- 1Honda Research Institute Japan Co., Ltd., Wakoshi, Japan
- 2EleutherAI, Edmonton, AB, Canada
- 3HCI Lab, University of Manitoba, Winnipeg, MB, Canada
Storytelling plays a central role in human socializing and entertainment, and research on conducting storytelling with robots is gaining interest. However, much of this research assumes that story content is curated. In this paper, we introduce the task of collaborative story generation, where an artificial intelligence agent, or a robot, and a person collaborate to create a unique story by taking turns adding to it. We present a collaborative story generation system which works with a human storyteller to create a story by generating new utterances based on the story so far. Our collaborative story generation system consists of a publicly-available large scale language model that was tuned on a dataset of writing prompts and short stories, and a ranker that samples from the language model and chooses the best possible output. We improve storytelling quality by optimizing the ranker’s sample size to strike a balance between quality and computational cost. Since latency can be detrimental to human-robot interaction, we examine the performance-latency trade-offs of our approach and find the optimal ranker sample size that strikes the best balance between quality and computational cost. We evaluate our system by having human participants play the collaborative story generation game and comparing the stories they create with our system to a naive baseline. Next, we conduct a detailed elicitation survey that sheds light on issues to consider when adapting our collaborative story generation system to a social robot. Finally, in a first step towards allowing human players to control the genre or mood of stories generated, we present preliminary work on steering story generation sentiment polarity with a sentiment analysis model. We find that our proposed method achieves a good balance of steering capability and text coherence. Our evaluation shows that participants have a positive view of collaborative story generation with a social robot and consider rich, emotive capabilities to be key to an enjoyable experience.
1 Introduction
Storytelling is a central part of human socialization and entertainment. Many of the popular forms of storytelling throughout history–such as novels, plays, television, and movies–have passive audience experiences. However, as social robots become more widespread, they present a new avenue for storytelling with a higher level of interactivity. Much research has been dedicated to issues surrounding with how robots should connect with an audience (Mutlu et al., 2006; Gelin et al., 2010; Ham et al., 2015; Costa et al., 2018; Gomez et al., 2018; Ligthart et al., 2020), but so far, most work works under the assumption that story content would be curated in advance. At the same time, recent breakthroughs in language modeling present a new opportunity: language, and thus stories, can potentially be generated on demand.
In this paper, we introduce a novel game of collaborative story generation, where a human player and an artificial intelligence agent or robot construct a story together. The game starts with the AI agent reciting one of a curated set of story starters–opening sentences meant to kick-start participants’ storytelling creativity–and the human player responds by adding a line, which we refer to from here on out as a story continuation, to the story. The AI agent and human player then take turns adding to the story until the human player concludes it. The game is designed to have a few restrictions as possible and contrasts with traditional storytelling settings where the narrative is fixed in advance.
Collaborative story generation builds on a rich tradition of collaboration in storytelling that includes Dungeons and Dragons, improvisational comedy, and theater. It also bears some resemblance to Choose Your Own Adventure style novels1 where users make narrative choices to progress the story. collaborative story generation could be a useful tool for encouraging creativity and overcoming writer’s block, as well as being an entertaining game in its own right.
Our end goal is to make it possible for intelligent agents, such as robot companions and avatars (Park et al., 2019; Gomez, 2020; Gomez et al., 2020), to play the collaborative story generation game, as shown in Figure 1. The examples throughout this paper come from real stories that were constructed by humans collaborating with a text interface version of our storytelling system2.
Our contributions are as follows:
1. We introduce the task of collaborative story generation, where a human and an intelligent agent or social robot construct a story together and consider the arising technical and presentational challenges.
2. We present a sample-and-rank-based approach to collaborative story generation that combines a large-scale neural language model with a sampler and ranker to maximize story generation quality.
3. We conduct rigorous analysis of our approach to fully understand its performance and the trade-offs between quality and latency, and we use these findings to determine the optimal number of story continuation candidates to generate.
4. We conduct qualitative evaluation including evaluation of stories generated by our system in isolation, and two distinct populations of human judges of actual stories constructed by humans playing with our collaborative story generation system. The evaluation confirmed our optimized ranker model’s contribution to story generation quality.
5. We conduct a detailed elicitation survey to gain insight into potential user preferences for a collaborative story generation game with the social robot, Haru (Gomez, 2020). Survey findings were positive overall and highlighted the importance of the robot conveying the emotional contents of the stories.
6. Finally, with the goal of allowing players to specify the mood or genre of the story during collaborative story generation, we present preliminary work on steering story generation using a sentiment analysis model showing we could successfully influence story generation sentiment without degrading quality.
2 Collaborative Story Generation
In this section, we describe our formulation of the collaborative story generation game. The goal of this game is to provide human players opportunity to get creative and express themselves. We do so by providing an intelligent agent that plays along with humans, loosely following the yes-and principle that was loosely codified in improvisational theater (Johnstone, 2012): the intelligent agent’s contribution should follow the premises set up by the story up to the current point.
The collaborative story generation game flows as follows:
1. The intelligent agent selects and recites a story starter from our curated collection: these are catchy opening lines meant to kickstart the storytelling process with an interesting premise. Examples are given in Tables 1, 2.
2. The human player responds by adding a line to the story. There are no restrictions, and the human player can have the story continue however they want.
3. The intelligent agent follows by reading the story up to the current point and adding a line that seems likely to follow the human contribution.
4. The collaborative story generation game continues by alternating between steps 2) and 3) until it concludes.
There are many possible strategies that could be used to conclude the collaborative story generation game: the human player could simply declare The End; the intelligent agent could decide based on player engagement levels, the flow of the story, or other information that is it time to generate an ending; or after deciding to end the story, the agent could cheer on the human player on to develop an ending.
Story ending generation is an important research topic that has grown in interest recently (Zhao et al., 2018; Guan et al., 2019; Luo et al., 2019), and it is beyond the scope of this paper. We plan to address this in future work but limit the scope of the collaborative story generation presented here to a fixed number of exchanges between human player and intelligent agent in order to simplify evaluation.
