Abstract
Background:
Heart failure with preserved ejection fraction (HFpEF) is associated with substantial morbidity and mortality, and modern medicine offers less effective treatment for HFpEF. Much evidence shows that Chinese traditional patent medicines (CTPMs) have good efficacy for HFpEF, but the advantages and disadvantages of different CTPMs for HFpEF are still unclear. This study used network meta-analysis (NMA) to compare clinical efficacies of different CTPMs for HFpEF.
Methods:
Randomized controlled trials (RCTs) of CTPMs for treating HFpEF were searched in seven Chinese and English databases from inception to September 2023: China National Knowledge Infrastructure (CNKI), Wanfang, VIP, China Biology Medicine, PubMed, Cochrane Library, and Embase. Two researchers independently screened the literature, extracted data, and evaluated the quality of the included studies. The GeMTC package in R (version 4.1.2) was used to perform Bayesian NMA.
Results:
A total of 64 RCTs were included, involving six CTPMs and 6,238 patients. The six CTPMs were Qili Qiangxin capsule (QLQXC), Qishen Yiqi dropping pill (QSYQDP), Yixinshu capsule (YXSC), Yangxinshi tablet (YXST), Shexiang Baoxin Pill (SXBXP), and Tongxinluo capsule (TXLC). Conventional Western medicine (CWM) treatment was given to the control group, and CWM treatment combined with CTPM treatment was given to the experimental group. The results indicated that CPTMs + CWM were all superior to CWM alone; SXBXP + CWM had the best efficacies in improving the New York Heart Association cardiac functional classification efficiency; TXLC + CWM was best at improving the ratio of early diastolic mitral inflow velocity to late diastolic mitral inflow velocity (E/A); QSYQDP + CWM was best at reducing N-terminal pro-B type natriuretic peptide (NT-proBNP); and QSYQDP + CWM was best at improving the 6-min walking test. In terms of safety, there was no significant difference between CTPMs + CWM and CWM.
Conclusion:
Compared with CWM alone, CTPMs + CWM combinations have certain advantages and good safety in the treatment of HFpEF. QSYQDP + CWM and SXBXP + CWM may be the potential optimal integrative medicine-based treatments for HFpEF. Given the limitations of this study, further high-quality, multicenter, large sample, randomized, and double-blind studies are needed to confirm the current results.
Systematic Review Registration:
identifier, CRD42022303938.
Introduction
Heart failure (HF) is a group of complex clinical syndromes resulting from ventricular systolic and/or diastolic dysfunction caused by abnormal changes in cardiac structure or function for various reasons. HF can be categorized into heart failure with preserved ejection fraction [HFpEF, left ventricular ejection fraction (LVEF) ≥ 50%], heart failure with mid-range ejection fraction (HFmrEF, LVEF 40%–49%), and heart failure with reduced ejection fraction (HFrEF, LVEF < 40%) (1). With the increase in population aging and continuous increase in the number of individuals with chronic diseases such as obesity, diabetes mellitus, and hypertension, HFpEF has become the most important component of HF (2). Epidemiological surveys have shown that more than half of HF patients have HFpEF, with this proportion increasing yearly (3, 4). HFpEF has HF-related symptoms and signs, which are mainly characterized by ventricular diastolic dysfunction, decreased compliance, and increased stiffness. Although HFpEF patients have normal LVEF, their rehospitalization and mortality rates are comparable to those of HFrEF patients, placing serious economic and psychological burdens on patients and their families (5, 6).
HFpEF is mainly treated with comprehensive methods that target symptoms, cardiovascular diseases, comorbidities, and risk factors (7). The current guideline-recommended pharmacological treatments mainly include diuretics, sodium-glucose cotransporter−2 inhibitors, angiotensin receptor neprilysin inhibitors, mineralocorticoid receptor antagonists and angiotensin II receptor blockers. Nevertheless, only diuretics are recommended as class 1 for symptomatic relief with risks of electrolyte disturbances and renal impairment, and less treatment measure is available that reduces the hospitalization and mortality rates associated with HFpEF (8). In China, traditional Chinese medicine (TCM) has been used to treat cardiovascular diseases for more than 2,000 years. Several studies have systematically evaluated the efficacy and safety of different Chinese traditional patent medicines (CTPMs) in the treatment of HFpEF, showing that conventional Western medicine (CWM) combined with CTPMs can significantly alleviate symptoms and improve efficacyin HFpEF (9–11). Although many CTPMs are available on the market, there are still no clinical studies directly comparing the efficacies of different CTPMs. Therefore, it is difficult for clinicians to choose the best treatment, a situation that is not conducive to the promotion and application of CTPMs in the treatment of HFpEF. Unlike conventional meta-analysis, network meta-analysis (NMA) considers both direct evidence and indirect evidence to evaluate the therapeutic effects of various interventions and rank them according to efficacy, providing a reference and a basis for a clinical intervention, such as CTPMs. Given this background, this study used NMA to compare and rank the differences in the therapeutic effects of various CTPMs for treating HFPEF with regard to different outcome indicators to provide medical evidence for the development of clinical treatment plans.
Information and methods
The Preferred Reporting Items for Systematic Reviews and Meta-Analyses (PRISMA) criteria (12) were followed while conducting this NMA (Supplementary Material S1), which was registered in the International Prospective Register of Systematic Reviews (number: CRD42022303938). The abbreviations used in this manuscript are listed in Tables 1, 2.
Table 1
| Abbreviations | Full name |
|---|---|
| CI | Confidence interval |
| CNKI | China national knowledge infrastructure |
| HF | Heart failure |
| HFmrEF | Heart failure with mid-range ejection fraction |
| HFpEF | Heart failure with preserved ejection fraction |
| HFrEF | Heart failure with reduced ejection fraction |
| LVEF | Left ventricular ejection fraction |
| NMA | Network meta-analysis |
| NMPA | National medical products administration of China, |
| NYHA | New York Heart Association |
| OR | Odds ratio |
| PSRF | Potential scale reduction factor |
| RCTs | Randomized controlled trials |
| SUCRA | Surface under the cumulative ranking curve |
| TCM | Traditional Chinese medicine |
| WMD | Weighted mean difference |
Abbreviations of academic terms used in this manuscript.
Table 2
| Category | Abbreviations | Full name |
|---|---|---|
| Outcomes | NYHA efficiency | New York Heart Association cardiac functional classification efficiency |
| E/A | The ratio of early diastolic mitral inflow velocity to late diastolic mitral inflow velocity | |
| NT-proBNP | N-terminal pro-B type natriuretic peptide | |
| 6MWT | 6-Minute walking test | |
| ADRs | adverse drug reactions | |
| Interventions | CTPMs | Chinese traditional patent medicines |
| CWM | Conventional Western medicine | |
| QLQXC | Qili Qiangxin capsule | |
| QSYQDP | Qishen Yiqi dropping pill | |
| SXBXP | Shexiang Baoxin Pill | |
| YXSC | Yixinshu capsule | |
| YXST | Yangxinshi tablet | |
| TXLC | Tongxinluo capsule |
Abbreviations of outcomes and interventions used in this manuscript.
Inclusion and exclusion criteria
Study type
Only RCTs written in Chinese and English were included in this NMA.
Participants
Patients in the stable or acute phase who met the diagnostic criteria for HFpEF were included without considering disease duration, sex, age, or region. The diagnostic criteria for HFpEF referred to 2021 ESC Guidelines for the diagnosis and treatment of acute and chronic heart failure (1) or Guidelines for diagnosis and treatment of heart failure in China 2018 (13).
Interventions and comparisons
Patients in the control group were treated with CWM or CWM plus placebo, and each CWM treatment followed the relevant guidelines for each medication. Basic drug therapy for HFpEF includes diuretics, mineralocorticoid receptor antagonist, angiotensin receptor blocker, angiotensin receptor nprilysin inhibitor, or sodium glucose cotransporter−2 inhibitor. Patients in the experimental group were treated with a CTPM combined with the treatment received by the control group. The CTPMs used were approved by the National Medical Products Administration of China (NMPA), with no restrictions regarding drug indications but with sufficient research data (≥5 RCTs for a single CTPM).
Outcomes
The first outcome was New York Heart Association cardiac functional classification efficiency (NYHA efficiency). The second outcome was the ratio of early diastolic mitral inflow velocity to late diastolic mitral inflow velocity (E/A). The third outcome was the N-terminal pro-B type natriuretic peptide (NT-proBNP). The fourth outcome was the 6-min walking test (6MWT). The fifth outcome was adverse drug reactions (ADRs). Improvement of the disease after drug treatment was assessed using NYHA efficiency according to guiding principles for clinical research of new Chinese medicines: improvement in NYHA cardiac function by ≥2 classes with significantly alleviated symptoms or signs was considered marked effectiveness; improvement in NYHA cardiac function by 1 class with alleviated symptoms or signs was considered effective; and no improvement in NYHA cardiac function with symptoms and signs unchanged or even worse than before treatment was considered ineffective. Overall effective rate = (markedly effectiveness + effective)/total number of cases × 100% (14).
Exclusion criteria
The following studies were excluded:
- •
RCTs involving patients with malignant arrhythmia, malignant tumors, severe liver or kidney dysfunction, or severe infections;
- •
RCTs involving non-CTPM preparations (such as decoctions, powders, and granules);
- •
RCTs in which the CTPMs used had not been approved by the NMPA of China;
- •
RCTs with obvious missing or erroneous research data;
- •
Duplicate RCTs with less comprehensive data; and
Search strategy
On the basis of relevant recommendations in Cochrane Handbook for Systematic Reviews of Interventions (15) and the inclusion and exclusion criteria, two researchers (GHX and LXY) independently searched China National Knowledge Infrastructure (CNKI), Wanfang Database, VIP Database, China Biology Medicine disc, PubMed, Cochrane Library, and Embase for relevant literature on CTPMs for treating HFpEF from inception until September 2023. The search terms included “Chinese Traditional Patent Medicine”, “heart failure with preserved ejection fraction”, “diastolic heart failure” and “clinical trial”, as well as their synonyms. Taking PubMed as an example, a detailed search strategy is shown in Box 1.
Box 1 PubMed search strategy
-
#1 “heart failure, diastolic"[MeSH Terms]
-
#2 “heart failure"[Title/Abstract] OR “cardiac failure"[Title/Abstract] OR “myocardial failure"[Title/Abstract]
-
#3 “Diastolic"[Title/Abstract] OR “preserved ejection fraction"[Title/Abstract] OR “normal ejection fraction"[Title/Abstract]
-
#4 #1 OR #2
-
#5 #3 AND #4
-
#6 “Qili Qiangxin"[Title/Abstract] OR “Qishen Yiqi"[Title/Abstract] OR “Yixinshu"[Title/Abstract] OR “Yangxinshi"[Title/Abstract] OR “Shexiang Baoxin"[Title/Abstract] OR “Tongxinluo"[Title/Abstract] OR “Chinese patent medicine"[Title/Abstract]
-
#7 “Tablet"[Title/Abstract] OR “Pill"[Title/Abstract] OR “Capsule"[Title/Abstract] OR “Granule"[Title/Abstract] OR “Powder"[Title/Abstract]
-
#8 #6 OR #7
-
#9 (“randomized controlled trial"[Publication Type] OR “controlled clinical trial"[Publication Type] OR “randomized"[Title/Abstract] OR “placebo"[Title/Abstract] OR “clinical trials as topic"[MeSH Terms:noexp] OR “randomly"[Title/Abstract] OR “trial"[Title]) NOT (“animals"[MeSH Terms] NOT (“humans"[MeSH Terms] AND “animals"[MeSH Terms]))
-
#10 #5 AND #8 AND #9
Literature inclusion and data extraction
Two researchers (GHX and LXY) independently read and screened the literature according to the inclusion and exclusion criteria and extracted data from the final included literature. The extracted contents mainly included the following: basic information and general characteristics of the included RCTs, information relevant to the literature quality evaluation, intervention control measures, course of treatment, and outcome indicators. After screening the literature and extracting the information, cross-checking was performed. In case of disagreement, consensus was reached with the help of a third author.
