
Cognitive Factors in Older Adults’ Ability to Maintain and Learn a Foreign Language
The finding across our overall sample of older adults that individuals’ age was not related to their English skills is consistent with previous results, suggesting that age-related declines in language are subtle and not pervasive (e.g., Burke and Peters, 1986; Park et al., 2002), with lexical knowledge especially stable (Park et al., 2002), and with age-related decline typically limited to cognitively challenging linguistic contexts (e.g., Kemper, 1986). Interestingly, in the current participant cohort, increased age was associated with lower self-reported speaking and comprehension (but not verbal fluency) in L1. It is possible that this dissociation is tied to L1 attrition, with participants judging their L1 proficiency against a standard of higher skills earlier in life, with lower self-reported ratings further away in time from participants’ peak L1 proficiency (i.e., later in life). Instead, age effects on L1 were not captured in current verbal fluency performance, suggesting no decline in objective L1 performance. With self-reports found to be reliable but by nature more subjective (e.g., Marian et al., 2007), we believe it best to exercise caution in concluding that marked decline in L1 proficiency is captured in the link between age and self-reported proficiency.
Instead of age, composite scores of digit span and orientation were found to predict English verbal fluency in the reference group as well as short-term maintenance of knowledge in the SPECSS learners. Verbal short-term memory (e.g., Papagno and Vallar, 1995; Kaushanskaya et al., 2011) and attention skills (e.g., Bartolotti et al., 2011) have been linked to the ability to acquire novel vocabulary and process an L2. It is thus consistent with previous findings that individuals with higher scores on digit span/orientation subtests were more successful at learning English independently prior to our SPECSS curriculum, and that the learners who participated in our SPECSS curriculum better maintained skills across the curriculum. Relatedly, Marcotte and Ansaldo (2014) argued that their monolingual participants’ slow initial learning of non-cognates in a novel L2 was linked to age-related declines in the encoding of phonological sequences. Considering that our definition of language maintenance is limited to short-term maintenance across a span of weeks in the current study and given our relatively small sample of SPECSS learners that allowed us to identify this effect in pre- and post-curriculum performance, additional work should be conducted linking attention, and phonological short-term memory to long-term maintenance of low-proficient English in older adults. Indeed, findings linking English performance to cognitive performance in our larger reference group are indicative of the cognitive skills needed to learn and retain a foreign language. If replicated and identified across a longer time window, a link between cognitive performance and continued L2 performance may provide valuable information regarding the continued support and practice resources older adult language learners may need beyond traditional multi-week language courses.
While orientation/digit span composite scores capture cognitive skills that are compelling predictors of language success, other experiential factors have been shown to guide executive function in older adults, most notably educational attainment (e.g., Bosma et al., 2003; Van Hooren et al., 2007). Similarly, aspects of linguistic performance such as verbal fluency have been linked to educational attainment (Van Hooren et al., 2007). Consistently, orientation/digit span performance in our participants correlated with years of formal education, r (52) = 0.56, p < 0.001, and English verbal fluency also correlated with years of education, r (51) = 0.36, p = 0.01. In this sense, findings from the current study are also consistent with the premise that older adult language learners with less formal education may be particularly vulnerable in terms of their ability to acquire and maintain novel language knowledge.
Regardless of individual differences in executive function and educational attainment, participants who enrolled in the SPECSS curriculum showed significant learning effects at the group level. Learners’ ability to acquire novel items as part of the SPECSS curriculum was found to be linked to their previous English skills and overall language knowledge rather than cognitive factors, suggesting that the curriculum was appropriate for older adult learners across a range of cognitive performance levels. This was perhaps the case since many of the cognitive hurdles in adult language learning were addressed as part of the SPECSS curriculum, thus providing scaffolding for learners.
Linguistic Factors in Older Adults’ Ability to Maintain and Learn a Foreign Language
In examining linguistic predictors to language attainment, maintenance, and learning in our participants, we examined both acquisition age and exposure to English, and considered participants’ overall knowledge of other languages in a combined score indexing similarity to English of other languages spoken. Linguistic predictors of English verbal fluency included stronger L1 verbal fluency, while participants with higher L1 verbal fluency tended to self-report somewhat lower English skills, perhaps because they judged their English against their L1. Together, findings suggest that a combination of linguistic transfer and experience determines older adults’ foreign language skills.
Linguistic Transfer
Across our reference group, we found that higher self-reported speaking/comprehension and verbal fluency in English were associated with greater English-similarity of other known languages. These findings are consistent with the prediction that positive transfer from other languages would influence success in acquiring and maintaining English (e.g., MacWhinney, 2012). Findings are also consistent with Marcotte and Ansaldo (2014)’s results that novel words similar to established knowledge (i.e., cognates) are easier to learn than linguistically novel items, particularly in the early stages of learning [also see Bartolotti and Marian (2016) in younger adults]. Since lexico-semantic knowledge has been found to be particularly stable with cognitive aging (Reuter-Lorenz et al., 2000; Park et al., 2002), it is conceivable that older learners are particularly reliant on transfer from previously established lexical knowledge as they acquire a novel language.