We design the collaborative story generation game to have as few restrictions on the human player as possible. In principle, our storytelling system can handle input of arbitrary length and content, and stories can last as long as the human player wants. In practice, the mode of interaction does impose some constraints: when playing the game with a text-based interface, story generation quality will degrade if spelling and punctuation are not in agreement with the system’s conventions. When playing the game verbally, the quality of the robot’s speech recognition can have a similar impact. We plan to thoroughly explore these issues in future work, but at this stage we do not constrain the players’ input.
3 Materials and Methods
Our approach to collaborative story generation is as follows: a generator model generates story continuations given the text of the story so far, a sampler uses the generator to produce a specified number of story continuation candidates, and a ranking model or ranker picks the best possible choice as the system’s contribution. Combining a language model with a ranker allows adjusting the trade-off in computational costs and generated story quality. Our collaborative story generation architecture is shown in Figure 2.
To play the collaborative story generation game using the system, the game is started by randomly selecting a story started from the WritingPrompts data set described in Section 3.4.2. Then at each step where a story continuation is required, the language model reads the entire story up to that point including utterances from both the human player and system and the specified number of story continuation candidates is generated. Then the sampler and ranker are used to choose the best possible continuation. This process continues until the game concludes. An example of the story generation process is given in Table 3.
3.1 Generator Model
The Generator is a unidirectional autoregressive language model which is sampled from multiple times to generate candidate story continuations. We used the publicly-available pretrained 774M parameter GPT-2-large model3 (Radford et al., 2019).
One issue with using a language model for generation is the output may be ill-formed or lacking in logical coherence. The main solutions for this issue are the use of larger models, the use of different sampling methods, and the use of various methods of traversing the search space of possible sentences. However, larger models are at greater risk of over-fitting and result in large increases in memory usage for modest gains in quality, which makes them impractical to use. As such, we focused on sampling and searching through ranking.
3.2 Sampler
The most popular approaches for sampling from autoregressive models have predominantly focused on techniques for truncating the low-quality tail of the model distribution, like top-k and nucleus sampling (Holtzman et al., 2019). Sampling is used in most GPT-2 based text generation systems, superseding greedy or untruncated sampling. In all experiments, we use nucleus sampling with p = 0.9.
3.3 Ranking Model
The Ranker model scores each story continuation candidate and selects the highest scoring one. It is a standard GPT-2-large model with a final classification head consisting of a linear layer outputting a single scalar for each token. The input format to the model is:(context)<
|endoftext
|>(choice)<
|endoftext
|>
.
The <
|endoftext
|>
token is used because it is guaranteed not to occur elsewhere in the input. As GPT-2 is unidirectional, the embedding of the final token integrates information from the entire input context window; this is similar to the use of the [CLS]
token in BERT. Thus we execute the Ranker model once for each choice, keep only the outputs from the last token of the final layer for each choice as the logit score of each choice, and compute a softmax over them. The Ranking model architecture is shown in Figure 2.
We chose a neural network-based ranker model to select the best story completion from the Generator output because it offers us control over the trade-off between text generation quality and computational demand, while avoiding the significantly increased memory footprint and inflexibility in computational cost of using a larger language model. The amount of computational resources used is easily adjustable by changing the number of rollouts considered by the Ranker. This serves as a middle ground between the intractable extreme of searching the entire space of all vocablength possible sentences, and the computation-efficient but suboptimal solution of sampling without any branching or backtracking.
One popular alternative search solution making a similar trade-off is beam search, which keeps a dynamic list of generation candidates. Beam search has been applied in many language generation tasks, including machine translation (Tillmann and Ney, 2003). However, sampling from a language model using beam search can lead to degenerate text (which is typically repetitive and uninteresting), in an open-ended task such as storytelling (Holtzman et al., 2019). These issues are avoided using a neural network-based ranker model because it has richer text representations, it scores full text utterances rather than incomplete text fragments, and it can incorporate additional information about the storytelling domain from its training data.
3.4 Datasets
In this section we describe our datasets: 1) a collaborative story generation dataset constructed by crowdsourcing workers interacting with our collaborative story generation system that are used to train the Ranker model and for evaluation, and 2) a writing prompts dataset comprised of short stories written in response to writing prompts posted to a Web forum that are used to train the Generator model.
3.4.1 Collaborative Story Generation Dataset
We collected collaborative stories using Mechanical Turk, each consisting of 20 interactions in response to a provided story starter (which is sampled from the initial sentences of stories in the WritingPrompts dataset described in Section 3.4.2). The interactions in the story alternate between choice type interactions, in which a human participant chooses from 10 story continuations that are generated by out collaborative story generation system, and freeform type interactions, in which the human participant is able to provide a complete sentence response. The Web interface for this task in shown in Figure 3.

FIGURE 3. Web interface for collaborative storytelling annotation task. Participants select from amongst ten possible story continuations generated by the system before adding their own line to the story. Reproduced with permission from (Nichols et al., 2020).
In order to ensure data quality, one of the continuations in the choice type interaction is a distractor which is made by concatenating randomly sampled words. The distractors are also filtered through Mechanical Turk beforehand by asking workers whether the sentences are coherent or not, and only the ones labelled incoherent by workers are used. As a quality check, if a worker selects a distractor during a choice type interaction, the story is discarded.
We collected a total of 2,200 stories, which we randomly partitioned into a training split of 2,000 stories, and validation and test splits of 100 stories each. Some example stories generated by human participants together with our system are shown in Table 4.

TABLE 4. Example stories generated by the tuned
system with a human through the collaborative storytelling annotation task.
3.4.2 Writing Prompts Dataset
We constructed a dataset of stories from the r/WritingPrompts
subreddit4, consisting of all posts with score greater than 3 made before 2019-11-24, amounting to 140 k stories in total. Some heuristics were used to clean the stories5. This data was used to train the Generator model. Example stories are given in Table 2.
We chose to collect our own WritingPrompts dataset instead of using the FAIR WritingPrompts dataset (Fan et al., 2018), because it gave us the flexibility to filter stories by custom score thresholds, as well as to perform the different preprocessing necessary for GPT-2. Our dataset also contains more than an additional year’s worth of data compared to the FAIR dataset.
3.5 Story Continuation Sampling and Ranking
To generate story continuations from our system, sentences are generated from the Generator model and filtered using a set of cleanliness heuristics until the desired number of samples is achieved. Our heuristic rejected sentences with less than 60% alphabetic characters, unbalanced quotations, select profanity, or words like “chapter” that are not typically part of the story. The Ranker model then computes a score for each story continuation and selects the highest scoring one.