Quality assessment
Two investigators evaluated the methodological quality of the included literature based on seven items (random sequence, allocation concealment, blinding of patients and researchers, blinding of outcome evaluators, integrity of outcome data, selective reporting of results, and other sources of bias) in accordance with the RCT risk-of-bias assessment tool in Cochrane Handbook for Systematic Reviews of Interventions (16). Based on the results, each item was rated as low-risk, unclear-risk, or high-risk. As detailed in Supplementary Material S2.
Statistical analysis
Bayesian NMA was conducted using a Markov chain Monte Carlo method (17). The initial value was set at 2.5 using four Markov chains. A total of 10,000 preiterations were conducted, followed by 50,000 iterations to achieve model convergence. When the potential scale reduction factor (PSRF) approached 1, the model converged satisfactorily; otherwise, the number of iterations was increased. The evidence network diagram of each result was drawn to visualize the connections between different interventions. When there was a closed loop, inconsistency between the direct and indirect evidence was detected using node splitting. To measure effect size, binary data are expressed as the odds ratio (OR), continuous data are expressed as the weighted mean difference (WMD) with the 95% confidence interval (CI). The random-effects model was used for data merging. P < 0.05 was considered statistically significant. The efficacies of different interventions were ranked according to the surface under the cumulative ranking curve (SUCRA) (18). Network meta-regression analysis with year of publication and duration of treatment as covariates was performed to determine whether these factors had any effect on the results. The effect size of multiple outcome indicators was summed, and multidimensional efficacy analysis was performed to identify the best intervention. Publication bias was assessed by funnel plots. The Bayesian NMA was performed using the GeMTC package in R (version 4.1.2).
Results
Literature screening results
A total of 3,271 relevant articles were obtained in the preliminary examination, and 64 RCTs were finally included. The literature search process is shown in Figure 1.
Figure 1

Literature screening flowchart.
Basic characteristics of the included literature
Six CTPMs, i.e., Qili Qiangxin capsule (QLQXC), Qishen Yiqi dropping pill (QSYQDP), Yixinshu capsule (YXSC), Yangxinshi tablet (YXST), Shexiang Baoxin Pill (SXBXP), and Tongxinluo capsule (TXLC), were investigated in the 64 RCTs. The 64 RCTs included 6,238 HFPEF patients, CWM treatment was given to the control group, and CWM treatment combined with CTPM treatment was given to the experimental group. The basic characteristics of the included studies are shown in Table 3. Among these RCTs, 27 focused on QLQXC (19, 20, 22, 24, 27–31, 35, 39, 41–43, 46, 50, 53, 54, 59, 61, 63–65, 68, 71, 72, 82), 12 on QSYQDP (21, 32–34, 44, 52, 62, 66, 76, 77, 80, 81), eight on YXSC (38, 40, 45, 48, 55, 57, 73, 79), six on YXST (23, 36, 51, 56, 74, 78), six on SXBXP (26, 37, 49, 58, 70, 75) and five on TXLC (25, 47, 60, 67, 69). The details of the included CTPMs are summarized in Supplementary Material S3, including the source, composition, amount of each component, and extraction procedure of each CTPM, as well as its actions, indications, administration, and chemical analysis.
Table 3
| References | Cases | Sex (M/F) | Age (years) | Treatment (dosage) | Duration | Outcomes | ||||
|---|---|---|---|---|---|---|---|---|---|---|
| T | C | T | C | T | C | T | C | (months) | ||
| Bu and Zhang (19) | 30 | 30 | 18/12 | 20/10 | 69 ± 9 | 71 ± 9 | CWM + QLQXC (1.2 g, tid) | CWM | 3 | ②③④⑤ |
| Chen et al. (20) | 102 | 98 | 60/42 | 54/44 | 58.34 ± 6.68 | 57.23 ± 6.37 | CWM + QLQXC (1.2 g, tid) | CWM | 0.5 | ①③④ |
| Chen et al. (21) | 33 | 33 | 11/22 | 18/15 | 85.06 ± 5.45 | 86.94 ± 4.25 | CWM + QSYQDP (0.5 g, tid) | CWM | 3 | ①③⑤ |
| Chen (22) | 33 | 33 | 15/18 | 16/17 | 58 ± 8.14 | 59 ± 7.02 | CWM + QLQXC (1.2 g, tid) | CWM | 2 | ①② |
| Cheng et al. (23) | 48 | 48 | 26/22 | 25/23 | 71.88 ± 3.76 | 71.24 ± 3.59 | CWM + YXST (1.2 g, tid) | CWM | 1 | ①②③④⑤ |
| Chi et al. (24) | 46 | 46 | 50/42 | 62.1 | CWM + QLQXC (1.2 g, tid) | CWM | 3 | ①② | ||
| Dai (25) | 62 | 58 | 31/31 | 28/30 | 58.36 ± 5.21 | 58.37 ± 6.9 | CWM + TXLC (1.04 g, tid) | CWM | 1 | ①② |
| Dong and Wang (26) | 56 | 56 | 23/33 | 21/35 | 75.5 ± 1.2 | 76.5 ± 1.4 | CWM + SXBXP (45 mg, tid) | CWM | 1 | ①④ |
| Dong et al. (27) | 35 | 35 | 20/15 | 18/17 | 68.25 ± 1.23 | 67.42 ± 1.62 | CWM + QLQXC (1.2 g, tid) | CWM | 6 | ②③ |
| Du (28) | 51 | 51 | 19/32 | 21/30 | 60−86 | 59−82 | CWM + QLQXC (1.2 g, tid) | CWM | 1 | ①③⑤ |
| Du (29) | 48 | 47 | 25/23 | 25/22 | 70.67 ± 5.84 | 68.11 ± 6.20 | CWM + QLQXC (1.2 g, tid) | CWM | 6 | ②④ |
| Feng et al. (30) | 30 | 30 | 14/16 | 13/17 | 67.8 ± 19.2 | 68.6 ± 18.4 | CWM + QLQXC (1.2 g, tid) | CWM | 3 | ③ |
| Guan and Yang (31) | 42 | 40 | 17/25 | 18/22 | 56 ± 13 | 54 ± 13 | CWM + QLQXC (1.2 g, tid) | CWM | 2 | ②③④ |
| He (32) | 40 | 40 | 48/32 | 56.2 | CWM + QSYQDP (0.5 g, tid) | CWM | 6 | ①②⑤ | ||
| Hou and Yang (33) | 60 | 60 | 38/22 | 36/24 | 61.4 ± 6.21 | 62.21 ± 7.13 | CWM + QSYQDP (0.5 g, tid) | CWM | 3 | ①②③ |
| Hu et al. (34) | 40 | 40 | 15/25 | 17/23 | 67.1 ± 5.2 | 66.2 ± 6.1 | CWM + QSYQDP (0.5 g, tid) | CWM | 2 | ①②⑤ |
| Hu, et al. (35) | 42 | 42 | 22/20 | 23/19 | 58.7 ± 12.4 | 59.9 ± 11.8 | CWM + QLQXC (1.2 g, tid) | CWM | 1 | ①③ |
| Huang et al. (36) | 63 | 62 | 37/26 | 36/26 | 59.8 ± 11.2 | 61.2 ± 13.4 | CWM + YXST (1.2 g, tid) | CWM | 1 | ①⑤ |
| Huang et al. (37) | 27 | 29 | 20/7 | 19/10 | 71.6 ± 9.8 | 70.5 ± 11.5 | CWM + SXBXP (45 mg, tid) | CWM | 2 | ③④ |
| Jian and Ji (38) | 58 | 56 | 36/22 | 33/23 | 64.9 ± 16.8 | 64.5 ± 15.4 | CWM + YXSC (1.2 g, tid) | CWM | 6 | ①② |
| Jian et al. (39) | 39 | 40 | 17/22 | 21/19 | 67.4 ± 9.2 | 65.4 ± 10.1 | CWM + QLQXC (1.2 g, tid) | CWM | 1 | ①②④⑤ |
| Li and Liu (40) | 90 | 90 | 43/47 | 41/49 | 67.8 ± 11.2 | 68.6 ± 10.5 | CWM + YXSC (1.2 g, tid) | CWM | 3 | ①②④ |
| Li et al. (41) | 50 | 50 | 21/29 | 22/28 | 61.6 ± 5.1 | 61.4 ± 5.4 | CWM + QLQXC (1.2 g, tid) | CWM | 6 | ①③⑤ |
| Li et al. (42) | 30 | 30 | 21/9 | 19/11 | 56.6 ± 8.5 | 56.9 ± 8.4 | CWM + QLQXC (1.2 g, tid) | CWM | 3 | ①②⑤ |
| Li et al. (43) | 62 | 62 | 34/24 | 30/32 | 64.02 ± 5.14 | 61.24 ± 3.21 | CWM + QLQXC (1.2 g, tid) | CWM | 1 | ①②④ |
| Li (44) | 40 | 40 | - | 62.3 ± 8.6 | CWM + QSYQDP (0.5 g, tid) | CWM | 3 | ①②④ | ||
| Li (45) | 30 | 30 | 9/21 | 8/22 | 70.96 ± 7.66 | 67.4 ± 9.17 | CWM + YXSC (1.2 g, tid) | CWM | 2 | ①③⑤ |
| Li (46) | 43 | 43 | 23/20 | 24/19 | 61.26 ± 4.42 | 61.19 ± 4.34 | CWM + QLQXC (1.2 g, tid) | CWM | 2 | ① |
| Liao (47) | 50 | 50 | 28/22 | 26/24 | 61.32 ± 9.40 | 60.26 ± 10.0 | CWM + TXLC (0.78 g, tid) | CWM | 2 | ①② |
| Liu et al. (48) | 92 | 90 | - | 70.64 ± 9.29 | 69.29 ± 7.01 | CWM + YXSC (1.2 g, tid) | CWM | 2 | ② | |
| Liu et al. (49) | 18 | 17 | 10/8 | 12/5 | 66.83 ± 6.48 | 64.94 ± 7.64 | CWM + SXBXP (45 mg, tid) | CWM | 3 | ④ |
| Liu (50) | 30 | 30 | 17/13 | 45,249 | 62.8 ± 11.3 | 63.1 ± 10.7 | CWM + QLQXC (1.2 g, tid) | CWM | 2 | ②④⑤ |
| Liu (51) | 33 | 32 | 16/17 | 14/18 | 58.39 ± 11.47 | 57.14 ± 12.81 | CWM + YXST (1.2 g, tid) | CWM | 3 | ②③④⑤ |