Interestingly, data from our subset of English learners who participated in our SPECSS curriculum suggest that those who learned the most novel items during our classes were the learners who had previous languages with the least similarity to English. We offer three preliminary explanations for this effect in the spirit of generating hypotheses for future work on mechanisms of language learning in older adults that will hopefully follow these initial findings. First, it is possible that the group who benefited the most from the SPECSS curriculum was comprised of individuals who were the most limited in learning prior to the curriculum. With limited opportunity to transfer knowledge from structurally similar language(s), these individuals may have faced the greatest barriers to independent learning. Such barriers may have been ameliorated by our curriculum by drawing learners’ attention to clear functional targets with opportunity for frequent repetition and association with L1 equivalents. As demonstrated by Marcotte and Ansaldo (2014), older adults are capable of acquiring non-cognate knowledge that has low form-relation to a previous language, but it takes considerable effort.
On the flip side, learners who spoke other English-similar languages had previously experienced positive transfer to English during their independent immersion experiences, as evidenced by their higher English skills at the outset of the curriculum. It is possible that, having experienced greater early success in English, these learners were already more functional in their everyday English communications and thus less motivated to acquire novel English knowledge. Alternatively, it is possible that, with more entrenched prior knowledge in English and structurally similar languages, it was in fact more challenging for these learners to acquire additional novel English skills due to competition from stronger languages given cross-linguistic neighbors (e.g., Bartolotti and Marian, 2012) and the expectation of cognate forms (e.g., Siyambalapitiya et al., 2009). Specifically, more entrenched representations become active more rapidly and are more likely to compete with a weaker language, making it potentially more challenging for learners to acquire new items that are similar yet distinct from previous knowledge (e.g., Diependaele, 2012). Research from young adult bilingual vs. monolingual language learners suggests that bilinguals are particularly well-equipped to manage competition from a previous language, a skill that may confer learning advantages relative to monolinguals (Bartolotti and Marian, 2012; Hirosh and Degani, 2017). However, this benefit may be more limited in older multilinguals. It has been suggested that, with cognitive aging, fewer cognitive control resources may be available to resolve cross-linguistic competition of this nature (e.g., Marcotte and Ansaldo, 2014; Blumenfeld et al., 2016b). For example, Marcotte and Ansaldo (2014) found that their younger French-speaking learners recruited cognitive control areas (anterior cingulate cortex and caudate nucleus) while learning novel items in a closely related language, Spanish, and attributed older learners’ lack of recruitment of such networks to their slower learning of Spanish targets. Consistent evidence is also available from neuroimaging in older adults that attainment and maintenance of a structurally related second language (Mandarin, with L1 Cantonese) may be cognitively more challenging than attainment and maintenance of a less-related language (English, with L1 Cantonese, Abutalebi et al., 2015).
As an alternative to the above explanations of learning effects, it is possible that, since individuals who learned the most items through the SPECSS curriculum knew the least English at baseline, they were presented with the most learning opportunities through our classes and study of the SPECSS binder. In contrast, new learning opportunities were more limited for individuals who had already established a level of functional English knowledge. If such a possible “ceiling effect” were to underlie the current findings, then it could be predicted that the correlation between number of novel items learned and previous English knowledge would weaken if the number of items participants never learned were accounted for (with fewer items never learned for the most English-proficient individuals, see Table 3). Instead, when the number of items never learned was controlled for, the correlation between items newly learned and previous English proficiency became stronger, r (16) = −0.75, p < 0.001. Given this post hoc finding, and given that only 5 of our English learners had less than 30 items that they never learned, we believe that ceiling effects cannot account for the current findings.
Finally, it must be noted that while all participants in our learning group continued to master functional English, they had reported a wide age range of first exposure to English (7–63 years), with best pre-curriculum English attainment outcomes for learners with earlier exposure to English. Therefore, we cannot make conclusions about the age of most efficient language transfer in adult learners. It is conceivable that the most successful learners had benefited from positive transfer of knowledge at a time in middle adulthood when such transfer was cognitively more efficient, with cognitive control mechanisms more available to mute activation of “false friend” representations that were form-similar yet non-equivalent across languages. Alternatively, in the current age group, it is possible that learners who also knew languages that differed from English, were at an advantage in learning novel English because they could globally inhibit these languages (Hirosh and Degani, 2017), a task that may have been cognitively less costly. To our knowledge, no research is currently available examining the success of language transfer across age groups. The possibility of limited benefits in language transfer for older learners warrants additional research.
Continued Exposure to English
In addition to the benefits of language transfer identified in the attainment and maintenance of English, exposure to English emerged as a predictor of English proficiency across our overall sample, consistent with previous findings in younger adults2 (e.g., Marian et al., 2007; Linck et al., 2009) and older adults (Barresi et al., 1998; Nanchen et al., 2017). It is possible that, in learners who cannot engage efficient cognitive control skills to ameliorate interference from other languages, establishment of language-specific resonance through continued immersion is especially critical in the language acquisition process. Once interference from other languages is reduced, language-specific knowledge can be acquired with a reduced risk of negative transfer and with minimized competition from translation equivalents. It is thus possible that continued exposure to the new language becomes even more critical in older adult learners than it is in younger learners. Findings from Marcotte and Ansaldo (2014) are consistent with this claim, given the slower learning curve of older individuals in their study. Relatedly, it is possible that the need for continued exposure in determining learning success may interact with individual differences in cognitive skills.