3.6 Training
3.6.1 Generator Model
The Generator model is trained with a maximum likelihood estimation loss function using Adafactor (Shazeer and Stern, 2018) with a learning rate of 5e − 5 on a weighted mixture of the WritingPrompts and BookCorpus (Zhu et al., 2015) datasets. The addition of BookCorpus helps reduce the risk of over-fitting on the comparatively smaller WritingPrompts dataset.
3.6.2 Ranking Model
The Ranking model is trained on the WritingPrompts dataset and eight copies of the training split of the collaborative story generation dataset, shuffled at the story level. Each batch for the Ranking model consists of 20 sentences taken from a single story. To ensure that the model fits in memory, only the sentences that fit within 400 tokens are used, resulting in some batches with less than 20 sentences. The majority of stories do not have to be truncated.
The Ranker model is also trained on synthetic collaborative story generation data that we create from the WritingPrompts dataset. Stories with less than 100 characters or 35 sentences are first removed from the Ranking model’s training data. Then the first sentence of the story is used as the story starter, and the next 20 sentences are all used as the preferred story continuations of choice type interactions, where the other nine incorrect choices are sampled from the 25th and subsequent sentences of the story.
The Ranking model is trained using Adam (Kingma and Ba, 2014) with a maximum learning rate of 1e − 5. The entire model is trained; no layers are frozen. The checkpoint is resumed from a GPT-2 text generation model that was tuned on the BookCorpus and WritingPrompts datasets in the same way as the Generator model.
3.7 Sentiment Steering
Preliminary human evaluation of our collaborative story generation system highlighted participant’s desires to influence the mood and genre of stories, but such explicit control of language generation has been a challenge for language models. However, in recent years there have been developments in language model steering, where judgements from a classifier are directly incorporated into a LM’s training and/or generation. For example, generated text can be steered toward a target domain (e.g. Wikipedia- or tweet-like text) (Dathathri et al., 2020) or target emotion; obscenities or other undesirable text can be filtered out (Keskar et al., 2019).
Krause et al. (2020) proposed GeDi, a method for language model steering that combines the probability distribution over categories from a classification model with the probability distribution over the next token to be generated by an LM. This has the advantage that no retraining of the LM is necessary, and any classifier can be applied. However, GeDi and similar approaches often suffer from degraded text generation quality, if the classification model exerts too much influence over generation.
Inspired by GeDi (Krause et al., 2020), we propose a sentence-level approach to language-model steering that can benefit from an external classification model while avoiding text degradation. We do so by combining our Ranker model with a classification model to select sentences that are more likely to share target categories. Because our goal is to allow human collaborative story generation players to specify story moods or genres, as an initial trial we use a sentiment classification model to steer text generation towards either positive
or negative
sentiment.
Thus, we need a sentiment analyzer that can perform well on text generated during collaborative story generation. To keep the architecture of our system simple and preserve efficiency by requiring only GPT-2 based LMs, we train our own sentiment model. Our sentiment model is a 124M parameter GPT-2-small model with a classification head, similar to the Ranking model, and trained to producing a score, where 1.0 is interpreted as positive
and 0.0 in interpreted as negative
. We trained our model on the TweetEval (Rosenthal et al., 2017; Barbieri et al., 2020) dataset, a collection of Twitter annotated at the tweet level with positive
and negative
labels. Examples from the TweetEval dataset are show in in Table 5. Training was carried out using Adam (Kingma and Ba, 2014) with a maximum learning rate of 1e − 5.

TABLE 5. Examples from the TweetEval (Rosenthal et al., 2017; Barbieri et al., 2020) dataset.
To verify that our sentiment analyzer has sufficient performance on collaborative story generation text, we compare it to existing sentiment analyzers on a small evaluation dataset we construct by having Mechanical Turk workers annotate 100 randomly-selected sentences from our collaborative story generationdataset described in Section 3.4.1 with sentiment polarity judgements. Three workers annotate each sentence, and we use majority voting to select the correct label. We then evaluated the performance of a small number of transformer-based sentiment analyzers that were trained on different datasets.
The results are shown in Table 6, where our approach is labeled system G (rank_sent
). We can see that models trained on Twitter data (systems F, G) outperform models trained on restaurant reviews (system A) or movie reviews (systems B, C, D, E) and that architecture variants do not have much impact on performance. Our model performs comparably to the best-performing publicly-released model: a RoBERTa model that was trained on Twitter data, providing evidence that using our own GPT-2-based sentiment analyzer is unlikely to degrade performance.

TABLE 6. Comparison of the sentiment analysis accuracy of several state-of-the-art transformer-based sentiment analysis systems.
To combine the sentiment analyzer score with the ranking model score, we use use Bayes theorem with the ranking model to provide a prior and updating with a weighted version of the sentiment model (with weight ω, indicating our degree of confidence in the sentiment model). This scoring is similar to Krause et al. (2020) but acts at the sentence rather than token level. This computation is as follows:
There are several advantages of optimizing at sentence level instead of token level. As all sentiment models are only proxies for sentiment, by maximizing for the sentiment score, quality invariably suffers due to regressional Goodharting (Manheim and Garrabrant, 2018), a phenomenon where a proxy measure is optimized for instead of the true goal. By constraining the sentiment model to only affect generation at the sentence level and by choosing from a small number of possible continuations generated from the Generator rather than having control at every single token, the amount of optimization pressure exerted is significantly limited. Limiting the amount of optimization pressure exerted has previously been considered as a method of limiting regressional Goodharting in (Taylor, 2016). As a result, sentence level sentiment models are robust to a much wider range of sentiment weight values. As will be seen in the evaluation in Section 4.6, even when ω = ∞, the generated text is still generally coherent.
3.8 Related Research
In this section, we summarize relevant research in story generation, collaborative language generation, language modeling, and storytelling with robots.
3.8.1 Story Generation
In recent years, the task of automatic story generation has gained a lot of attention. Fan et al. (2018) construct a corpus of stories and propose a hierarchical story generation model. Yao et al. (2019) approach the task by first generating a plot outline and then filling in the language. Gupta et al. (2019) generate story endings by incorporating keywords and context into a sequence-to-sequence model. Luo et al. (2019) incorporate sentiment analysis into story ending generation. See et al. (2019) conduct an in-depth analysis of the storytelling capabilities of large-scale neural language models. However, the primary assumption of these works is that story generation is conducted without human interaction.