| Liu (52) | 51 | 51 | 29/22 | 28/23 | 58.67 ± 4.32 | 59.18 ± 4.46 | CWM + QSYQDP (0.5 g, tid) | CWM | 3 | ①②③④ |
| Lu et al. (53) | 62 | 46 | 28/34 | 21/25 | 71.2 | 70.8 | CWM + QLQXC (1.2 g, tid) | CWM | 2 | ①②⑤ |
| Luo and Wan (54) | 50 | 50 | 23/27 | 24/26 | 57.2 ± 8.5 | 57.4 ± 8.2 | CWM + QLQXC (1.2 g, tid) | CWM | 6 | ①②③④⑤ |
| Ma et al. (55) | 52 | 45 | 28/24 | 25/20 | 61.52 | 63.28 | CWM + YXSC (1.2 g, tid) | CWM | 3 | ②④ |
| Pan (56) | 80 | 80 | 37/43 | 38/42 | 60.4 ± 14.8 | 60.8 ± 14.5 | CWM + YXST (1.2 g, tid) | CWM | 1 | ①④ |
| Pei et al. (57) | 84 | 84 | 52/32 | 48/36 | 66.2 ± 4 | 66.2 ± 3.8 | CWM + YXSC (1.2 g, tid) | CWM | 3 | ② |
| Peng et al. (58) | 120 | 120 | 62/58 | 65/55 | 69.3 | 67.22 | CWM + SXBXP (45 mg, tid) | CWM | 24 | ②⑤ |
| Qiang (59) | 44 | 44 | 23/21 | 24/20 | 57 | 59 | CWM + QLQXC (1.2 g, tid) | CWM | 6 | ③④ |
| Qiu (60) | 40 | 40 | 17/23 | 22/18 | 59.28 | 59.73 | CWM + TXLC (1.04 g, tid) | CWM | 1 | ① |
| Ruan (61) | 100 | 100 | 51/49 | 53/47 | 61.13 ± 5.78 | 60.23 ± 6.12 | CWM + QLQXC (1.2 g, tid) | CWM | 1 | ②③④ |
| Song (62) | 55 | 55 | 31/24 | 30/25 | 63.6 ± 9.2 | 64.8 ± 8.9 | CWM + QSYQDP (0.5 g, tid) | CWM | 2 | ①②③ |
| Sun (63) | 25 | 25 | 24/26 | 59.8 ± 1.4 | CWM + QLQXC (1.2 g, tid) | CWM | 1 | ①②⑤ | ||
| Tian (64) | 60 | 60 | 28/32 | 29/31 | 58 ± 80.2 | 56 ± 7.8 | CWM + QLQXC (1.2 g, tid) | CWM | 1 | ①②⑤ |
| Wang et al. (65) | 31 | 31 | 20/11 | 18/13 | 61.2 ± 1.3 | 60.7 ± 5.9 | CWM + QLQXC (1.2 g, tid) | CWM | 6 | ①③⑤ |
| Wang (66) | 52 | 52 | 27/25 | 24/28 | 70.02 ± 4.03 | 69.13 ± 4.21 | CWM + QSYQDP (0.5 g, tid) | CWM | 6 | ②③ |
| Wei (67) | 30 | 30 | 13/17 | 18/12 | 58.36 ± 5.20 | 58.38 ± 6.9 | CWM + TXLC (1.04 g, tid) | CWM | 1 | ①②⑤ |
| Wu et al. (68) | 50 | 50 | 27/23 | 28/22 | 64.79 ± 7.32 | 64.32 ± 7.28 | CWM + QLQXC (1.2 g, tid) | CWM | 3 | ② |
| Xu (69) | 30 | 30 | 16/14 | 17/13 | 58.5 | 60.2 | CWM + TXLC (0.78 g, tid) | CWM | 6 | ①② |
| Yang et al. (70) | 23 | 23 | 11/12 | 10/13 | 48−80 | CWM + SXBXP (45 mg, tid) | CWM | 3 | ① | |
| Yang et al. (71) | 29 | 29 | 15/14 | 14/15 | 60.98 ± 4.12 | 61.23 ± 5.32 | CWM + QLQXC (1.2 g, tid) | CWM | 6 | ①③ |
| Yu (72) | 35 | 35 | 20/15 | 23/12 | 65.7 ± 6.1 | 66.1 ± 8.2 | CWM + QLQXC (1.2 g, tid) | CWM | 12 | ①②④⑤ |
| Yu (73) | 30 | 30 | 18/12 | 19/11 | 67.5 | 68.3 | CWM + YXSC (1.2 g, tid) | CWM | 3 | ①④ |
| Yuan (74) | 40 | 35 | 21/19 | 18/17 | 68.7 ± 10.2 | 71.3 ± 13.1 | CWM + YXST (1.2 g, tid) | CWM | 1 | ①④ |
| Zeng and Zhu (75) | 56 | 50 | 39/17 | 31/19 | 51–65 | 45–70 | CWM + SXBXP (45 mg, tid) | CWM | 3 | ②⑤ |
| Zhang and Gou (76) | 49 | 49 | 28/21 | 26/23 | 55.38 ± 5.27 | 56.72 ± 6.38 | CWM + QSYQDP (0.5 g, tid) | CWM | 3 | ①④⑤ |
| Zhang and Li (77) | 50 | 50 | 20/30 | 22/38 | 67 ± 6 | 68 ± 8 | CWM + QSYQDP (0.5 g, tid) | CWM | 6 | ①②④⑤ |
| Zhang and Niu (78) | 34 | 33 | 18/16 | 21/12 | 55.69 ± 9.62 | 54.05 ± 9.62 | CWM + YXST (1.2 g, tid) | CWM | 2 | ①④ |
| Zhang and Zhu (79) | 58 | 52 | 26/32 | 24/28 | 71.1 ± 12.8 | 69.2 ± 11.4 | CWM + YXSC (1.2 g, tid) | CWM | 3 | ①②④ |
| Zhang et al. (80) | 90 | 90 | 44/46 | 43/47 | 70.53 ± 5.28 | 70.12 ± 6.98 | CWM + QSYQDP (0.5 g, tid) | CWM | 6 | ②③④ |
| Zhang et al. (81) | 54 | 54 | 25/29 | 22/32 | 66.28 ± 1.89 | 66.84 ± 2.57 | CWM + QSYQDP (0.5 g, tid) | CWM | 3 | ①③④⑤ |
| Zhen and Tian (82) | 30 | 30 | 17/13 | 15/15 | 62.4 ± 4.4 | 61.6 ± 4.6 | CWM + QLQXC (1.2 g, tid) | CWM | 3 | ② |
Characteristics of the included studies.
Age is described as the mean ± standard deviation or mean (minimum—maximum).
T, test group; C, control group; tid, three times a day; CWM, conventional Western medicine; QLQXC, Qili Qiangxin capsule; QSYQDP, Qishen Yiqi dropping pill; YXSC, Yixinshu capsule; YXST Yangxinshi tablet; SXBXP, Shexiang Baoxin pill; TXLC, Tongxinluo capsule. Outcomes: ① New York Heart Association cardiac functional classification efficiency; ② ratio of early diastolic mitral inflow velocity to late diastolic mitral inflow velocity; ③ N-terminal pro-B type natriuretic peptide; ④ 6-minute walking test; ⑤ adverse drug reactions.
Bias risk assessment
Among the 64 RCTs, 24 (19, 25, 29, 33, 35–37, 46–52, 57, 61, 62, 64, 66, 71, 76, 78–80) used random number tables and were rated as having low risk in the random sequence generation domain. Seven (20, 21, 39, 40, 43, 56, 75) used the order of visits and were rated as having high risk. The other 33 did not describe the random allocation method and were rated as having an unclear risk. One RCT (47) conducted allocation concealment correctly and was rated as having low risk in allocation concealment; the other 63 RCTs did not conduct allocation concealment and thus had high risk. In four RCTs (26, 37, 49, 72), both patients and researchers were blinded and these were rated as having low risk regarding the blinding of patients and researchers. The other 60 RCTs did not blind patients or researchers and were rated as having high risk. None of the RCTs blinded the outcome evaluators and thus had high risk in this domain. All RCTs had complete data and were rated as having low risk of outcome data integrity. None of the RCTs had selective reporting results and were rated as having low risk of selective reporting of results. For all RCTs, the research plans were unavailable, so the risk of other sources of bias was unclear (The risk of bias results are summarized in Figure 2, and the detailed risk of bias assessment results for each study are presented in Supplementary Material S4).
Figure 2

Risk-of-bias summary.
Results of the Bayesian network meta-analysis
NYHA cardiac functional classification efficiency
A total of 44 RCTs (involving six CTPMs and 4,130 patients) reported NYHA cardiac functional classification efficiency. A network evidence diagram of the interventions is depicted in Figure 3A. The results showed the efficacy of CWM treatment to be significantly lower than that of QLQXC + CWM [OR = 0.29, 95% CI (0.21, 0.38)], QSYQDP + CWM [OR = 0.25, 95% CI (0.17, 0.38)], YXSC + CWM [OR = 0.36, 95% CI (0.21, 0.6)], YXST + CWM [OR = 0.32, 95% CI (0.18, 0.55)], SXBXP + CWM [OR = 0.18, 95% CI (0.07, 0.41)], and TXLC + CWM [OR = 0.28, 95% CI (0.15, 0.49)] (Table 4, Figure 4A). According to SUCRA-based probabilistic ranking results (Table 5, Figure 5A), SXBXP + CWM (86.68%) is likely to be the best intervention for improving NYHA cardiac functional classification efficiency. The ranking of the seven interventions is as follows: SXBXP + CWM > QSYQDP + CWM > TXLC + CWM > QLQXC + CWM > YXST + CWM > YXSC + CWM > CWM.
Figure 3

Network meta-analysis of eligible comparisons for different outcomes. (A) New York Heart Association cardiac functional classification efficiency; (B) the ratio of early diastolic mitral inflow velocity to late diastolic mitral inflow velocity (E/A); (C) N-terminal pro-B type natriuretic peptide (NT-proBNP); (D) 6-min walking test (6MWT). The size of the nodes relates to the number of participants in that intervention type, and the thickness of lines between the interventions relates to the number of studies for that comparison. CWM, conventional Western medicine; QLQXC, Qili Qiangxin capsule; QSYQDP, Qishen Yiqi dropping pill; YXSC, Yixinshu capsule; YXST Yangxinshi tablet; SXBXP, Shexiang Baoxin pill; TXLC, Tongxinluo capsule.