Limitations of the Current Study and Future Directions
The current study suggests that older adult learners can make significant functional English gains within a short time in a structured curriculum such as SPECSS, and findings across our overall sample of older adult L2 users point to linguistic and cognitive predictors of L2 proficiency. Given our relatively small subset of SPECSS learners (n = 19), additional work is needed to replicate findings of novel learning in older adults, especially given wide confidence intervals observed together with reported correlations; and to identify the specific curriculum components that drive learner success. For example, number of classes attended did not correlate with learning success in our current initial study and we assume that learning may have been based in part on the extent to which participants reviewed their binders outside of class, integrated them into daily interactions, and were willing to seek out English communication partners outside of the classroom [e.g., see Verga and Kotz (2013) for a call to examine social aspects of L2 acquisition in adults]. We believe that a full understanding of English learning success will rely on further study of these independent learning and social contributors.
In addition, the influence of cross-linguistic similarity on L2 proficiency and novel learning in older adults can be extended to the orthographic level. Given the wide range of reported and observed reading skills in the current participants, their self-reported reading proficiency was not included in analyses because it could not be considered an indicator of their shared core language proficiency. The wide range of reading skills could be tied to years of formal education. For example, within the group of learners, years of education related to both self-reported L1 reading skills, r(18) = 0.72, p =0.001, and their English reading skills, r(18) = 0.46, p = 0.05, with reading skills correlated across the two languages, r(18) = 0.50, p = 0.03. It has been suggested that orthography can provide significant support in adults’ acquisition of foreign languages because the additional modality reinforces new phonological representations, thus creating resonance and overall strengthening of representations (Keshavarz and Astaneh, 2004; MacWhinney, 2012). Indeed, post hoc analyses in the current learners suggested that self-reported English reading skills were tied to greater stable curriculum knowledge, r(18) = 0.73, p < 0.001. This pattern is consistent with the possibility that written text can further amplify adult learners’ ability to specify, consolidate, and maintain novel language representations. It is thus likely that fluent adult readers are provided a critical tool for independent language learning and for continued language maintenance. In particular, it is possible that additional variability exists in our sample based on the nature of speakers’ other known orthographies. Specifically, part of the positive transfer from similar languages to English that we observed in the overall group may stem from abilities with an orthography that is similar to English. For example, Koda (1996) suggests that the sound-to-symbol mappings and the nature of orthographic units in L1 may influence L2 reading and Holm and Dodd (1996) found that learners of English were more efficient readers if they had previously learned another alphabetic orthography.
Finally, since learners were part of a classroom setting, with one to three learners per teacher, learners likely did not receive equivalent amounts of attention even though an effort was made to provide one-on-one support. Specifically, learners with the lowest initial language skills may have inadvertently received more attention from instructors and may have learned more for this reason. In addition, instructors observed in retrospect that those with the least English knowledge may have sought out help the most consistently during class sessions. While, in naturalistic teaching settings, such variability in learning support is inevitable, follow-up research in more controlled experimental settings can be conducted to replicate the current findings.
Summary, Future Directions, and Conclusion
In the current study, we identified cognitive and experience-based predictors of English attainment, maintenance, and learning in a multilingual group of older adults with various language backgrounds and with low-English skills. Phonological memory and orientation, as well as similarity to English of previously known languages and experience with English, emerged as primary predictors of English attainment. Further, preliminary learning data from a service-based intervention suggest that older learners confronted with the most hurdles to independent language learning may benefit the most, and are able to acquire functional novel language, in a highly scaffolded learning context. The current findings can serve in generating hypotheses on determinants of preparedness for language learning in older adults. For example, while transfer from similar languages seemed to be a primary predictor of independent learning success, it is unclear whether success in transferring linguistic knowledge to novel contexts is in itself constrained by cognitive aging. Specifically, when compared with similar learners in middle adulthood, it is possible that older adult learners are less able to identify and minimize negative transfer when learning a language similar to previously known languages. Follow-up research is warranted to directly examine this possibility.
The current findings are also useful in identifying key elements to develop successful language learning curricula for older adults. For example, such elements include an awareness of learners’ previous linguistic experiences, including the potential for transfer from other languages and their cognitive skills related to attention, as well as scaffolding through visually based materials that may compensate for cognitive hurdles to learning. In addition, the format of the SPECSS curriculum as highly functional and portable may allow learners to practice and integrate knowledge in the context of daily routines. The benefit to learning may be that material is encoded in contexts similar to where it will be retrieved, thus ensuring learners the support of context-dependent memory (e.g., Marian and Kaushanskaya, 2011). In terms of use, even learners who do not fully master material may carry binders and point to targets in communication settings such as visits with healthcare providers, following the model of alternative augmentative communication devices sometimes used by individuals with verbal communication challenges (e.g., Fried-Oken et al., 2011). Further anecdotal feedback from participants suggests that the bi-directional nature of the curriculum, with English targets and native-language translations present, may facilitate intergenerational communication and learning, giving English-speaking younger family members access to an older family member’s L1. Finally, the presence of text with images and auditory repetition during classes may promote English literacy. We believe these functional-social aspects of the SPECSS materials have the potential to provide the scaffolding for language learning and communication needed by many older adults, and future work can examine these aspects of the curriculum.