3.8.2 Collaborative Language Generation
While research on collaborative language generation is still sparse, there are a few notable recent developments.
AI Dungeon6 is a text adventure game that is generated by a GPT-2 language model (Radford et al., 2019) tuned on a collection of text adventure play-throughs. In the game, players assume the first person and interact with the world by inputting commands or actions. The language model is used to generate the world’s reaction to the player’s actions. Our collaborative storytelling task and approach are similar to AI Dungeon, but our task is not constrained to the genre of first-person adventures, and we perform ranking of model outputs.
Cho and May (2020) build an improvisational theater chatbot by identifying and collecting instances of improvisational dialogue on the Web and using it to tune and evaluate public domain dialogue systems. Our collaborative storytelling task is similar to improv, but stories are linguistically different enough from improv that it would be impractical to apply their dataset to our task. In addition, our approach employs sampling and ranking to improve the likelihood that language model utterances are in the desired storytelling domain, while Cho and May (2020) use the model’s output as-is.
3.8.3 Language Models
In order for an AI agent to participate in collaborative storytelling, it must be able to generate story continuations. A language model (LM) is a mathematical model that assigns likelihoods to sequences of words where sequences that are more likely in a target language are given higher scores. Such a model can be used to generate text.
Early language models estimated token sequence likelihood based on token sequence counts taken from large collections of text together with various smoothing methods to handle novel token sequences (Ney et al., 1994). Later, RNNs and other sequential neural networks models became popular due to their ability to apply distributed word representations (Bengio et al., 2003; Mikolov et al., 2011; Sutskever et al., 2011), but RNNs have issues with vanishing gradients and modelling long-term dependencies found in text.
The recent transformer architecture (Vaswani et al., 2017) uses attention layers to model long-term dependencies by greatly increasing the model’s visible context. Transformers have been shown to perform well in a variety of tasks, including machine translation (Vaswani et al., 2017) and a variety of language understanding (Radford et al., 2019) and language generation tasks (Zhang et al., 2019). A notable transformer model is BERT (Devlin et al., 2018). However, as it is a bidirectional model, BERT and its variants are rarely used for text generation, due to the necessity for computationally-expensive Gibbs sampling (Wang and Cho, 2019).
The model we use as a basis for our system, GPT-2 (Radford et al., 2019), is a large-scale neural network using the transformer architecture. GPT-2 is a general purpose unidirectional LM trained on a large corpus which has been successfully applied to many downstream tasks.
Recently, there has been interest in steering language model generation toward desired domains or styles, to avoid undesirable language, or to influence the emotion or mood of the text. Conditional Transformer Language Model ((Keskar et al., 2019), CTRL) and Generative Discriminator Guided Sequence Generation ((Krause et al., 2020), GeDi) incorporated classification models into a transformer-based LM to allow steering toward a target class at the token level. Plug and Play Language Model ((Dathathri et al., 2020), PPLM) introduce a series of control codes that can be inserted into a transformer-based LM at the beginning of generation to steer generation toward a target class. Token-level LM steering has the advantage that the target class can influence every token in the generation, however, this can often lead to degradation in text quality. In contrast, we develop a sentence-level LM steering method that uses ranking to allow the target class to influence generation while preserving text generation quality.
3.8.4 Storytelling With Robots
Storytelling with robots is a topic that has been heavily researched. See (Chen et al., 2011) for a survey. Much of recent research focuses on issues of connecting with audiences through gaze (Mutlu et al., 2006), gesture (Gelin et al., 2010; Ham et al., 2015), and emotive storytelling (Costa et al., 2018; Gomez et al., 2018), or a combination thereof (Wong et al., 2016; Wu et al., 2017). Other research investigates strategies of directly engaging with listeners (Ligthart et al., 2020).
Finally, (Sun et al., 2017) investigated joint storytelling with children participants, where a child participant created a story by selecting from a predefined set of characters and settings, a human experimenter made suggestions on story continuations following a limited number of engagement strategies, and a puppeteered robot later helped child participants recall the stories they created in order to evaluate the efficacy of the engagement strategies. Our task setting is different in that it focuses on having an AI agent automatically generating story continuations without restrictions in settings or content rather than on evaluating strategies for humans to engage with other human storytellers.
4 Results
In this section, we present evaluation of our collaborative storytelling system. First we describe our two survey populations: 1) a group of crowdsourcing workers, and 2) a group of university students. Next, in order to verify our ranker’s performance we evaluate it though story continuation acceptability and human annotator story preferences with our group of crowdsourcing workers. Then, in order to understand the trade-offs between story generation quality and latency, we investigate our ranker model. After, in order to gain insights into the characteristics that people feel our system has, we adapt the Acute-eval chatbot evaluation metric (Li et al., 2019) to collaborative storytelling evaluation and compare our proposed approach to a baseline by analyzing the story preferences of our survey groups. Finally, in order to gain insights into adapting interactive storytelling to a social robot, we conduct an elicitation survey with the second survey group.
4.1 Participants
The participants in this study consisted of two groups. The first group was recruited on Amazon Mechanical Turk (MTurk), and the second group were students from a local university in Winnipeg, Canada. One hundred participants were recruited from MTurk (N = 100) and twenty two participants from the university (N = 22). In the group of the university students were 11 males and 11 females with age ranging from 20 to 40 yr old (M = 28.5, SD = 2.1). Participants’ backgrounds were not collected.
4.2 Story Continuation Acceptability
Story continuation prediction acceptability measures the accuracy of the Ranker model at predicting the continuation chosen by the Mechanical Turk worker that interacted with the model to produce the story. This metric is a proxy for how often the tuned+ranked
picks the best continuation of the story, but its usefulness is diminished by variance in human annotators and the possibility of multiple equally good continuations. The results are summarized in Table 7. Nonetheless, we find that our Ranker model outperforms chance by a factor of over two, providing evidence that it is able to capture the preferences of human annotators to an extent.

TABLE 7. Accuracy of the tuned+ranked
model at predicting the story continuation that was selected by the Mechanical Turker who constructed the story.