Table 4
| Outcomes | CWM | QLQXC + CWM | QSYQDP + CWM | YXSC + CWM | YXST + CWM | SXBXP + CWM | TXLC + CWM |
|---|---|---|---|---|---|---|---|
| NYHA efficacy | CWM | 3.49 (2.63, 4.76) | 3.93 (2.62, 5.99) | 2.77 (1.66, 4.85) | 3.09 (1.82, 5.49) | 5.57 (2.46, 14.99) | 3.63 (2.03, 6.52) |
| 0.29 (0.21, 0.38) | QLQXC + CWM | 1.12 (0.68, 1.84) | 0.79 (0.43, 1.48) | 0.89 (0.48, 1.65) | 1.6 (0.67, 4.48) | 1.03 (0.54, 1.94) | |
| 0.25 (0.17, 0.38) | 0.89 (0.54, 1.47) | QSYQDP + CWM | 0.71 (0.36, 1.4) | 0.79 (0.39, 1.55) | 1.42 (0.56, 4.2) | 0.92 (0.45, 1.86) | |
| 0.36 (0.21, 0.6) | 1.26 (0.68, 2.32) | 1.41 (0.71, 2.77) | YXSC + CWM | 1.11 (0.52, 2.42) | 2.01 (0.75, 6.03) | 1.3 (0.58, 2.8) | |
| 0.32 (0.18, 0.55) | 1.13 (0.61, 2.1) | 1.27 (0.65, 2.55) | 0.9 (0.41, 1.91) | YXST + CWM | 1.83 (0.64, 5.57) | 1.16 (0.53, 2.62) | |
| 0.18 (0.07, 0.41) | 0.62 (0.22, 1.48) | 0.7 (0.24, 1.8) | 0.5 (0.17, 1.33) | 0.55 (0.18, 1.56) | SXBXP + CWM | 0.65 (0.21, 1.73) | |
| 0.28 (0.15, 0.49) | 0.97 (0.52, 1.86) | 1.09 (0.54, 2.23) | 0.77 (0.36, 1.73) | 0.86 (0.38, 1.89) | 1.55 (0.58, 4.73) | TXLC + CWM | |
| E/A | CWM | 0.14 (0.09, 0.19) | 0.17 (0.10, 0.25) | 0.17 (0.08, 0.26) | 0.17 (0.02, 0.32) | 0.24 (0.08, 0.4) | 0.29 (0.15, 0.45) |
| −0.14 (−0.19, −0.09) | QLQXC + CWM | 0.04 (−0.05, 0.13) | 0.04 (−0.06, 0.14) | 0.03 (−0.13, 0.19) | 0.1 (−0.06, 0.27) | 0.16 (0, 0.32) | |
| −0.17 (−0.25, −0.1) | −0.04 (−0.13, 0.05) | QSYQDP + CWM | 0 (−0.12, 0.11) | −0.01 (−0.17, 0.16) | 0.07 (−0.11, 0.24) | 0.12 (−0.04, 0.29) | |
| −0.17 (−0.26, −0.08) | −0.04 (−0.14, 0.06) | 0 (−0.11, 0.12) | YXSC + CWM | −0.01 (−0.18, 0.17) | 0.07 (−0.11, 0.25) | 0.12 (−0.05, 0.3) | |
| −0.17 (−0.32, −0.02) | −0.03 (−0.19, 0.13) | 0.01 (−0.16, 0.17) | 0.01 (−0.17, 0.18) | YXST + CWM | 0.07 (−0.15, 0.29) | 0.13 (−0.08, 0.34) | |
| −0.24 (−0.4, −0.08) | −0.1 (−0.27, 0.06) | −0.07 (−0.24, 0.11) | −0.07 (−0.25, 0.11) | −0.07 (−0.29, 0.15) | SXBXP + CWM | 0.05 (−0.16, 0.27) | |
| −0.29 (−0.45, −0.15) | −0.16 (−0.32, 0) | −0.12 (−0.29, 0.04) | −0.12 (−0.3, 0.05) | −0.13 (−0.34, 0.08) | −0.05 (−0.27, 0.16) | TXLC + CWM | |
| NT-proBNP (pg/ml) | CWM | −313.32 (−553.98, −101.57) | −369.32 (−679.48, −73.52) | −41.6 (−833.12, 766.1) | −34.69 (−609.33, 531.88) | −48.71 (−854.23, 751.91) | |
| 313.32 (101.57, 553.98) | QLQXC + CWM | −55.66 (−423.9, 329.32) | 272.95 (−547.57, 1,134.13) | 281.44 (−323.98, 909.14) | 264.24 (−556.53, 1,117.3) | ||
| 369.32 (73.52, 679.48) | 55.66 (−329.32, 423.9) | QSYQDP + CWM | 326.95 (−520.16, 1,205.1) | 336.06 (−315.62, 985.1) | 317.31 (−537.44, 1,196.06) | ||
| 41.60 (−766.1, 833.12) | −272.95 (−1,134.13, 547.57) | −326.95 (−1,205.1, 520.16) | YXSC + CWM | 8.71 (−991.85, 994.36) | −9.19 (−1,154.23, 1,109.32) | ||
| 34.69 (−531.88, 609.33) | −281.44 (−909.14, 323.98) | −336.06 (−985.1, 315.62) | −8.71 (−994.36, 991.85) | YXST + CWM | −13.89 (−986.73, 970.28) | ||
| 48.71 (−751.91, 854.23) | −264.24 (−1,117.3, 556.53) | −317.31 (−1,196.06, 537.44) | 9.19 (−1,109.32, 1,154.23) | 13.89 (−970.28, 986.73) | SXBXP + CWM | ||
| 6MWT (m) | CWM | 46.83 (31.29, 62.41) | 60.55 (40.33, 80.88) | 38.32 (9.97, 66.51) | 46.45 (23.15, 70.1) | 47.52 (11.92, 81.04) | |
| −46.83 (−62.41, −31.29) | QLQXC + CWM | 13.6 (−11.93, 39.24) | −8.6 (−41.24, 23.9) | −0.36 (−28.5, 27.84) | 0.65 (−37.84, 37.45) | ||
| −60.55 (−80.88, −40.33) | −13.6 (−39.24, 11.93) | QSYQDP + CWM | −22.26 (−56.97, 12.47) | −14.09 (−44.83, 17.29) | −13.12 (−53.96, 25.88) | ||
| −38.32 (−66.51, −9.97) | 8.6 (−23.9, 41.24) | 22.26 (−12.47, 56.97) | YXSC + CWM | 8.25 (−28, 44.32) | 9.02 (−36.88, 52.64) | ||
| −46.45 (−70.1, −23.15) | 0.36 (−27.84, 28.5) | 14.09 (−17.29, 44.83) | −8.25 (−44.32, 28) | YXST + CWM | 1.12 (−42.16, 41.39) | ||
| −47.52 (−81.04, −11.92) | −0.65 (−37.45, 37.84) | 13.12 (−25.88, 53.96) | −9.02 (−52.64, 36.88) | −1.12 (−41.39, 42.16) | SXBXP + CWM | ||
Network meta-analysis matrix of results.
All data are given as odds ratio or weighted mean difference (95% confidence interval).
NYHA efficacy, New York Heart Association cardiac functional classification efficiency; E/A, the ratio of early diastolic mitral inflow velocity to late diastolic mitral inflow velocity; NT-proBNP, N-terminal pro-B type natriuretic peptide; 6MWT, 6-minute walking test; OR, odds ratio; WMD, weight mean difference; CI; CWM, conventional Western medicine; QLQXC, Qili Qiangxin capsule; QSYQDP, Qishen Yiqi dropping pill; YXSC, Yixinshu capsule; YXST Yangxinshi tablet; SXBXP, Shexiang Baoxin pill; TXLC, Tongxinluo capsule.
Figure 4

Forest plot for different outcomes. (A) New York Heart Association cardiac functional classification efficiency; (B) the ratio of early diastolic mitral inflow velocity to late diastolic mitral inflow velocity (E/A); (C) N-terminal pro-B type natriuretic peptide (NT-proBNP); (D) 6-min walking test (6MWT). CWM, conventional Western medicine; QLQXC, Qili Qiangxin capsule; QSYQDP, Qishen Yiqi dropping pill; YXSC, Yixinshu capsule; YXST Yangxinshi tablet; SXBXP, Shexiang Baoxin pill; TXLC, Tongxinluo capsule.
Table 5
| Outcomes | CWM | QLQXC + CWM | QSYQDP + CWM | YXSC + CWM | YXST + CWM | SXBXP + CWM | TXLC + CWM |
|---|---|---|---|---|---|---|---|
| NYHA efficacy | 0.00 | 55.98 | 67.97 | 35.71 | 44.74 | 86.68 | 58.91 |
| E/A | 0.28 | 31.82 | 52.09 | 51.86 | 49.20 | 75.12 | 89.63 |
| NT-proBNP | 27.16 | 74.43 | 81.49 | 39.82 | 36.63 | 40.46 | |
| 6MWT | 0.19 | 56.77 | 86.76 | 40.95 | 56.43 | 58.90 |
Results of the surface under the cumulative ranking curve for different outcomes.
All data are given as percentages. Red and orange indicate the most and second-most likely to be the best intervention to improve this outcome, respectively.
NYHA efficacy, New York Heart Association cardiac functional classification efficiency; E/A, the ratio of early diastolic mitral inflow velocity to late diastolic mitral inflow velocity; NT-proBNP, N-terminal pro-B type natriuretic peptide; 6MWT, 6-minute walking test; CWM, conventional Western medicine; QLQXC, Qili Qiangxin capsule; QSYQDP, Qishen Yiqi dropping pill; YXSC, Yixinshu capsule; YXST Yangxinshi tablet; SXBXP, Shexiang Baoxin pill; TXLC, Tongxinluo capsule.
Figure 5

Surface under the cumulative ranking curve (SUCRA) for different outcomes. (A) New York Heart Association cardiac functional classification efficiency; (B) the ratio of early diastolic mitral inflow velocity to late diastolic mitral inflow velocity (E/A); (C) N-terminal pro-B type natriuretic peptide (NT-proBNP); (D) 6-min walking test (6MWT). CWM, conventional Western medicine; QLQXC, Qili Qiangxin capsule; QSYQDP, Qishen Yiqi dropping pill; YXSC, Yixinshu capsule; YXST Yangxinshi tablet; SXBXP, Shexiang Baoxin pill; TXLC, Tongxinluo capsule.
E/A
A total of 41 RCTs (involving six CTPMs and a total of 4,235 patients) reported E/A. The network evidence diagram of the interventions is illustrated in Figure 3B. The results indicated that E/A after CWM treatment is significantly worse than that after QLQXC + CWM [WMD = −0.14, 95% CI (−0.19, −0.09)], QSYQDP + CWM [WMD = −0.17, 95% CI (−0.25, −0.1)], YXSC + CWM [WMD = −0.17, 95% CI (−0.26, −0.08)], YXST + CWM [WMD = −0.17, 95% CI (−0.32, −0.02)], SXBXP + CWM [WMD = −0.24, 95% CI (−0.40, −0.08)], and TXLC + CWM [WMD = −0.29, 95% CI (−0.45, −0.15)] (Table 4, Figure 4B). The SUCRA-based probability ranking results (Table 5, Figure 5B) indicated that TXLC + CWM (89.63%) is likely to be the best intervention to improve E/A. The ranking of the seven interventions is as follows: TXLC + CWM > SXBXP + CWM > QSYQDP + CWM > YXSC + CWM > YXST + CWM > QLQXC + CWM > CWM.
NT-proBNP
A total of 24 RCTs (involving five CTPMs and a total of 2,322 patients) reported NT-proBNP. A network evidence diagram of the interventions is shown in Figure 3C. Based on the results, the NT-proBNP concentration after CWM treatment was significantly higher than that after QLQXC + CWM [WMD = 313.32, 95% CI (101.57, 553.98)] or QSYQDP + CWM [WMD = 369.32, 95% CI (73.52, 679.48)] but was not significantly different from that after YXSC + CWM [WMD = 41.60, 95% CI (−766.1, 833.12)], YXST + CWM [WMD = 34.69, 95% CI (−531.88, 609.33)], or SXBXP + CWM [WMD = 48.71, 95% CI (−751.91, 854.23)] (Table 4, Figure 4C). The SUCRA-based probabilistic ranking results (Table 5, Figure 5C) indicated that QSYQDP + CWM (81.49%) is likely to be the best intervention to reduce NT-proBNP. The ranking of the six interventions is as follows: QSYQDP + CWM > QLQXC + CWM > SXBXP + CWM > YXSC + CWM > YXST + CWM > CWM.
6MWT
A total of 29 RCTs (involving five CTPMs and a total of 2,924 patients) reported 6MWT. A network evidence diagram of the interventions is shown in Figure 3D. The 6MWT after CWM treatment was significantly worse than that after QLQXC + CWM [WMD = −46.83, 95% CI (−62.41, −31.29)], QSYQDP + CWM [WMD = −60.55, 95% CI (−80.88, −40.33)], YXSC + CWM [WMD = −38.32, 95% CI (−66.51, −9.97)], YXST + CWM [WMD = −46.45, 95% CI (−70.01, −23.15)], or SXBXP + CWM [WMD = −47.52, 95% CI (−81.04, −11.92)] (Table 4, Figure 4D). The SUCRA-based probabilistic ranking results (Table 5, Figure 5D) indicated that QSYQDP + CWM (86.76%) is likely to be the best intervention for improving the 6MWT. The ranking of the six interventions is as follows: QSYQDP + CWM > SXBXP + CWM > QLQXC + CWM > YXST + CWM > YXSC + CWM > CWM.
Safety
Overall, the six CTPMs caused ADRs in a total of 25 RCTs. The reported ADRs were mainly diarrhea, nausea, dry mouth, headache, and fatigue, with no significant differences in incidence between the experimental and control groups. These results demonstrated the six CTPMs to be relatively safe. Because the criteria for the determination of ADRs were different in each RCT, the incidence of ADRs was not assessed via NMA in this study.