In the examination of learning mechanisms, additional research is needed to examine how the apparent cumulative benefit from multiple previously known languages in adult learning may relate to bilingual advantages (or lack thereof) identified in other contexts. Previous findings suggest that bilingual learning advantages may be domain-specific and limited to linguistic context that had previously been encountered by the individual (e.g., Kaushanskaya and Rechtzigel, 2012; Antoniou et al., 2014; Blumenfeld and Adams, 2014; Hirosh and Degani, 2017). The current findings are consistent with this literature. However, interestingly, the cognitive skills that were identified as potential predictors of independent language learning success (digit span and orientation) have also been identified as potential cognitive consequences of long-term bilingualism in older adults (e.g., Kavé et al., 2008). This leaves open the possibility for a somewhat broader maintained ability for language learning in bilingual and multilingual older adults (e.g., Antoniou et al., 2013). It remains an unanswered question whether such bilingual learning advantages extend across the adult lifespan and how they interact with language transfer phenomena.
In general, relatively little work is currently available examining language learning success in older adults, particularly with a view on the previous linguistic and cognitive experiences of such learners (e.g., Antoniou et al., 2013; Marcotte and Ansaldo, 2014). This line of research can provide new insights on the nature and extent of experience-induced plasticity. This knowledge, in turn, is of theoretical value in understanding mechanisms and consequences of learning. It also has tremendous applied potential in a world where many older adults must continue to engage in language learning and where learning success is frequently tied to individuals’ ability to navigate their environment. Understanding older language learners’ cognitive and experiential strengths and vulnerabilities can lead to the development of learning programs tailored to this population. While we see the current study as valuable in establishing general patterns, generating hypotheses, and validating language learning resources for older adults, we also acknowledge that experimentally more controlled research is needed to confirm and extend findings.
Statements
Ethics statement
This study was carried out in accordance with the recommendations of San Diego State University’s Institutional Review Board. The protocol was approved by the San Diego State University Internal Review Board. Written informed consent was obtained from all participants.
Author contributions
HB is responsible for the conception and design of the study, with input from SQ and CA. HB is responsible for data analysis, and HB, SQ, CA, and SR are responsible for data acquisition and interpretation, drafting of the work, revising it critically for intellectual content, and final approval of the version to be published. HB, SQ, CA, and SR are in agreement to be accountable for all aspects of the work in ensuring that questions related to the accuracy or integrity of any part of the work are appropriately investigated and resolved.
Funding
This work was supported by an American Speech-Language-Hearing Association grant for Multicultural Activities (PI HB; Co-PIs Tracy Love, JongWon Min, Amber Brychta, and Anita Harbert) as well as an SDSU College of Health and Human Services Collaboration for Healthy Aging and Workforce Development grant and a mini-grant for undergraduate research from the SDSU Division of Undergraduate Studies (PI HB).
Acknowledgments
We thank members of the San Diego State University Bilingualism and Cognition Laboratory who contributed to project development, data acquisition, teaching, coding, or provided feedback, including Michelle Villaraza, Kayla Piorkowski, Kristin Haugen, Maryanne Sullivan, Julia Kao, Michelle Ortega, Sofia Camacho, Alice Lau, Ray Amberg, Roxana Ashtari, Lauren Sahagian, Katherine Wu, Adrienne Paul, Eliza Aguilar, Chelsea Craig, Erika Lamb, Jonathan Robinson Anthony, Brittany Lee, Jacqueline Contreras, Wen-Hsin Ku, Alice Li, and Niloofar Akhavan. We thank Drs. Tracy Love, JongWon Min, and Anita Harbert and community partners Laura Stevens, Amber Brychta, Christine Holcomb, Maureen Piwowarski, Ahmed Sahid, Ahmed Dahir, Naimo Ali, Fadumo Jama, Ruweyda Mohamed, Munisa Ali, and Mustafa Sahid for assistance in project development and implementation.
Conflict of interest
The authors declare that the research was conducted in the absence of any commercial or financial relationships that could be construed as a potential conflict of interest.
Footnotes
1.^ Ten participants reported having had a head injury in their adult life as a result of a fall (n = 4), car accident (n = 4), laboratory explosion (n = 1), or non-stated reason (n = 1), with four participants reporting loss of consciousness subsequent to injury. Since outcomes of all analyses remained the same when these 10 participants were omitted, we included all participants in the current cohort.
2.^ Robinson Anthony, J. J. D., and Blumenfeld, H.K. Language dominance is predictive of cognate effects and inhibitory control in young adult bilinguals (under review).
References
1
Abutalebi J. Canini M. Della Rosa P. A. Green D. W. Weekes B. S. (2015). The neuroprotective effects of bilingualism upon the inferior parietal lobule: a structural neuroimaging study in aging Chinese bilinguals. J. Neurolinguistics33, 3–13.10.1016/j.jneuroling.2014.09.008
2
Amer T. Campbell K. L. Hasher L. (2016). Cognitive control as a double-edged sword. Trends Cogn. Sci.20, 905–915.10.1016/j.tics.2016.10.002
3
Antoniou M. Gunasekera G. Wong P. M. (2013). Foreign language training as cognitive therapy for age-related cognitive decline: a hypothesis for future research. Neurosci. Biobehav. Rev.37, 2689–2698.10.1016/j.neubiorev.2013.09.004
4
Antoniou M. Liang E. Ettlinger M. Wong P. (2014). The bilingual advantage in phonetic learning. Biling. Lang. Cogn.18, 283–295.10.1017/s1366728914000777
5
Bak T. H. Long M. R. Vega-Mendoza M. Sorace A. (2016). Novelty, challenge, and practice: the impact of intensive language learning on attentional functions. PLoS ONE11:e0153485.10.1371/journal.pone.0153485
6
Barresi B. A. Obler L. K. Au R. Albert M. L. (1998). “Language-related factors influencing naming in adulthood,” in Language and Communication in Old Age: Multidisciplinary Perspectives, ed. HamiltonH. E. (New York, NY: Garland Publishing), 77–90.