As an additional measure of our systems’ capacity to generate story continuations that match human preferences, we formulate the story continuation acceptability task. In this task, each story continuation generated by a system is classified as either acceptable or unacceptable, and we compare their mean acceptability precision.
We annotated the acceptability of candidate story continuations by asking Mechanical Turk workers to classify each continuation given the context of the story generated so far. To ensure annotation quality, we have three workers evaluate each choice interaction per story from both the validation and test sets and take the majority vote across the three labels as the final label7. These choice interactions consist of nine story continuations generated by the system and one incoherent distractor. If a worker labels a distractor acceptable, their annotations are discarded. We use this method to evaluate how often each model produces outputs that are an acceptable continuation of the story, rather than the best continuation.
Since the tuned
and tuned+ranked
systems use the same language model samples, we use the test set to evaluate their performance, considering the mean acceptability of all of the sampled continuations from tuned
and the acceptability of the single continuation selected by tuned+ranked
for each choice interaction in the datasets. To evaluate the untuned
system, we gather and evaluate 100 choice interactions by having Mechanical Turkers construct stories with the untuned
system.
The results are summarized in Table 8. As we can see, the tuned
system outperforms the untuned
system, showing that tuning the language model on storytelling data is important in improving generation quality. We also find that t
uned+ranked greatly outperforms the other two systems, providing supporting evidence that our Ranking model is effective at helping our language model produce story continuations that are likely to be preferred by humans.
4.3 Ranker Performance Trade-offs
In order to fully understand the trade-offs between quality and latency and ensure our collaborative storytelling model is fast enough to work with a robot agent, we investigate the optimal number of story continuation candidates to generate.
4.3.1 Ranker Sample Size
We analyze the effect of varying the number of choices presented to the Ranker on the mean story continuation acceptability metric presented in the previous section.
Results are shown in Figure 4. While increasing the number of choices considered by the Ranker has the greatest effect on Acceptability between 0 and 10 choices, we observe a slower but continued improvement in quality throughout. The continued monotonic improvement indicates that the Ranker model is robust and prefers better continuations even when given a larger number of choices.
4.3.2 Latency
We measure the latency of our system for various numbers of Ranker choices to ensure that latency is acceptable. Our results are shown in Figure 4. We measure the latency using a single 1080Ti for the Generator model and with the Ranker model run on CPU due to insufficient GPU memory. We take the mean across 100 different stories. For each story, we only look at the latency for the final completion to provide an approximate upper bound, as latency increases towards the end of a story.
4.4 Story Preference Evaluation
Conducting qualitative evaluation of collaborative storytelling is challenging for several reasons. Due to the subjective nature of stories, it is challenging to automatically evaluate their quality, and many methods have to make due with indirect measures such as entropy that offer limited insights, or ending generation where example desired text is known. In addition, the highly interactive nature of the task means that the influence of human participants makes it difficult to isolate the performance of the system. Here we present two forms of evaluation. To gain an understanding of our storytelling system’s performance in isolation, we conduct self-chat evaluation of stories produced by conversing with itself. To understand participants’ subjective perfection of the storytelling task, we evaluate human chat stories constructed by humans engaging in the collaborative storytelling task with our system.
4.4.1 Evaluation Metric
Instead, since collaborative storytelling involves language exchange between entities with turn taking, we take inspiration from dialogue system evaluation methodology. Faced with the challenge of comparing multiple dialogue systems, Li et al. (2019) developed a method of comparing conversation pairs that instructs evaluators to only pay attention to the contributions of a single specified speaker in the conversation. In addition, their evaluation method, known as Acute-eval, allowed them to evaluate the contributions of a given dialogue system in terms of characteristics, such as engagingness, interestingness, humanness, and knowledgeability. Finally, to evaluate different dialogue systems without requiring a human to chat with them, they apply the self-chat technique of Ghandeharioun et al. (2019) and generate conversations for evaluation by having dialogue systems talk to themselves.
We create our own evaluation metric based on the characteristics targeted by the PersonaChat metric of ACUTE-Eval8. In this evaluation, participants are asked to compare two stories produced through collaborative storytelling with different systems and to express their preferences in a series of questions. For each target characteristic, we take the question that Li et al. (2019) identified as most likely to differentiate between the evaluation of two systems and reword it to fit the collaborative storytelling setting. Finally, we add a question to measure overall story preference. The questions we ask, designed to help us gain insight as to which systems are easier and more enjoyable to make stories with, are shown in Table 9.
4.4.2 Self-chat Evaluation
To eliminate variance from human storytellers, we use the self-chat setting of Li et al. (2019), where each model converses with itself. Some example stories are shown in Table 10. We compare the untuned
and tuned+ranked
models against the tuned
model. For each pair of models, we collect 100 comparisons per question, and we instruct workers to provide short justifications for their decisions. The Web interface shown to workers is given in Figure 5.

FIGURE 5. The Web interface for comparing stories for self-chat and human chat evaluations with Acute-Eval. Reproduced with permission from (Nichols et al., 2020).
The results of the evaluation are summarized in Figure 6. For each characteristic evaluated, the pairs of models are shown as stacked bar graphs, where a larger portion represents a stronger preference for that system. As can be seen, tuned
is preferred over untuned
, and tuned+ranked
is preferred over tuned
for all characteristics and overall story preferences, providing evidence that tuning the language model on storytelling data and ranking the generated story continuations make complementary contributions to our collaborative storytelling system’s performance.

FIGURE 6. Human evaluation of self-chat stories, comparing (tuned+ranking
, tuned
) and (tuned
, untuned
) pairs of systems. The preferred system is indicated by a larger portion of the bar.
4.4.3 Human Chat Evaluation
In order to gain a better understanding of the influence that human participants can have on collaborative storytelling results, we conduct and additional evaluation in the human chat setting, where the stories evaluated are generated by human participants from the two groups described in Section 4.1 using a Web interface to our collaborative story generation generation system. The example interface for comparing stories is shown in Figure 5. Example stories created by participants and used in evaluation are shown in Figure 7. Results of Acute-eval are given in Figure 8.

FIGURE 7. Examples stories by univ. students and collaborative storytelling systems: ranker30
(left) and untuned
(right).

FIGURE 8. Human evaluation of stories created with human collaborators, comparing our selected ranker ranker30
(here labeled tuned+ranked
) to an untuned
baseline. The preferred system is indicated by a larger portion of the bar.