Network meta-regression analysis
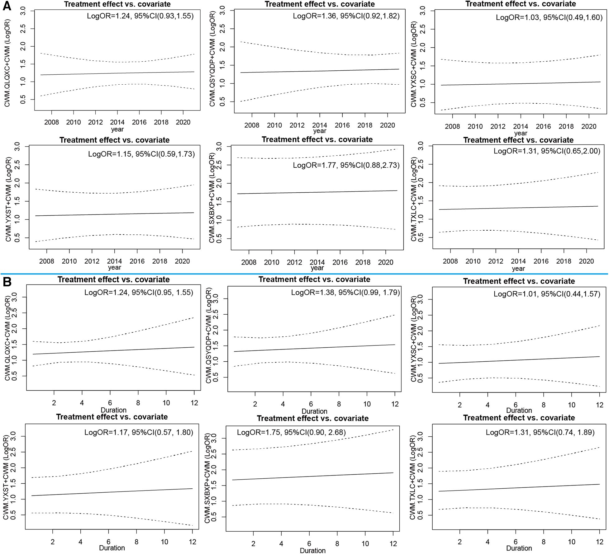
Regression analyses were conducted on NYHA efficiency with year of publication and treatment duration as covariates to determine whether these covariates had an effect on the outcome. Before regression, the logORs for interventions QLQXC + CWM, QSYQDP + CWM, YXSC + CWM, YXST + CWM, SXBXP + CWM, and TXLC + CWM compared to CWM were 1.8, 1.97, 1.47, 1.63, 2.48, and 1.86, respectively. The regression-adjusted logORs all decreased, but their 95% confidence intervals (CIs) were all >0, indicating that the CTPMs + CWM treatments were still superior to CWM alone after adjusting. The rankings of the adjusted logOR for each intervention did not change significantly from the pre-adjustment. Simultaneously, the regression coefficient B for year as a covariate was 0.05 (95% CI: −0.45, 0.54), and the regression coefficient B for treatment duration as a covariate was 0.09 (95% CI: −0.34, 0.53), neither of which reached statistical significance (P ≥ 0.05), indicating that the covariates had a minimal impact on each intervention. See Figure 6 for details.
Figure 6

Network meta-regression analysis for New York Heart Association cardiac functional classification efficiency. (A) year of publication (B) duration of the intervention as covariate.CWM, conventional Western medicine; QLQXC, Qili Qiangxin capsule; QSYQDP, Qishen Yiqi dropping pill; YXSC, Yixinshu capsule; YXST Yangxinshi tablet; SXBXP, Shexiang Baoxin pill; TXLC, Tongxinluo capsule.
Consistency tests
Figure 3 reveals no closed loops between these interventions, and a consistency test was thus unnecessary.
Model convergence evaluation
In the Bayesian model constructed in this study, each Markov chain in the trace diagrams of the NYHA cardiac functional classification efficiency (an outcome index) in the iterative process (Figure 7A) reached stable convergence from the beginning. In addition, the overlap in the subsequent calculations accounted for most of the fluctuation in the chain, without no fluctuations in a single chain identifiable by the naked eye, indicating satisfactory convergence. Densities (Figure 7B) followed approximately normal distributions, with small preset bandwidths, indicating satisfactory model convergence. The Gelman-Rubin-Brooks plot (Figure 8) showed that after 10,000 preiterations, the median and 97.5th-percentile value of the shrink factor rapidly approached 1 and stabilized, with a PSRF of 1, indicating satisfactory model convergence. The results on model convergence for the other outcome indices are provided in Supplementary Material S5. The results all suggest satisfactory model convergence and sufficient iterations. Therefore, the Bayesian model constructed in this study can effectively predict the posterior distribution of the parameters.
Figure 7

Trace plot and density plot for New York Heart Association cardiac functional classification efficiency. (A) Trace plot; (B) density plot. CWM, conventional Western medicine; QLQXC, Qili Qiangxin capsule; QSYQDP, Qishen Yiqi dropping pill; YXSC, Yixinshu capsule; YXST Yangxinshi tablet; SXBXP, Shexiang Baoxin pill; TXLC, Tongxinluo capsule.
Figure 8

Brooks-Gelman-Rubin diagnosis plot for New York Heart Association cardiac functional classification efficiency. CWM, conventional Western medicine; QLQXC, Qili Qiangxin capsule; QSYQDP, Qishen Yiqi dropping pill; YXSC, Yixinshu capsule; YXST Yangxinshi tablet; SXBXP, Shexiang Baoxin pill; TXLC, Tongxinluo capsule.
Publication bias
Comparison-adjusted funnel plots were drawn to assess the publication bias of each outcome indicator (see Figure 9). Each point on the funnel plots represents an RCT. The points in Figures 9A,B,D are roughly symmetrically distributed, indicating that the likelihood of publication bias in the NYHA cardiac functional classification efficiency, E/A, and 6MWT was small. The points in Figure 9C are asymmetrically distributed, indicating that the NT-proBNP results may include publication bias.
Figure 9

Comparison-adjusted funnel plot for different outcomes. (A) New York Heart Association cardiac functional classification efficiency; (B) the ratio of early diastolic mitral inflow velocity to late diastolic mitral inflow velocity (E/A); (C) N-terminal pro-B type natriuretic peptide (NT-proBNP); (D) 6-min walking test (6MWT). CWM, conventional Western medicine; QLQXC, Qili Qiangxin capsule; QSYQDP, Qishen Yiqi dropping pill; YXSC, Yixinshu capsule; YXST Yangxinshi tablet; SXBXP, Shexiang Baoxin pill; TXLC, Tongxinluo capsule.
Comprehensive analysis of multiple outcome indicators
This study included four outcome indicators for efficacy evaluation, which were comprehensively analyzed to find the best interventions for each. Figure 10A shows that SXBXP + CWM, QSYQDP + CWM, and TXLC + CWM may be the best interventions for improving NYHA cardiac functional classification efficiency and E/A. Figure 10B shows that QSYQDP + CWM and SXBXP + CWM may be the best interventions for improving NYHA cardiac functional classification efficiency. Figure 10C shows that QSYQDP + CWM and SXBXP + CWM may be the best interventions for improving NYHA cardiac functional classification efficiency and 6MWT. Figure 10D shows that QSYQDP + CWM may be the best intervention for reducing NT-proBNP and improving 6MWT. In summary, QSYQDP + CWM and SXBXP + CWM may be the best interventions for HFpEF.
Figure 10

Comprehensive analysis of multiple outcome indicators. Points of different colors represent different interventions, and solid lines of different colors indicate 95% confidence intervals for the effects of the interventions on different outcomes. (A) New York Heart Association cardiac functional classification efficiency and E/A; (B) New York Heart Association cardiac functional classification efficiency and NT−proBNP; (C) New York Heart Association cardiac functional classification efficiency and 6MWT; (D) NT-proBNP and 6MWT. NYHA efficacy, New York Heart Association functional classification improvement; E/A, the ratio of early diastolic mitral inflow velocity to late diastolic mitral inflow velocity; NT-proBNP, N-terminal pro-B type natriuretic peptide; 6MWT, 6-min walking test; CWM, conventional Western medicine; QLQXC, Qili Qiangxin capsule; QSYQDP, Qishen Yiqi dropping pill; YXSC, Yixinshu capsule; YXST Yangxinshi tablet; SXBXP, Shexiang Baoxin pill; TXLC, Tongxinluo capsule.
Discussion
HFpEF is associated with substantial morbidity and mortality, and modern medicine offers less effective treatment (83). Various CTPMs have shown good efficacy in the context of HFpEF, but the similarities and differences in their functionality are not clear (84). Therefore, selecting the most suitable CTPMs for patients has become an important clinical problem that needs to be solved. Bayesian NMA can utilize posterior probability based on prior distribution to rank the efficacy of all interventions involved in the estimation. It overcomes the limitations of the frequentist method in parameter estimation, which requires iterative estimation of the likelihood function and is susceptible to instability, leading to biased results (85). In light of these considerations, this study conducted a comprehensive search for RCTs on CTPMs for HFpEF to indirectly compare the efficacies of different interventions for HFpEF and identify the best treatment plan using Bayesian NMA. Ultimately, six CTPMs (QLQXC, QSYQDP, YXSC, YXST, SXBXP, and TXLC) studied in 64 RCTs involving 6,238 patients were included in this NMA. SXBXP + CWM demonstrated the highest efficiency in improving NYHA cardiac functional classification, TXLC + CWM was the most effective at improving E/A, and QSYQDP + CWM provided the greatest advantage in reducing NT-proBNP levels and improving 6MWT distance. Among the SUCRA-based rankings for all outcome indicators, CWM alone ranked low, indicating that integrative treatment is superior to CWM alone for HFpEF. The ADR rates associated with CWM + CTPMs were not significantly different from those associated with CWM alone, suggesting that these CTPMs have good safety. Network meta-regression analysis suggested that year of publication and duration of treatment had a minimal effect on the results. Publication bias analysis indicated possible publication bias for NT-proBNP, which may be attributable to the substantial heterogeneity among the included RCTs or the small sample size of a few of them. A comprehensive analysis of all outcome indicators revealed that QSYQDP + CWM and SXBXP + CWM may be the most favorable treatment options for HFpEF.
Previous reviews have reported that various TCM preparations, including decoctions, powders, tablets, capsules, and others, have shown positive therapeutic effects on HFpEF (84, 86). However, these reviews have described these effects without quantitative analysis. Moreover, many of these preparations, particularly granules, are currently in the clinical trial stage and have not yet received approval from the NMPA of China, which limits their clinical promotion. There have been several systematic quantitative evaluation studies of CTPMs for the treatment of HFPEF, and these CTPMs are approved by the NMPA of China. Wang et al. (9) conducted a systematic review that demonstrated the improvement in NYHA efficiency, E/A, 6MWT, and the reduction in BNP when using QSYQDP + CWM compared to CWM alone. Cao et al. (11) and Ge et al. (87) found that QLQXC + CWM improved clinical efficiency, E/A, 6MWT and reduced BNP, NT-proBNP and Minnesota living with heart failure questionnaire scores compared to CWM. These meta-analyses were all based on single CTPM studies, and their results align with some of the results from this NMA. Jun et al. (10) included multiple CTPMs and found that combining CTPMs with CWM for HFPEF was more advantageous than using CWM alone, resulting in improved efficiency, E/A, 6MWT, and reduced BNP. However, the literature included in this study was not comprehensive enough, and no subgroup analysis was conducted to rank the efficacy of different CTPMs (10). This NMA overcame the shortcomings of the aforementioned studies and obtained results consistent with previous findings, as well as new insights. The NMA results indicate that different CTPMs offer varying advantages in treating HFpEF, with QSYQDP + CWM and SXBXP + CWM standing out as the most prominent options.