7
Barreveld D. J. (2001). Terrorism in the Philippines: The Bloody Trail of Abu Sayyaf, Bin Laden’s East Asian Connection. Lincoln, NE: Writer’s Club Press.
8
Bartolotti J. Marian V. (2012). Language learning and control in monolinguals and bilinguals. Cogn. Sci.36, 1129–1147.10.1111/j.1551-6709.2012.01243.x
9
Bartolotti J. Marian V. (2016). Bilinguals’ existing languages benefit vocabulary learning in a third language. Lang. Learn.67, 110–140.10.1111/lang.12200
10
Bartolotti J. Marian V. Schroeder S. R. Shook A. (2011). Bilingualism and inhibitory control influence statistical learning of novel word forms. Front. Psychol.2:324.10.3389/fpsyg.2011.00324
11
Bautista M. L. S. (2004). Tagalog-English code switching as a mode of discourse. Asia Pacific Educ. Rev5, 226–233.10.1007/BF03024960
12
Bautista M. L. Bolton K. (eds) (2008). Philippine English: Linguistic and Literary. Hong Kong, China: Hong Kong University Press.
13
Bernardo A. B. I. (2004). McKinley’s questionable bequest: over 100 years of English in Philippine education. World Englishes23, 17–31.10.1111/j.1467-971x.2004.00332.x
14
Bialystok E. Craik F. I. Luk G. (2008). Lexical access in bilinguals: effects of vocabulary size and executive control. J. Neurolinguistics21, 522–538.10.1016/j.jneuroling.2007.07.001
15
Blumenfeld H. K. (2012). “Cognitive aging,” in Routledge Encyclopedia of Second Language Acquisition, ed. RobinsonP. (Abingdon: Routledge), 84–88.
16
Blumenfeld H. K. Adams A. M. (2014). Learning and processing of nonverbal symbolic information in bilinguals and monolinguals. Front. Psychol.5:1147.10.3389/fpsyg.2014.01147
17
Blumenfeld H. K. Bobb S. C. Marian V. (2016a). The role of language proficiency, cognate status, and word frequency in assessment of verbal fluency in Spanish-English bilinguals. Int. J. Speech Lang. Pathol.18, 190–201.10.3109/17549507.2015.1081288
18
Blumenfeld H. K. Schroeder S. R. Bobb S. C. Freeman M. R. Marian V. (2016b). Auditory word recognition across the lifespan: links between linguistic and non-linguistic inhibitory control in bilinguals and monolinguals. Linguist. Approaches Biling.6, 119–146.10.1075/lab.14030.blu
19
Bosma H. Van Boxtel M. P. Ponds R. Houx P. Jolles J. (2003). Education and age-related cognitive decline: the contribution of mental workload. Educ. Gerontol.29, 1–9.10.1080/03601270390157024
20
Burke D. M. Peters L. (1986). Word associations in old age: evidence for consistency in semantic encoding during adulthood. Psychol. Aging1, 283–292.10.1037/0882-7974.1.4.283
21
Clark L. J. Gatz M. Zheng L. Chen Y. L. McCleary C. Mack W. J. (2009). Longitudinal verbal fluency in normal aging, preclinical and prevalent Alzheimer disease. Am. J. Alzheimers Dis. Other Demen.24, 461–468.10.1177/1533317509345154
22
Cohen J. (1988). Statistical Power Analysis for the Behavioral Sciences, 2nd Edn. New York, NY: Lawrence Erlbaum Associates.
23
Costa A. Santesteban M. Caño A. (2005). On the facilitatory effects of cognate words in bilingual speech production. Brain Lang.94, 94–103.10.1016/j.bandl.2004.12.002
24
Craik F. I. M. (2002). Levels of processing: past, present and future?Memory10, 305–318.10.1080/09658210244000135
25
De Groot A. M. B. (1992). “Bilingual lexical representation: a closer look at conceptual representations,” in Orthography, Phonology, Morphology, and Meaning, eds FrostR.KatzL. (Amsterdam: Elsevier Science Publishers), 389–412.
26
Diependaele K. (2012). The word frequency effect in first- and second-language word recognition: a lexical entrenchment account. Q. J. Exp. Psychol.66, 843–863.10.1080/17470218.2012.720994
27
Ding H. Hargraves L. (2009). Stress-associated poor health among adult immigrants with a language barrier in the United States. J. Immigr. Minor. Health11, 446–452.10.1007/s10903-008-9200-0
28
Field A. (2009). Discovering Statistics Using SPSS, 3rd Edn. London: SAGE Publications.