Our ranking model is shown to be preferred over a baseline on every characteristic by both groups of participants, with statistically-significance differences in most cases9, reinforcing findings from our self-chat evaluation that tuning and ranking a large-scale language model performs better at storytelling than an untuned model, and suggesting that our optimization of the Ranking model further improved performance.
4.5 Elicitation Survey
In this section, we present results from an elicitation survey designed to give insight into adapting our collaborative storytelling system for use in a robot.
As our target robot, we selected the social robot Haru (Gomez et al., 2018; Gomez, 2020), due to its rich, emotive capability. Haru is an experimental tabletop robot for multimodal communication that uses verbal and non-verbal channels for interactions. Haru’s design is centered on its potential to communicate empathy through richness in expressivity (Gomez et al., 2018). Haru has five motion degrees of freedom (namely base rotation, neck leaning, eye stroke, eye rotation and eyes tilt), that allows it to perform expressive motions. Furthermore, each of the eyes includes a 3-inch TFT screen display in which the robot eyes are displayed. Inside the body there is an addressable LED matrix (the mouth). Haru can communicate via text-to-speech (TTS), through animated routines, projected screen, etc. Haru’s range of communicative strategies positions the robot as a potent embodied communication agent that has the ability to support long-term interaction with people.
We conduct the elicitation survey with the university student group of participants described in Section 4.1. The crowdsourcing workers were excluded due to challenges associated with taking lengthy surveys on the MTurk platform.
Survey participants are shown a video simulation of a human playing the collaborative storytelling game with Haru. After completing the video, they answer a series of questions covering topics ranging from potential target demographics to emoting in robot storytelling. The questions and their responses are shown in Figure 9. We summarize our findings below.
On potential target demographics, children
was overwhelmingly the most suggested age group (19 responses), with adults
and elderly
suggested less than half as often.
For potential storytelling modes, collaborative storytelling (“Haru creates a story with you”) was the most suggested storytelling mode for Haru (22 responses); alternatives received a maximum of 11 responses. One participant suggested having Haru teach reading. We also found that participants overwhelmingly prefer making short stories to long stories (21 yes
responses vs. 8 yes
responses respectively), suggesting long storytelling sessions could be tiring for participants.
For storytelling content, positive moods were far more popular than negative: {exiting,funny,happy}
received 52 cumulative votes vs. {sad,scary}
, which received 17 cumulative votes. These results may be reflective of children’s popularity as a suggested target demographic. Genre preferences showed a similar trend: {fantasy,mystery,sci-fi}
(49 cumulative votes) were more popular than horror (eight cumulative votes), though the effect was not as strong with comedy (11 cumulative votes). These results suggest that human players may enjoy having control over mood or genre during collaborative story generation.
In a hypothetical scenario, participants greatly prefer an emotive robot (17 votes) to a disembodied voice (three votes), and want the robot’s voice to reflect the content of the story (22 yes
votes).
Finally, regarding emoting in storytelling, an overwhelming majority of participants think a robot emoting based on story content would contribute positively to the storytelling experience (19 yes
votes), but there is room for Haru’s emoting to improve, as few participants felt Haru’s emotive performance contributed positively (14 yes
votes).
These survey results suggest that collaborative storytelling with Haru is a potentially enjoyable application, but they also reinforce recent findings (Mutlu et al., 2006; Ham et al., 2015; Gomez et al., 2020) that emphasize the importance of convincing emotive delivery in robot storytelling. Thus, we must carefully consider Haru’s emotive delivery during collaborative storytelling for it to be impactful.
4.6 Sentiment Steering
In this section, we investigate the effectiveness of sentence-level sentiment steering for collaborative story generation by comparing our proposed approach (rank_sent
) to the token-level steering approach of GeDi (gedi_token
) (Krause et al., 2020).
4.6.1 Evaluation Settings
For evaluation, we use Salesforce’s publicly-released implementation of GeDi. To enable direct comparison, we use the same story generation model for each approach: the tuned
GPT-2 language model from the self-chat evaluation in Section 4.4.2. However, since gedi_token
requires a token-level sentiment analyzer, we use the GPT-2-based sentence-level sentiment analyzer we created in Section 3.7 for rank_sent
and GeDi’s default token-level sentiment analyzer for gedi_token
.
Since LM steering approaches combine the predictions of a classification model with the LM, choosing an appropriate weight for the classifier is essential to ensure a good balance. Too large of a weight toward the classifier risks degrading generation quality, but too small of a weight risks not influencing generation at all. To evaluate the impact of different weights on each approach, we selected three weights for each that correspond to low, medium, and high settings. The weights were selected by generating and inspecting sample text and are summarized along with the rest of the settings in Table 11. The settings labels for each system will be used throughout the rest of this paper.
Both rank_sent
and gedi_token
apply a weight term ω to the classifier’s predictions. As ω → ∞, the influence of the classifier also grows to infinity. Since rank_sent
combines the classifier’s scores with a ranker’s and doesn’t apply it directly to generation, it is the same as using the classifier to rank candidate sentences. However, since gedi_token
applies the classifier at every token generation step, it is much more sensitive to changes in ω. We explored higher values of ω for gedi_token_high
, however, they resulted in highly-repetitive, low quality text, so we backed off to a lower value.
We conducted Acute-Eval evaluation using the MTurk population from Section 4.1, using the questions in Table 9, including addition questions designed to measure characteristics important to sentiment steering. Repetitiveness measures if the classifier influence results in repetitive text generation. Target sentiment evaluates the success or failure of steering sentiment in story generation. Finally, target domain measures if the classifier influence pulls text generation away from the storytelling domain. All comparisons are done against a tuned
storytelling model baseline that does not use ranking or sentiment steering.