In 2016, Expert consensus on the diagnosis and treatment of chronic heart failure with Integrative Medicine published by the Chinese Association of Integrative Medicine noted that HF is a syndrome of root vacuity and tip repletion and that the pathogenesis of HF can be summarized as “deficiency”, “stasis”, and “edema” (88). Root vacuity refers to a deficiency in qi, yin and yang. Tip repletion refers to blood stasis, phlegm turbidity, and excessive fluid. Therefore, the basic treatment methods for HF include replenishing qi, promoting blood circulation, and inducing diuresis. As a type of HF, the basic pathogenesis of HFPEF has its own characteristics. A big data study reported that the pathogenesis of HFPEF is characterized by “qi deficiency”, followed by “blood stasis” but that, yang deficiency, yin deficiency, retained fluid and phlegm turbidity do not play a significant role in its development (89). Expert consensus on staging diagnosis combining Chinese and Western medicine in HFPEF states that the pathogenesis of HFPEF is different from that of HFrEF: inhibited qi transformation of heart-lung is predominant in the early stage, accompanied by static blood and retained fluid, resulting in lung failing to diffuse and govern descent; in the middle stage, the mechanism is dominated by inhibited qi transformation of the heart-lung-spleen, with gradually aggravating qi deficiency, or accompanied by yang deficiency, with static blood and retained fluid further aggravated compared with the early stage; in the late stage, the pathogenesis is dominated by inhibited qi transformation of heart-lung-spleen-kidney, yang deficiency has become a reality, and water-dampness is overflowing, or yin deficiency may be seen at the same time (90). The 2022 TCM guidelines for chronic heart failure pointed out that the three main TCM patterns for HFPEF are qi deficiency and blood stasis pattern, qi-yin deficiency and blood stasis pattern, and yang deficiency and blood stasis pattern (91). The six CTPMs included in this study have both similarities and differences in functionality. QLQXC can replenish qi, warm yang, activate blood, unblock collaterals, and induce diuresis to alleviate edema, so it is recommended for yang deficiency, obstruction of collaterals and water retention pattern. QSYQDP is suitable for qi deficiency and blood stasis syndrome as it replenishes qi, frees vessels, and activates blood to relieve pain. YXSC is recommended for the pattern of dual deficiency of qi and yin, or static blood obstructing collaterals as it replenishes qi, restores pulse, activates blood, resolves stasis, nourishes yin, and engenders fluid. YXST is suitable for treating qi deficiency with blood stasis syndrome as it can replenish qi, activate blood, resolve stasis, and relieve pain. SXBXP can warm and unblock meridians with aromatic medicinals, replenish qi and strengthen the heart, and it is recommended for qi stagnation and blood stasis. TXLC is suitable for addressing the syndrome of deficiency of heart qi and obstruction of blood stasis collaterals, as it can replenish qi, activate blood, unblock the collaterals, and relieve pain. In summary, the six CTPMs have the effect of replenishing qi and activating blood, all of them appear to target the pathogenesis of HFpEF, and all exhibit positive therapeutic effects in NMA. However, the six CTPMs displayed different therapeutic advantages, which may be due to the fact that although all of them can boost qi and invigorate blood, their effects are focused differently. QLQXC can also warm yang and promote urination and is mostly used for patients who have developed edema due to yang deficiency in the late stage of the disease, rendering it more suitable for the treatment of HFrEF (92). YXSC focuses on replenishing qi and nourishing yin and is suitable for those with deficiency of both qi and yin, but the role of yin deficiency in the pathogenesis of HFPEF is less important. TXLC is a representative drug for the treatment of cardiovascular diseases guided by the theory of collateral disease, with strong blood-activating effects but relatively weak beneficial effects on qi. YXST has a stronger tonic effect and a weaker blood activating effect. SXBXP also regulates qi, which can strengthen the effect of activating blood, thus showing a better therapeutic effect. In comparison, QSYQDP includes Astragali Radix and Salviae Miltiorrhizae Radix et Rhizoma as the main active ingredients; they are strong in benefiting qi and invigorating blood, which may be the reason for the best efficacy of this treatment. The results of this study show that although all CTPMs can replenish qi and promote blood circulation, they produce different therapeutic effects due to their differences in functional focus. Hence, the use of a CTPM that specifically targets the syndromes of a disease can further improve clinical efficacy.
The complex pathogenesis of HFpEF may include left ventricular diastolic dysfunction, blood volume overload, microvascular dysfunction, microvascular inflammation, oxidative stress, myocardial metabolic dysfunction, abnormal myocardial cell structure, glucolipid metabolism, and subclinical systolic dysfunction (93–95). Experimental studies have shown that the active components of QSYQDP have good effects on improving ventricular diastolic function, antioxidative stress, anti-inflammation, anti-atherosclerosis and modulation of glucolipid metabolism (96, 97). SXBXP has pharmacological effects such as dilating coronary arteries, improving microcirculation, improving vascular endothelial function, inhibiting vascular wall inflammation and promoting therapeutic angiogenesis (98). The fact that QSYQDP and SXBXP act on key aspects of the pathomechanism of HFPEF is the basis for their better clinical efficacy.
Innovations and limitations of the study
This study has a certain exploratory nature. The results showed integrative treatment to be superior to CWM treatment alone for HFpEF. The comprehensive efficacies of QSYQDP + CWM and SXBXP + CWM were most prominent. Among the six CTPMs included, only the package insert of QLQXC clearly specified its applicability to patients with HF; the package inserts of the other five CTPMs did not clearly mention their therapeutic effects on HF. However, a number of clinical studies have reported their therapeutic effects on HFpEF, indicating the possibility of applying medications beyond the uses indicated in package inserts. Treatment based on syndrome differentiation is a principle of TCM: the same treatments for the same syndromes and different treatments for different syndromes. Clinical medication should be applied primarily based on syndromes, with consideration of the specific diseases. In general, precise treatment based on syndrome differentiation is essential, though clinical application of a medicine is not necessarily restricted to the uses indicated in the package insert. This study analyzed existing evidence on both evidence-based medicine and syndrome differentiation-based TCM treatment to explore the possibility that some CTPMs can treat HFpEF, thus providing a refence for expanding the application of existing CTPMs, such as QSYQDP and SXBXP, and for the research and development of new CTPMs.
This study still has certain limitations. (1) Due to the limited published evidence, this study did not address the long-term prognosis of HFpEF patients, such as the mortality rate or the incidence of major adverse cardiovascular events. (2) The included RCTs were all from China, perhaps because the use of CTPMs is mainly limited to China. (3) The overall quality of the included RCTs was not high due to unclear and inadequate randomization and allocation concealment, failure to implement blinding, and potentially unstandardized baselines. (4) The small number of included RCTs and the small sample sizes for some interventions may have resulted in false-positive results in some comparisons or rankings, as well as the possibility of unpublished negative results. (5) The included RCTs involved complex potential causes of HFpEF, different disease durations, different types of CWM, and different lengths of intervention, thus reducing comparability between them and increasing clinical heterogeneity. In addition, the impact of these covariates on outcome indicators was not quantitatively evaluated through meta-regression analysis. (6) The clinical heterogeneity of relevant safety reports was high, and different measurement methods were used in different RCTs; therefore, quantitative pooled evaluation could not be performed.
Conclusion
Available clinical evidence shows that compared with CWM alone, CTPMs + CWM combinations are superior at improving NYHA cardiac functional classification efficiency, E/A, NT-proBNP, and 6MWT and are safe for patients with HFpEF. Among the included interventions, QSYQDP + CWM and SXBXP + CWM may be the potential optimal treatments for HFpEF. Given the limitations of this study, further high-quality, multicenter, large sample, randomized, and double-blind studies are needed to confirm the current results.
Statements
Data availability statement
The original contributions presented in the study are included in the article/supplementary materials, further inquiries can be directed to the corresponding author.
Author contributions
HG: Conceptualization, Data curation, Formal Analysis, Investigation, Methodology, Project administration, Software, Supervision, Validation, Visualization, Writing – original draft, Writing – review & editing. MZ: Funding acquisition, Resources, Writing – review & editing, Supervision. RY: Writing – review & editing, Software. XL: Writing – review & editing. QZ: Writing – review & editing.
Funding
The author(s) declare that financial support was received for the research, authorship, and/or publication of this article.
This study was supported by the Key Special Project of the National Key R & D Program (2019YFC1710003, 2019YFC1710000), the Key Project of the National Natural Science Foundation of China (82030120), Henan Provincial Science and Technology Tackling Project (212102311079), Henan Province Traditional Chinese Medicine Scientific Research Special Project (2018JDZX009) and the National Natural Science Foundation of China (82004343). The funder did not take part in the study design, the data collection or analysis, the decision to publish, or the preparation of the article.
Conflict of interest
The authors declare that the research was conducted in the absence of any commercial or financial relationships that could be construed as a potential conflict of interest.
Publisher’s note
All claims expressed in this article are solely those of the authors and do not necessarily represent those of their affiliated organizations, or those of the publisher, the editors and the reviewers. Any product that may be evaluated in this article, or claim that may be made by its manufacturer, is not guaranteed or endorsed by the publisher.
Supplementary material
The Supplementary Material for this article can be found online at: https://www.frontiersin.org/articles/10.3389/fcvm.2023.1255940/full#supplementary-material
References
1.
McDonagh TA Metra M Adamo M Gardner RS Baumbach A Böhm M et al 2021 ESC guidelines for the diagnosis and treatment of acute and chronic heart failure. Eur Heart J. (2021) 42(36):3599–726. 10.1093/eurheartj/ehab368
2.
Pfeffer MA Shah AM Borlaug BA . Heart failure with preserved ejection fraction in perspective. Circ Res. (2019) 124(11):1598–617. 10.1161/CIRCRESAHA.119.313572
3.
Dunlay SM Roger VL Redfield MM . Epidemiology of heart failure with preserved ejection fraction. Nat Rev Cardiol. (2017) 14(10):591–602. 10.1038/nrcardio
4.
Gladden JD Linke WA Redfield MM . Heart failure with preserved ejection fraction. Pflugers Arch. (2014) 466(6):1037–53. 10.1007/s00424-014-1480-8
5.
Obokata M Reddy Y Borlaug BA . Diastolic dysfunction and heart failure with preserved ejection fraction: understanding mechanisms by using noninvasive methods. JACC Cardiovasc Imaging. (2020) 13(1 Pt 2):245–57. 10.1016/j.jcmg.2018.12.034
6.
Shah KS Xu H Matsouaka RA Bhatt DL Heidenreich PA Hernandez AF et al Heart failure with preserved, borderline, and reduced ejection fraction: 5-year outcomes. J Am Coll Cardiol. (2017) 70(20):2476–86. 10.1016/j.jacc.2017.08.074
7.
Borlaug BA . Evaluation and management of heart failure with preserved ejection fraction. Nat Rev Cardiol. (2020) 17(9):559–73. 10.1038/s41569-020-0363-2
8.
Heidenreich PA Bozkurt B Aguilar D Allen LA Byun JJ Colvin MM et al 2022 AHA/ACC/HFSA guideline for the management of heart failure: a report of the American College of Cardiology/American Heart Association joint committee on clinical practice guidelines. Circulation. (2022) 145(18):e895–e1032. 10.1161/CIR.0000000000001063
9.
Wang M Shan Y Wu C Cao P Sun W Han J et al Efficacy and safety of qishen yiqi dripping pill for heart failure with preserved ejection fraction: a systematic review and meta-analysis. Front Pharmacol. (2021) 11:626375. 10.3389/fphar.2020.626375
10.
Mei J Xu H Xu FQ Ju JQ . Oral Chinese herbal medicine for heart failure with preserved ejection fraction: a meta-analysis. Chin J Integr Med. (2019) 25(10):770–7. 10.1007/s11655-019-2704-8
11.
Cao YW Bi YF Wang XL Zhao ZQ Yang Y Mao JY . Efficacy of qiliqiangxin capsule for heart failure with preserved ejection fraction on cardiac function: a systematic review. Chin J Evid-Based Med. (2020) 20(12):1427–33. 10.7507/1672-2531.202009079
12.
Hutton B Salanti G Caldwell DM Chaimani A Schmid CH Cameron C et al The PRISMA extension statement for reporting of systematic reviews incorporating network meta-analyses of health care interventions: checklist and explanations. Ann Intern Med. (2015) 162(11):777–84. 10.7326/M14-2385
13.
Wang H Liang YC . China heart failure diagnosis and treatment guidelines 2018. Chin J Cardiol. (2018) 46(10):760–89. 10.3760/cma.j.issn.2096-3076.2018.12.002
14.
Zheng XY , Ministry of health of the people’s republic of China. Guiding principles for clinical research of new Chinese medicines (trial implementation). Beijing: China Medical Science and Technology Press (2002). p. 72–3.
15.
Cumpston M Li T Page MJ Chandler J Welch VA Higgins JP et al Updated guidance for trusted systematic reviews: a new edition of the cochrane handbook for systematic reviews of interventions. Cochrane Database Syst Rev. (2019) 10:ED000142. 10.1002/14651858.ED000142
16.
Higgins JP Altman DG Gøtzsche PC Jüni P Moher D Oxman AD et al The cochrane collaboration’s tool for assessing risk of bias in randomised trials. Br Med J. (2011) 343:d5928. 10.1136/bmj.d5928
17.
Jansen JP Crawford B Bergman G Stam W . Bayesian meta-analysis of multiple treatment comparisons: an introduction to mixed treatment comparisons. Value Health. (2008) 11(5):956–64. 10.1111/j.1524-4733.2008.00347.x
18.
Rücker G Schwarzer G . Ranking treatments in frequentist network meta-analysis works without resampling methods. BMC Med Res Methodol. (2015) 15:58. 10.1186/s12874-015-0060-8
19.