29
Fried-Oken M. Beukelman D. R. Hux K. (2011). Current and future AAC research considerations for adults with acquired cognitive and communication impairments. Assist. Technol.24, 56–66.10.1080/10400435.2011.648713
30
Gollan T. H. Montoya R. I. Werner G. A. (2002). Semantic and letter fluency in Spanish-English bilinguals. Neuropsychology16, 562–576.10.1037/0894-4105.16.4.562
31
Gower R. H. (1952). Swahili borrowings from English. Africa22, 154–157.10.2307/1156242
32
Gregoire J. Van der Linden M. (1997). Effect of age on forward and backward digit spans. Aging Neuropsychol. Cogn.4, 140–149.10.1080/13825589708256642
33
Hirosh Z. Degani T. (2017). Direct and indirect effects of multilingualism on novel language learning: an integrative review. Psychon. Bull. Rev.1–25.10.3758/s13423-017-1315-7
34
Holm A. Dodd B. (1996). The effect of first written language on the acquisition of English literacy. Cognition59, 119–147.10.1016/0010-0277(95)00691-5
35
Hughes E. Tainturier M. (2015). “The cognate advantage in bilingual aphasia: now you see it, now you don’t,” in Frontiers in Psychology Conference Abstract: Academy of Aphasia 53rd Annual Meeting, Tucson, United States.
36
Janacsek K. Fiser J. Nemeth D. (2012). The best time to acquire new skills: age-related differences in implicit sequence learning across the human lifespan. Dev. Sci.15, 496–505.10.1111/j.1467-7687.2012.01150.x
37
Julayanont P. Phillips N. Chertkow H. Nasreddine Z. S. (2012). The Montreal Cognitive Assessment (MOCA): Concept and Clinical Review. Available at: http://www.pphp.concordia.ca/fac/phillips/files/Julayanontetal2013MoCAreview.pdf
38
Julayanont P. Tangwongchai S. Hemrungrojn S. Tunvirachaisakul C. Phanthumchinda K. Hongsawat J. et al (2015). The Montreal cognitive assessment—basic: a screening tool for mild cognitive impairment in illiterate and low-educated elderly adults. J. Am. Geriatr. Soc.63, 2550–2554.10.1111/jgs.13820
39
Kaushanskaya M. (2012). Cognitive mechanisms of word learning in bilingual and monolingual adults: the role of phonological memory. Biling. Lang. Cogn.15, 470–489.10.1017/s1366728911000472
40
Kaushanskaya M. Blumenfeld H. K. Marian V. (2011). The relationship between vocabulary and short-term memory measures in monolingual and bilingual speakers. Int. J. Biling.15, 408–425.10.1177/1367006911403201
41
Kaushanskaya M. Rechtzigel K. (2012). Concreteness effects in bilingual and monolingual word learning. Psychon. Bull. Rev.19, 935–941.10.3758/s13423-012-0271-5
42
Kavé G. Eyal N. Shorek A. Cohen-Mansfield J. (2008). Multilingualism and cognitive state in the oldest old. Psychol. Aging23, 70–78.10.1037/0882-7974.23.1.70
43
Kemper S. (1986). Imitation of complex syntactic constructions by elderly adults. Appl. Psycholinguist.7, 277–287.10.1017/s0142716400007578
44
Keshavarz M. H. Astaneh H. (2004). The impact of bilinguality on the learning of English vocabulary as a foreign language (L3). Int. J. Biling. Educ. Biling.7, 295–302.10.1080/13670050408667814
45
Koda K. (1996). L2 word recognition research: a critical review. Mod. Lang. J.80, 450–460.10.1111/j.1540-4781.1996.tb05465.x
46
Kroll J. F. Stewart E. (1994). Category interference in translation and picture naming: evidence for asymmetric connections between bilingual memory representations. J. Mem. Lang.33, 149–174.10.1006/jmla.1994.1008
47
Lee C. Federmeier K. D. (2011). Differential age effects on lexical ambiguity resolution mechanisms. Psychophysiology48, 960–972.10.1111/j.1469-8986.2010.01158.x
48
Lemhöfer K. Dijkstra T. Michel M. (2004). Three languages, one ECHO: cognate effects in trilingual word recognition. Lang. Cogn. Processes19, 585–611.10.1080/01690960444000007
49
Lillard A. S. Erisir A. (2011). Old dogs learning new tricks: neuroplasticity beyond the juvenile period. Dev. Rev.31, 207–239.10.1016/j.dr.2011.07.008
50
Linck J. A. Kroll J. F. Sunderman G. (2009). Losing access to the native language while immersed in a second language: evidence for the role of inhibition in second-language learning. Psychol. Sci.20, 1507–1515.10.1111/j.1467-9280.2009.02480.x
51
Lipski J. M. (2013). Remixing a mixed language: the emergence of a new pronominal system in Chabacano (Philippine Creole Spanish). Int. J. Biling.17, 448–478.10.1177/1367006912438302
52
Lipski J. M. Mühlhäusler P. Duthin F. (1996). “Metropolitan language (Spanish, including Creoles): The Spanish language in the Pacific area,” in Atlas of Languages of Intercultural Communication in the Pacific, Asia, and the Americas, eds WurmS. A.MühlhäuslerP.TryonD. T. (Berlin and New York, NY: Mouton de Gruyter), 271–298.
53
Lotto L. De Groot A. M. B. (1998). Effects of learning method and word type on acquiring vocabulary in an unfamiliar language. Lang. Learn.48, 31–69.10.1111/1467-9922.00032
54
Lustig C. Hasher L. Zacks R. T. (2007). “Inhibitory deficit theory: recent developments in a “new view”,” in Inhibition in Cognition, eds GorfeinD. S.MacLeodC. M. (Washington, DC: American Psychological Association), 145–162.