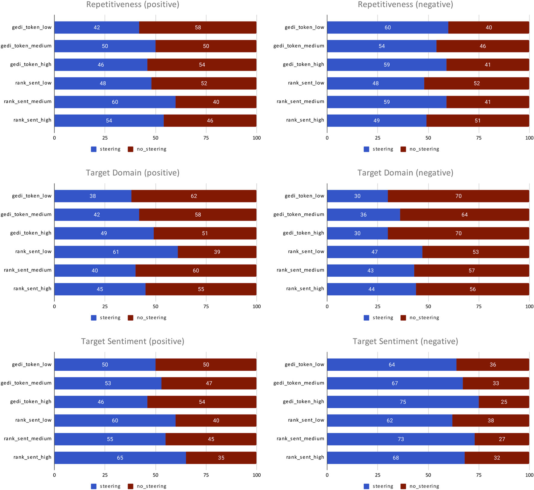
4.6.2 Results
Acute-Eval results are summarized in Figures 10, 11. Looking at engagingness, humanness, interestingness, and story preference characteristics, most settings under-perform baseline, with the exception of rank_sent_low
, which consistently performs better. For repetitiveness, settings with negative sentiment steering exhibited overall higher repetitiveness, indicating that steering models could be fixating on negative terms. rank_sent_pos_medium
and rank_sent_pos_high
also had higher repetitiveness, which is surprising as token-level generation wasn’t directly effected during generation. For target domain, sentiment steering systems scored overall lower, suggesting human evaluators don’t find sentiment steered stories as story-like, with the exception of rank_sent_pos_low
, which outperformed the baseline. For target sentiment, almost all settings achieved high scores indicating successful steering of target sentiment. Overall, these results suggest that sentiment steering can successfully influence the sentiment of story generation without excessive quality degradation or the need for token-level sentiment steering. In particular, rank_sent_low
stands out as achieving best blend of sentiment steering and text generation quality.

FIGURE 10. Acute-Eval Human evaluation of self-chat stories with sentiment steering, comparing various systems against a tuned
baseline without steering. The preferred system is indicated by a larger portion of the bar.

FIGURE 11. Human evaluation of self-chat stories with sentiment steering, comparing various systems against a tuned
baseline without steering. The preferred system is indicated by a larger portion of the bar.
Example stories comparing rank_sent
and gedi_token
at the same sentiment polarity and weight are given in Tables 12–17. All stories are generated from the same starter. To give a sense of the generated stories’ sentiment, the sentiment of tokens are automatically colorized using Stanford CoreNLP10: Very positive, Positive, Very negative, and Negative. Since these tags are automatically generated, they can contain errors and omissions, but they are useful for providing an overall picture. We provide some comments on each story below:
• baseline
: a negative narrative about a spacecraft taking damage, but is a mysterious hero about to spring into action?
• rank_sent_pos_low
: a coherent narrative that ends on positive note–the crew successfully lands spacecraft
• gedi_token_pos_low
: incoherent with foreign language text mixed in; not very positive overall
• rank_sent_pos_medium
: a vaguely positive alien encounters
• gedi_token_pos_medium
: starts coherent and positive narrative about passenger but drifts into unrelated narrative about cathedral and monks
• rank_sent_pos_high
: a positive narrative about captain where nothing happens
• gedi_token_pos_high
: an overall positive narrative, but it ignores space for Middle Earth instead
• rank_sent_neg_low
: shares the first few lines with the baseline, implying strong ranking and negative sentiment classification correlation but progressively grows more negative until the spacecraft falls apart
• gedi_token_neg_low
: a somewhat coherent description of an alien attack on the spacecraft
• rank_sent_neg_medium
: more repetition of baseline opening lines continuing into negative but coherent narrative about extensive damage to the spacecraft
• gedi_token_neg_medium
: a coherent narrative about a mysterious space sickness
• v rank_sent_neg_high:
more repetition of baseline opening lines continuing into extremely negative narrative about a damaged spacecraft and dying crew
• gedi_token_neg_high
: an incoherent but extremely negative narrative
Overall, we find that rank_sent
provides more coherent narratives than gedi_token
but they still capture the target sentiment. gedi_token
can capture more intense sentiments in some cases, but it comes with the trade-off that text generation can drift onto unrelated topics. These findings provide support that rank_sent
provides a balance of steering capabilities and stability that could act as a foundation for steering more fine-grained story mood or story genre.
5 Discussion
In this section, we discuss the advantages and disadvantages of our approach to collaborative storytelling.
5.1 Advantages
The advantages of our approach are that our storytelling system can produce well-formed story contributions that display creativity and react to the contributions made by human storytellers. In Collaborative Storytelling Story one from Table 4, we see an example of that creativity, when our system introduces the plot twist that the man and women not only know each other but have been living together for year. In Story 2 from the same table, we see our system’s ability to play along with a human storyteller when the system accepts its collaborator’s assertion that the squirrel can speak English and starts crafting dialogue for it. Our preliminary evaluation of sentiment steering through sentence ranking also showed that we could successfully steer the sentiment of stories being generated without significantly degrading story generation quality.
5.2 Disadvantages
The disadvantages of our approach are that our storytelling system has a very shallow model of the world, which can lead to incoherent output. This is illustrated by the untuned
collaborative story in Figures 5, 7: the narrative makes jarring shifts in setting and lacks overall cohesion. Such problems in cohesion are often amplified in self-chat settings, as the model lacks human input to reign it in.
In addition, because the storytelling model lacks explicit story structure, it can be hard to steer toward desired output, such as a human-preferred genre or mood, or generation of story endings on demand. We plan to address these issues in future work by adding more structure to the data used to train our models.
Finally, evaluation of this task is challenging: because interaction with human players introduces variance into the output, it is difficult to directly compare generated stories, but at the same time, evaluation limited to self-chat is not fully reflective of our desired task setting. Once our system has been implemented in a suitable agent, we plan to carry out detailed subjective evaluation of the collaborative storytelling experience of volunteers to gain further insights about our task and approach.