Bu XP Zhang LH . Clinical study on heart failure with preserved ejection fraction in the elderly with qili qiangxin capsule. Shanxi Med J. (2021) 50(10):1677–9. 10.3969/j.issn.0253-9926.2021.10.034
20.
Chen J Liu XY Gao AL . Clinical observation of qili qiangxin capsule combined with entresto in the treatment of chronic diastolic heart failure. Pract Clin J Integr Trad Chinese Western Med. (2021) 21 (11), 6–7 + 69. 10.13638/j.issn.1671-4040.2021.11.003
21.
Chen RJ Jiang L Wang XY . Efficacy observation of qishen yiqi dropping pill combined with sacubitril valsartan in the treatment of elderly patients with heart failure with preserved ejection fraction. Prevent Treat Cardiovasc Dis. (2021) 11(10):25–8. 10.3969/j.issn.1672-3015(x).2021.10.009
22.
Chen T . The analysis of clinical efficacy about diltiazem and QiLi Qiang Xin capsules in the therapy of heart failure with preserved left ventricular ejection fraction [Master’s thesis]. Yanan City, Shanxi Province, China: Yan’an University (2014).
23.
Cheng F Wei YJ Xu HJ Gao Z Chen JJ Zhang M . Clinical study on yangxinshi tablets combined with levocarnitine in treatment of diastolic heart failure. Drugs & Clinic. (2019) 34(04):1007–11. 10.7501/j.issn.1674-5515.2019.04.026
24.
Chi H Yang DW Liu XY . Efficacy observation of qili qiangxin capsule combined with metoprolol in the treatment of diastolic cardiac insufficiency. China Prac Med. (2014) 9(10):187–8. 10.14163/j.cnki.11-5547/r.2014.10.098
25.
Dai XB . Clinical observation of tongxinluo capsule in the treatment of diastolic heart failure. Hubei J TCM. (2015) 37(06):36–7.
26.
Dong M Sun XD Jia XK Ren ZF Zhao K . Clinical trial of qili qiangxin capsule combined with trimetazidine in the treatment of heart failure with preserved left ventricle ejection fraction. Chin J Misdiagn. (2018) 13(01):9–11.
27.
Dong ZC Wang XL . Observation of the curative effect of shexiang baoxin pill in the treatment of diastolic heart failure. Chin J Urban Rural Enterprise Hygiene. (2012) 27(04):123–4. 10.16286/j.1003-5052.2012.04.023
28.
Du YK . Observation on the efficacy of qili qiangxin capsule in the treatment of diastolic heart failure. Shanxi J of TCM. (2014) 30(02):14–5. + 42.
29.
Du L . Effect of qili qiangxin capsule combined with human brain natriuretic peptide on cardiac function classification and exercise tolerance in patients with heart failure with preserved ejection fraction. HeiLongJiang Med and Pharma. (2022) 45(03):156–7. 10.3969/j.issn.1008-0104.2022.03.073
30.
Feng WW Xiong B Li YF . Effect of qili qiangxin capsule on doppler E/E’ ratio and NT-pro-BNP in heart failure patients with preserved ejection fraction. Journal of New Chinese Medicine. (2014) 46(10):39–41. 10.13457/j.cnki.jncm.2014.10.016
31.
Guan SY Yang L . Clinical study of qili qiangxin capsule in the adjuvant treatment of chronic heart failure with normal left ventricular ejection fraction. Chin J Diffic and Compl Cas. (2012) 11(07):500–2. 10.3969/j.issn.1671-6450.2012.07.03
32.
He SL . Clinical study of qishen yiqi dropping pill in the treatment of diastolic heart failure. J Baotou Medical College. (2015) 31(11):43–4. 10.16833/j.cnki.jbmc.2015.11.027
33.
Hou JW Yang J . Study on the effect of qishen yiqi dropping pill combined with bisoprolol on oxidative stress and cardiac remodeling in patients with diabetes mellitus combined with left ventricular ejection fraction preserved heart failure with clinical data of 60 cases. Jiangsu Chinese Medicine. (2019) 51(10):26–8. 10.3969/j.issn.1672-397X.2019.10.009
34.
Hu JH Chen SJ Liu K Zhang L . Effect of qishen yiqi dropping pill on left ventricular diastolic function and plasma BNP in patients with diastolic heart failure. Chin Trad Patent Med. (2015) 37(05):959–61. 10.3969/j.issn.1001-1528.2015.05.007
35.
Hu P Zhu DJ Cao XM Chen ZQ . Analysis of the effect of treatment with qili qiangxin capsule in patients with diastolic heart failure. Chin J Clini Res. (2016) 29(07):957–958, 961. 10.13429/j.cnki.cjcr.2016.07.027
36.
Huang M Li HH Zhang XN . Clinical study of yangxinshi tablets in the treatment of diastolic heart failure. Chin J Integr Med Cardio/Cerebrovasc Dis. (2009) 7(02):135–6. 10.3969/j.issn.1672-1349.2009.02.004
37.
Huang MH Wu J Huang GM . Impact of shexiang baoxin pill on exercise tolerance and cardiopulmonary function of heart failure patients with normal ejection fraction. Prac J Card Cereb Pneumal Vasc Dis. (2017) 25(05):87–90. 10.3969/j.issn.1008-5971.2017.05.023
38.
Jian XW Ji HH . Clinical analysis of yixinshu capsule in the treatment of chronic diastolic insufficiency of coronary heart disease. Chin J Integr Med Cardio/Cerebrovasc Dis. (2012) 10(07):799–801. 10.3969/j.issn.1672-1349.2012.07.016
39.
Jian HY Li Q Zeng LY . Clinical efficacy of conventional therapy combined with qili qiangxin capsule in the treatment of chronic diastolic cardiac insufficiency and its effect on heart rate variability. PJCCPVD. (2015) 23(10):115–7. 10.3969/j.issn.1008-5971.2015.10.032
40.
Li G Liu J . Observation of the curative effect of yixinshu capsule in the treatment of diastolic heart failure. Chin J Integr Med Cardio/Cerebrovasc Dis. (2015) 13(08):1021–2. 10.3969/j.issn.1672-1349.2015.08.026
41.
Li YX Yuan GQ Jia ZH . Effect of qili qiangxin capsule on quality of life and plasma NT-proBNP levels in patients with diastolic heart failure. Chin J Basic Med Tradit Chin Medicine. (2012) 18(03):289–91.
42.
Li RJ Huang RN Wu K Li T You Q . Observation on the efficacy of qili qiangxin capsule combined with metoprolol succinate extended-release tablets in diastolic heart failure. Shenzhen J Integr Tradit Chin Western Med. (2017) 27(09):52–3. 10.16458/j.cnki.1007-0893.2017.09.024
43.
Li C Liu YG Wang SG Li CP Ding L . Clinical efficacy of conventional therapy combined with qili qiangxin capsules in the treatment of chronic diastolic cardiac insufficiency. Prevent Treat Cardio Cereb Vasc Dis. (2018) 18(03):251–3. 10.3969/j.issn.1009-816x.2018.03.025
44.
Li X . Clinical study with combination of qishen yiqi dripping pill with trimetazidine in patients in heart failure with preserved ejection fraction. Chinese J Integr Med Cardio/Cerebrovasc Dis (2014) 12(05):557–9. 10.3969/j.issn.1672-1349.2014.05.021
45.
Li J . Clinical study of yixinshu capsule in the treatment of diastolic heart failure (qi-yin deficiency type). [Master’s thesis]. Guiyang City, Guizhou Province, China: Guiyang College of Traditional Chinese Medicine. (2015). 10.7666/d.Y3065908
46.
Li YX . The effect of qili qiangxin capsule combined with metoprolol in the treatment of hypertension and diastolic heart failure. Med J Chinese People’s Health. (2018) 30(21):84–85, 89. 10.3969/j.issn.1672-0369.2018.21.037
47.
Liao RD . Clinical study of tongxinluo capsule in the treatment of chronic diastolic heart failure. Guangming J Chin Med. (2013) 28(07):1357–8. 10.3969/j.issn.1003-8914.2013.07.029
48.
Liu Q Xu Z Mao W . Therapeutic effects of yixinshu capsule on heart function and inflammatory factors in patients with atrial fibrillation and diastolic heart failure. Chin J New Drugs Clin Rem. (2011) 30(10):766–70.
49.
Liu SP Zhou JG Jin Y Guo Y Zhou SW Lin ML et al Therapeutic efficacy of shexiang baoxin pill combined with exercise in patients with heart failure with preserved ejection fraction: a single-center, double-blind, randomized controlled trial. Chin J Integr Med. (2023) 29(2):99–107. 10.1007/s11655-022-3627-3
50.
Liu HJ Xu Q Xia XP Ye P Zhang L Zhang YT et al Clinical observation on qili qiangxin capsules in the treatment of heart failure with preserved ejection fraction. Chin J Integr Med Cardio/Cerebrovasc Dis. (2017) 15(14):1730–3. 10.3969/j.issn.1672-1349.2017.14.014
51.
Liu XM . Intervention studies of yangxinshi tablets on exercise intensity and quality of life on heart failure with preserved ejection fraction. [Master’s thesis]. Jinan City, Shandong Province, China: Shandong University of Traditional Chinese Medicine. (2020). 10.27282/d.cnki.gsdzu.2020.000293
52.
Liu L . Effects of qishen yiqi dropping pill combined with levosimendan on diastolic function in patients with heart failure with preserved ejection fraction. Prac Clin J Integr Tradit Chin Western Med. (2021) 21(15):8–9. 10.13638/j.issn.1671-4040.2021.15.004
53.
Lu TQ Zhao Y Meng QH Li Y Feng SJ . Clinical research on the qiliqiangxin capsule in the adjuvant treatment of heart failure with preserved ejection fraction. Prog Modern Biomed. (2013) 13(22):4292–4294, 4301. 10.13241/j.cnki.pmb.2013.22.009
54.
Luo P Wan FF . Clinical observation of qiliqiangxin capsule combined with western medicine in the treatment of heart failure with preserved ejection fraction. Jiangxi Med J. (2016) 51(10):1069–71. 10.3969/j.issn.1006-2238.2016.10.029
55.
Ma AL Shao N Wu ZZ Yi SX Wang YB Feng WF . Effect of yixinshu capsule on 6MWT, LA, E/A ratio and BNP in patients with diastolic heart failure. J Shanxi College Tradit Chin Med. (2011) 34(05):69–71. 10.13424/j.cnki.jsctcm.2011.05.030
56.
Pan F . Efficacy observation on adjunctive therapy of 80 cases with diastolic heart failure by yangxinshi tablets. Clin J Chin Med. (2014) 6(18):39–41. 10.3969/j.issn.1674-7860.2014.18.019
57.
Pei JH Li MR Gan F . Clinical curative effect observation and heart rate variability of yixinshu capsule on diastolic cardiac insufficiency from coronary heart disease. Chin J Heart and Heart Rhythm. (2016) 4(04):228–30. 10.3877/cma.j.issn.2095-6568.2016.04.010
58.
Peng XM Zhang WN Gao XD . Clinical study of shexiang baoxin pill in the treatment of left ventricular diastolic dysfunction in elderly patients with coronary heart disease. JChina Tradit Chin Med Inform. (2012) 4(3):277–8.
59.
Qiang YY . Effects of qili qiangxin capsule on NT-proBNP and 6-min walk test in patients with diastolic heart failure. Chin J Mod Drug Appl. (2016) 10(02):198–9. 10.14164/j.cnki.cn11-5581/r.2016.02.155
60.
Qiu JG . Clinical analysis of tongxinluo capsule in the treatment of coronary heart disease and diastolic heart failure. Chin J Mod Drug Appl. (2011) 5(15):74–5. 10.14164/j.cnki.cn11-5581/r.2011.15.010
61.