55
McKenzie R. M. (2010). The Social Psychology of English As a Global Language: Attitudes, Awareness and Identity in the Japanese Context. London: Springer.
56
MacWhinney B. (2005). “A unified model of language acquisition,” in Handbook of Bilingualism: Psycholinguistic Approaches, eds KrollJ. F.De GrootA. M. B. (New York, NY: Oxford University Press), 49–67.
57
MacWhinney B. (2012). “The logic of the unified model,” in The Routledge Handbook of Second Language Acquisition, eds GassS.MackeyA. (Abingdon: Routledge), 211–227.
58
Marcotte K. Ansaldo A. (2014). Age-related behavioural and neurofunctional patterns of second language word learning: different ways of being successful. Brain Lang.135, 9.10.1016/j.bandl.2014.04.004
59
Marian V. Blumenfeld H. Kaushanskaya M. (2007). The language experience and proficiency questionnaire (LEAP-Q): assessing language profiles in bilinguals and multilinguals. J. Speech Lang. Hear. Res.50, 940–967.10.1044/1092-4388(2007/067)
60
Marian V. Kaushanskaya M. (2011). “Language-dependent memory: insights from bilingualism,” in Relations between Language and Memory. Sabest. Saarbrucker, ed. Zelinsky-WibbeltC. (Frankfurt: Peter Lang), 95–120.
61
Marinova-Todd S. H. Marshall D. B. Snow C. E. (2000). Three misconceptions about age and L2 learning. TESOL Q.34, 9.10.2307/3588095
62
Mattes V. (2014). Types of Reduplication: A Case Study of Bikol. Boston: De Gruyter Mouton.
63
Meyer A. M. Federmeier K. D. (2010). Event-related potentials reveal the effects of aging on meaning selection and revision. Psychophysiology47, 673–686.10.1111/j.1469-8986.2010.00983.x
64
Miyake A. Friedman N. P. (1998). “Individual differences in second language proficiency: working memory as language aptitude,” in Foreign Language Learning: Psycholinguistic Studies on Training and Retention, eds HealyA. F.BourneL. E. (Mahwah, NJ: Lawrence Erlbaum Associates), 339–364.
65
Mohr B. Difrancesco S. Harrington K. Evans S. Pulvermüller F. (2014). Changes of right-hemispheric activation after constraint-induced, intensive language action therapy in chronic aphasia: FMRI evidence from auditory semantic processing. Front. Hum. Neurosci.8:919.10.3389/fnhum.2014.00919
66
Morett L. M. MacWhinney B. (2013). Syntactic transfer in English-speaking Spanish learners. Biling. Lang. Cogn.16, 132–151.10.1017/S1366728912000107
67
Mui A. Kang S. Kang D. Domanski M. (2007). English language proficiency and health-related quality of life among Chinese and Korean immigrant elders. Health Soc. Work32, 119–127.10.1093/hsw/32.2.119
68
Nanchen G. Abutalebi J. Assal F. Mancheon M. Demonet J. F. Annoni J. M. (2017). Second language performances in elderly bilinguals and individuals with dementia: the role of L2 immersion. J. Neurolinguistics43, 49–58.10.1016/j.jneuroling.2016.09.004
69
Nasreddine Z. S. Phillips N. A. Bedirian V. Charbonneau S. Whitehead V. Collin I. et al (2005). The Montreal cognitive assessment, MoCA: a brief screening tool for mild cognitive impairment. J. Am. Geriatr. Soc.53, 695–699.10.1111/j.1532-5415.2005.53221.x
70
Papagno C. Valentine T. Baddeley A. (1991). Phonological short-term memory and foreign-langauge vocabulary learning. J. Mem. Lang.30, 331–347.10.1016/0749-596x(91)90040-q
71
Papagno C. Vallar G. (1995). Verbal short-term memory and vocabulary learning in polyglots. Q. J. Exp. Psychol. A48, 98–107.10.1080/14640749508401378
72
Park D. Lautenschlager G. Hedden T. Davidson N. Smith A. Smith P. (2002). Models of visuospatial and verbal memory across the adult life span. Psychol. Aging17, 299–320.10.1037/0882-7974.17.2.299
73
Ponce N. Hays R. Cunningham W. (2006). Linguistic disparities in health care access and health status among older adults. J. Gen. Intern. Med.21, 786–791.10.1111/j.1525-1497.2006.00491.x
74
Portocarrero J. S. Burright R. G. Donovick P. J. (2007). Vocabulary and verbal fluency of bilingual and monolingual college students. Arch. Clin. Neuropsychol.22, 415–422.10.1016/j.acn.2007.01.015
75
Potapova I. Blumenfeld H. K. Pruitt-Lord S. (2016). Cognate identification methods: impacts on the cognate advantage in adult and child Spanish-English bilinguals. Int. J. Bilingual.20, 714–731.10.1177/1367006915586586
76
Raboyeau G. Marcotte K. Adrover-Roig D. Ansaldo A. I. (2010). Brain activation and lexical learning: the impact of learning phase and word type. Neuroimage49, 2850–2861.10.1016/j.neuroimage.2009.10.007
77
Reuter-Lorenz P. A. Jonides J. Smith E. E. Hartley A. Miller A. Marshuetz C. et al (2000). Age differences in the frontal lateralization of verbal and spatial working memory revealed by PET. J. Cogn. Neurosci.12, 174–187.10.1162/089892900561814
78
Roberts P. M. Deslauriers L. (1999). Picture naming of cognate and non-cognate nouns in bilingual aphasia. J. Commun. Disord.32, 1–22.10.1016/s0021-9924(98)00026-4
79
Rosselli M. Ardila A. Araujo K. Weekes V. A. Caracciolo V. Padilla M. et al (2000). Verbal fluency and repetition skills in healthy older Spanish-English bilinguals. Appl. Neuropsychol.7, 17–24.10.1207/s15324826an0701_3
80
Rubino C. R. G. (1997). A Reference Grammar of Ilocano (Doctoral Dissertation). ProQuest Dissertations Publishing, University of California, Santa Barbara. Retrieved from ProQuest Dissertations and Theses Database. (UMI No. 9823418).