Ruan J . Effects of qili qiangxin capsules combined with freeze-dried recombinant human brain natriuretic peptide on patients with HFpEF. Hei Long Jiang Med Pharma. (2021) 44(02):125–6. 10.3969/j.issn.1008-0104.2021.02.055
62.
Song SY . Effect of qishen yiqi dropping pills combined with nicorandil on serum NT-proBNP, hs-CRP, hcy and CysC in patients with left ventricular ejection fraction preserved heart failure after emergency PCI. Modern J Integr Tradit Chin Western Med. (2020) 29(05):514–8. 10.3969/j.issn.1008-8849.2020.05.014
63.
Sun ZM . To observe the clinical efficacy of qili qiangxin capsule in the treatment of 50 cases of diastolic heart failure. Guide of China Med. (2013) 11(32):199–200. 10.15912/j.cnki.gocm.2013.32.027
64.
Tian Y . Clinical observation about qiliqiangxin capsule for diastolic heart failure (DHF). [Master’s thesis]. Shijiazhuang City, Hebei Province, China: Hebei Medical University. (2011). 10.7666/d.y2105050
65.
Wang XN Wo JS Guo J . The clinical observation of qiliqiangxin capsule on coronary heart disease and left ventricular diastolic dysfunction. Chin J Diffic and Compl Cas. (2016) 15(02):183–185, 194. 10.3969/j.issn.1671-6450.2016.02.020
66.
Wang FY . Effect of qishen yiqi dropping pills combined with levosimendan on cardiac diastolic function and MLHFQ score in heart failure with preserved ejection fraction patients. Harbin Med J. (2022) 42(04):112–3. 10.3969/j.issn.1001-8131.2022.04.050
67.
Wei MQ . Clinical observation of tongxinluo capsule in the treatment of coronary heart disease and diastolic heart failure. [Master’s thesis]. Shenyang City, Liaoning Province, China: Liaoning University of Traditional Chinese Medicine. (2008). 10.7666/d.y1404139
68.
Wu D Qu M Su YX Luo CY . Application of qiliqiangxin capsules combined with nicorandil in patients with HFpEF after emergency PCI. Hainan Med J. (2023) 34(10):1374–8. 10.3969/j.issn.1003-6350.2023.10.002
69.
Xu LH . Clinical observation of tongxinluo capsule in the treatment of diastolic heart failure. J Liaoning University Tradit Chin Med. (2007) 9(01):114–5. 10.13194/j.jlunivtcm.2007.01.116.xulh.077
70.
Yang PP Jiang YF Zhang RW . Clinical observation of shexiang baoxin pill in the treatment of diastolic cardiac insufficiency. J Mudanjiang Medical University. (2010) 31(06):48–9. 10.13799/j.cnki.mdjyxyxb.2010.06.007
71.
Yang C Hou LY Wu YL . Efficacy of the qili qiangxin capsules on coronary heart disease with left ventricular diastolic dysfunction. Clin J Chin Med. (2018) 10(04):62–3. 10.3969/j.issn.1674-7860.2018.04.031
72.
Yu JH . Significance of plasma hs-CRP level in diastolic heart failure and intervention effect of qili qiangxin capsule. [Master’s thesis]. Jinan City, Shandong Province, China: Shandong University of Traditional Chinese Medicine. (2008). 10.7666/d.D459414
73.
Yu JY . Analysis of clinical treatment of patients with diastolic heart failure. Chin J Mod Drug Appl. (2016) 10(11):199–200. 10.14164/j.cnki.cn11-5581/r.2016.11.139
74.
Yuan H . Clinical observation of yangxinshi tablet adjuvant treatment of 75 cases of diastolic heart failure. Strait Pharmaceutical J. (2012) 24(02):145–6. 10.3969/j.issn.1006-3765.2012.02.075
75.
Zeng SJ Zhu PX . Observation on the curative effect of shexiang baoxin pill on diastolic dysfunction in coronary heart disease. China New Med. (2004) 3(7):106–106.
76.
Zhang D Gou WH . Efficacy of qishen yiqi dropping pill combined with bisoprolol in the treatment of left ventricular ejection fraction retained heart failure and its effect on oxidative stress and ventricular remodeling. Chin J Integr Med Cardio/Cerebrovasc Dis. (2021) 19(11):1844–7. 10.12102/j.issn.1672-1349.2021.11.013
77.
Zhang JL Li QE . The effect of qishen yiqi dropping pill on plasma brain natriuretic peptide and cardiac function in patients with diastolic heart failure. J Prac Med. (2013) 29(01):132–4. 10.3969/j.issn.1006-5725.2013.01.058
78.
Zhang H Niu TF . Clinical observation of 34 cases of diastolic heart failure with qi deficiency and blood stasis treated with yangxin’s tablets. Chin J Integr Med Cardio/Cerebrovasc Dis. (2017) 15(24):3148–50. 10.3969/j.issn.1672-1349.2017.24.020
79.
Zhang YL Zhu XM . Clinical observation of yixinshu capsule in the treatment of diastolic heart failure. Chin J Integr Med Cardio/Cerebrovasc Dis. (2011) 9(03):287–9. 10.3969/j.issn.1672-1349.2011.03.015
80.
Zhang KX Geng W Jiang YM Wang XS Hou XN . Effect of qishen yiqi dropping pill on heart failure with preserved ejection fraction. Clin Metadata. (2019) 34(11):995–8. 10.3969/j.issn.1004-583X.2019.11.007
81.
Zhang ZY Su XQ Ma SX Cai WP . Clinical observation of qishen yiqi dropping pill in the treatment of heart failure with preserved ejection fraction. Chin Foreign Med Res. (2021) 19(18):130–3. 10.14033/j.cnki.cfmr.2021.18.047
82.
Zhen LB Tian X . Observation on the effect of qili qiangxin capsule in the adjuvant treatment of coronary heart disease and diastolic heart failure. Chin J Clin Rational Drug Use. (2013) 6(25):82–3. 10.15887/j.cnki.13-1389/r.2013.25.015
83.
Kittleson MM Panjrath GS Amancherla K Davis LL Deswal A Dixon DL et al 2023 ACC expert consensus decision pathway on management of heart failure with preserved ejection fraction: a report of the American college of cardiology solution set oversight committee. J Am Coll Cardiol. (2023) 81(18):1835–78. 10.1016/j.jacc.2023.03.393
84.
Fan Y Yang Z Wang L Liu Y Song Y Liu Y et al Traditional Chinese medicine for heart failure with preserved ejection fraction: clinical evidence and potential mechanisms. Front Pharmacol. (2023) 14:1154167. 10.3389/fphar.2023.1154167
85.
Fornacon-Wood I Mistry H Johnson-Hart C Faivre-Finn C O’Connor JPB Price GJ . Understanding the differences between Bayesian and frequentist statistics. Int J Radiat Oncol Biol Phys. (2022) 112(5):1076–82. 10.1016/j.ijrobp.2021.12.011
86.
Zhang GY Wang ZH Fan JR Li L . Research progress of traditional Chinese medicine in treatment of heart failure with preserved ejection fraction. Med Recapitulate. (2022) 28(13):2679–83. 10.3969/j.issn.1006-2084.2022.13.032
87.
Ge Z Liu CX Lin SS Wang XL Mao JY . Effect of qili qiangxin capsule for heart failure with preserved ejection fraction on quality of life:a meta-analysis. Tianjin J Tradit Chin Med. (2022) 9(3):335–46. 10.11656/j.issn.1672-1519.2022.03.14
88.
Chen KJ Wu ZG Zhu MJ Mao JY Xu H . Expert consensus on the diagnosis and treatment of chronic heart failure with integrated traditional Chinese and western medicine. Chin J Integr Tradit Western Med. (2016) 36(02):133–41. 10.7661/CJIM.2016.02.0133
89.
Guo HX Wang JR Peng GC Li P Zhu MJ . A data mining-based study on medication rules of Chinese herbs to treat heart failure with preserved ejection fraction. Chin J Integr Med. (2022) 28(9):847–54. 10.1007/s11655-022-2892-5
90.
Dong GJ Liu SY . Expert consensus on staging diagnosis combining traditional Chinese medicine and western medicine in heart failure with preserved ejection fraction. Chin Archives Tradit Chin Med. (2023) 41(05):254–8. 10.13193/j.issn.1673-7717.2023.05.053
91.
Chinese Association of Traditional Chinese Medicine. Traditional Chinese medicine diagnosis and treatment guidelines for chronic heart failure. J Tradit Chin Med. (2022) 64(07):743–56. 10.13288/j.11-2166/r.2023.07.016
92.
Xiang Q Wang M Ding Y Fan M Tong H Chen J et al Qili qiangxin capsule combined with sacubitril/valsartan for HFrEF: a systematic review and meta-analysis. Front Pharmacol. (2022) 13:832782. 10.3389/fphar.2022.832782
93.
Lam C Voors AA de Boer RA Solomon SD van Veldhuisen DJ . Heart failure with preserved ejection fraction: from mechanisms to therapies. Eur Heart J. (2018) 39(30):2780–92. 10.1093/eurheartj/ehy301
94.
D’Amario D Migliaro S Borovac JA Restivo A Vergallo R Galli M et al Microvascular dysfunction in heart failure with preserved ejection fraction. Front Physiol. (2019) 10:1347. 10.3389/fphys.2019.01347
95.
Zeng H Chen JX . Microvascular rarefaction and heart failure with preserved ejection fraction. Front Cardiovasc Med. (2019) 6:15. 10.3389/fcvm.2019.00015
96.
Ma YC Hu JH Wu WX Duan Y Fan CC Feng TT et al Research progress on chemical constituents and pharmacological effects of radix astragali. Acta Chin Med Pharmacol. (2022) 50(04):92–5. 10.19664/j.cnki.1002-2392.220092
97.
Shan XX Hong BZ Liu J Wang GK Chen WD Yu NJ et al Review of chemical composition, pharmacological effects, and clinical application of Salviae miltiorrhizae radix et rhizoma and prediction of its Q-markers. China J Chin Materia medica. (2021) 46(21):5496–511. 10.19540/j.cnki.cjcmm.20210630.203
98.
Cardiovascular Disease Specialized Committee of the Chinese Physicians Association of Integrative Medicine (CPAIM). Expert consensus on shexiang baoxin pills for coronary heart disease. Chin J Integr Med. (2022) 42(7):782–90. 10.7661/j.cjim.20200321.010
Summary
Keywords
traditional Chinese medicine, Chinese traditional patent medicine, heart failure with preserved ejection fraction, randomized controlled trial, network meta-analysis, Bayesian model
Citation
Guo H, Zhu M, Yu R, Li X and Zhao Q (2023) Efficacy of Chinese traditional patent medicines for heart failure with preserved ejection fraction: a Bayesian network meta-analysis of 64 randomized controlled trials. Front. Cardiovasc. Med. 10:1255940. doi: 10.3389/fcvm.2023.1255940
Received
10 July 2023
Accepted
06 November 2023
Published
20 November 2023
Volume
10 - 2023
Edited by
Adolfo Andrade-Cetto, National Autonomous University of Mexico, Mexico
Reviewed by
Yong Wang, Beijing University of Chinese Medicine, China Alicia del Saz Lara, University of Castilla-La Mancha, Spain Xiao Ma, Chengdu University of Traditional Chinese Medicine, China
Updates
Copyright
© 2023 Guo, Zhu, Yu, Li and Zhao.
This is an open-access article distributed under the terms of the Creative Commons Attribution License (CC BY). The use, distribution or reproduction in other forums is permitted, provided the original author(s) and the copyright owner(s) are credited and that the original publication in this journal is cited, in accordance with accepted academic practice. No use, distribution or reproduction is permitted which does not comply with these terms.
* Correspondence: Mingjun Zhu zhumingjun317@163.com
Disclaimer
All claims expressed in this article are solely those of the authors and do not necessarily represent those of their affiliated organizations, or those of the publisher, the editors and the reviewers. Any product that may be evaluated in this article or claim that may be made by its manufacturer is not guaranteed or endorsed by the publisher.