81
Rubino C. R. G. (2001). “A reference grammar of Ilocano,” in Ilocano Dictionary and Grammar: Ilocano-English, English-Ilocano, ed. Galvez RubinoC. R. (Hawaii: University of Hawaii Press), 28.
82
Ryan C. (2013). Language use in the United States: 2011, American Community Survey Reports. Available at: http://census.gov/prod/2013pubs/acs-22.pdf
83
Schoonbaert S. Hartsuiker R. J. Pickering M. J. (2007). The representation of lexical and syntactic information in bilinguals: evidence from syntactic priming. J. Mem. Lang.56, 153–171.10.1016/j.jml.2006.10.002
84
Siyambalapitiya S. Chenery H. J. Copland D. A. (2009). Bilingualism and aging: reversal of the cognate advantage in older bilingual adults. Appl. Psycholinguist.30, 531–554.10.1017/s0142716409090262
85
Somali. (2017). Accredited Language Services. Available at: https://www.alsintl.com/resources/languages/Somali/
86
Sparks R. Patton J. Ganschow L. Humbach N. (2009). Long-term crosslinguistic transfer of skills from L1 to L2. Lang. Learn.59, 203–243.10.1111/j.1467-9922.2009.00504.x
87
Stolz T. (2006). “Contact-induced typological change,” in Marginal Linguistic Identities: Studies in Slavic Contact and Borderland Varieties, eds SternD.VossC. (Wiesbaden: Harrassowitz), 13–30.
88
Stuart G. Patel J. Bhagrath N. (2006). Ageing affects conceptual but not perceptual memory processes. Memory14, 345.10.1080/09658210500357059
89
Thompson I. (1996). Assessing foreign language skills: data from Russian. Mod. Lang. J.80, 47–65.10.1111/j.1540-4781.1996.tb01137.x
90
Tschirner E. Heilenman L. K. (1998). Reasonable expectations: oral proficiency goals for intermediate-level students of German. Mod. Lang. J.82, 147–158.10.1111/j.1540-4781.1998.tb01187.x
91
Ullman M. T. (2001). The neural basis of lexicon and grammar in first and second language: the declarative/procedural model. Biling. Lang. Cogn.4, 105–122.10.1017/s1366728901000220
92
Van Hooren S. A. H. Valentijn A. M. Bosma H. Ponds R. W. H. M. Van Boxtel M. P. J. Jolles J. (2007). Cognitive functioning in healthy older adults aged 64–81: a cohort study into the effects of age, sex, and education. Aging Neuropsychol. Cogn.14, 40–54.10.1080/138255890969483
93
Verga L. Kotz S. A. (2013). How relevant is social interaction in second language learning?Front. Hum. Neurosci.7:550.10.3389/fnhum.2013.00550
94
Whitfield J. A. Goberman A. M. (2017). Speech motor sequence learning: acquisition and retention in Parkinson disease and normal aging. J. Speech Lang. Hear. Res.60, 1477–1492.10.1044/2016_jslhr-s-16-0104
Summary
Keywords
adult language learning, cognitive aging, multilingualism, language transfer, cross-linguistic influence, language experience
Citation
Blumenfeld HK, Quinzon SJR, Alsol C and Riera SA (2017) Predictors of Successful Learning in Multilingual Older Adults Acquiring a Majority Language. Front. Commun. 2:23. doi: 10.3389/fcomm.2017.00023
Received
07 August 2017
Accepted
23 November 2017
Published
13 December 2017
Volume
2 - 2017
Edited by
Niels O. Schiller, Leiden University, Netherlands
Reviewed by
Bencie Woll, University College London, United Kingdom; Ernesto Guerra, Universidad de Chile, Chile
Updates
Copyright
© 2017 Blumenfeld, Quinzon, Alsol and Riera.
This is an open-access article distributed under the terms of the Creative Commons Attribution License (CC BY). The use, distribution or reproduction in other forums is permitted, provided the original author(s) or licensor are credited and that the original publication in this journal is cited, in accordance with accepted academic practice. No use, distribution or reproduction is permitted which does not comply with these terms.
*Correspondence: Henrike K. Blumenfeld, hblumenf@mail.sdsu.edu
Specialty section: This article was submitted to Language Sciences, a section of the journal Frontiers in Communication
Disclaimer
All claims expressed in this article are solely those of the authors and do not necessarily represent those of their affiliated organizations, or those of the publisher, the editors and the reviewers. Any product that may be evaluated in this article or claim that may be made by its manufacturer is not guaranteed or endorsed by the publisher.