6 Conclusion
Storytelling plays a central role in human socializing and entertainment, and research on conducting storytelling with robots is gaining interest. However, much of this research assumes that story content is curated. In this paper, we introduced the task of collaborative storytelling, where an artificial intelligence agent, or a robot, and a person collaborate to create a unique story by taking turns adding to it. We presented a collaborative storytelling system which works with a human storyteller to create a story by generating new utterances based on the story so far. Our collaborative storytelling system consists of a publicly-available large scale language model that was tuned on a dataset of writing prompts and short stories, and a ranker that samples from the language model and chooses the best possible output. We improved storytelling quality by optimizing the ranker’s sample size to strike a balance between quality and computational cost. Since latency can be detrimental to human-robot interaction, we examined the performance-latency trade-offs of our approach and find the optimal ranker sample size that strikes the best balance between quality and computational cost. We evaluated our system by having human participants play the collaborative storytelling game and comparing the stories they create with our system to a naive baseline. Finally, we conducted a detailed elicitation survey that sheds light on issues to consider when adapting our collaborative storytelling system to a social robot. Our evaluation shows that participants have a positive view of collaborative storytelling with a social robot and consider rich, emoting capabilities to be key to an enjoyable experience. Finally, in a first step towards allowing human players to control the genre or mood of stories generated, we presented preliminary work on steering story generation sentiment polarity with a sentiment analysis model. Evaluation shows our proposed method of sentiment steering through sentence ranking provides a balance of steering capabilities and stability that could act as a foundation for steering more fine-grained story mood or story genre.
Data Availability Statement
The original contributions presented in the study are included in the article/Supplementary Material, further inquiries can be directed to the corresponding authors.
Ethics Statement
Ethical review and approval was not required for the study on human participants in accordance with the local legislation and institutional requirements. The patients/participants provided their written informed consent to participate in this study.
Author Contributions
EN is the primary author and formulated the task and approach as well analysis of the findings. LG implemented the Collaborative Story Generationsystem and contributed the idea of using a ranker to improve story generation quality and carried out the MTurk-based evaluation. YV conducted the elicitation survey and contributed to analysis of findings. RG supervised the research and provided invaluable guidance and feedback.
Conflict of Interest
Authors EN and RG were employed by the company Honda Research Institute Japan Co., Ltd. Author LG was employed by the company EleutherAI.
The remaining authors declare that the research was conducted in the absence of any commercial or financial relationships that could be construed as a potential conflict of interest.
Publisher’s Note
All claims expressed in this article are solely those of the authors and do not necessarily represent those of their affiliated organizations, or those of the publisher, the editors and the reviewers. Any product that may be evaluated in this article, or claim that may be made by its manufacturer, is not guaranteed or endorsed by the publisher.
Acknowledgments
The work presented here includes content that was previously presented at the 13th Annual ACM SIGGRAPH Conference on Motion, Interaction and Games (Nichols et al., 2020) and work that is to appear at the 2021 IEEE/RSJ International Conference on Intelligent Robots and Systems (Nichols et al., 2021) and is reproduced here with permission.
Footnotes
1https://en.wikipedia.org/wiki/Choose_Your_Own_Adventure
2Stories were edited for brevity.
3https://github.com/openai/gpt-2
4https://www.reddit.com/r/WritingPrompts/
5We removed smart quotes, links and user/subreddit mentions, and all HTML entities and markdown formatting.
7The workers reached unanimous agreement 41.9% of the time on the test data.
8We exclude the Wizard of Wikipedia metric because knowledgeability is not directly relevant to our collaborative storytelling setting.
9We test for significance using a two-sided binomial test with null hypothesis μ0 = 0.5. The Interestingness, Humanness, and Story Preference metrics achieve significance at the p < 0.005 level on the MTurk evaluation. The Humanness and Story Preference metrics achieve significance at the p < 0.05 level on the university evaluation.
10https://stanfordnlp.github.io/CoreNLP/.
References
Barbieri, F., Camacho-Collados, J., Espinosa-Anke, L., and Neves, L. (2020). “TweetEval: Unified Benchmark and Comparative Evaluation for Tweet Classification,” in Findings of the Association for Computational Linguistics: EMNLP 2020 (Online: Association for Computational Linguistics), 1644–1650. doi:10.18653/v1/2020.findings-emnlp.148
Bengio, Y., Ducharme, R., Vincent, P., and Jauvin, C. (2003). A Neural Probabilistic Language Model. J. machine Learn. Res. 3, 1137–1155. doi:10.1162/153244303322533223
Chen, G.-D., Nurkhamid, C.-Y., and Wang, C.-Y. (2011). A Survey on Storytelling with Robots. In International Conference on Technologies for E-Learning and Digital Entertainment. Editors S. R. Zakrzewski, and W. White (Berlin, Heidelberg: Springer), 450–456. doi:10.1007/978-3-642-23456-9_81
Cho, H., and May, J. (2020). Grounding Conversations with Improvised Dialogues. arXiv [Preprint]. Available at: https://arxiv.org/abs/2004.09544 (Accessed May 19, 2020). doi:10.18653/v1/2020.acl-main.218
Costa, S., Brunete, A., Bae, B.-C., and Mavridis, N. (2018). Emotional Storytelling Using Virtual and Robotic Agents. Int. J. Hum. Robot. 15, 1850006. doi:10.1142/s0219843618500068
Dathathri, S., Madotto, A., Lan, J., Hung, J., Frank, E., Molino, P., et al. (2020). Plug and Play Language Models: A Simple Approach to Controlled Text Generation. arXiv [Preprint]. Available at: https://arxiv.org/abs/1912.02164 (Accessed March 3, 2020).
Devlin, J., Chang, M.-W., Lee, K., and Toutanova, K. (2018). Bert: Pre-training of Deep Bidirectional Transformers for Language Understanding. arXiv [Preprint]. Available at: https://arxiv.org/abs/1810.04805 (Accessed May 24, 2020).
Fan, A., Lewis, M., and Dauphin, Y. (2018). “Hierarchical Neural story Generation,” in Proceedings of the 56th Annual Meeting of the Association for Computational Linguistics (Volume 1: Long Papers) (Melbourne, Australia: Association for Computational Linguistics), 889–898. doi:10.18653/v1/P18-1082
Gelin, R., d’Alessandro, C., Le, Q. A., Deroo, O., Doukhan, D., Martin, J.-C., et al. (2010). Towards a Storytelling Humanoid Robot. In 2010 AAAI Fall Symposium Series. Available at: https://www.aaai.org/ocs/index.php/FSS/FSS10/paper/view/2169 (Accessed September 7, 2021).
Ghandeharioun, A., Shen, J. H., Jaques, N., Ferguson, C., Jones, N., Lapedriza, A., et al. (2019). “Approximating Interactive Human Evaluation with Self-Play for Open-Domain Dialog Systems,” in Advances in Neural Information Processing Systems. Editors H. Wallach, H. Larochelle, A. Beygelzimer, F. d’Alché-Buc, E. Fox, and R. Garnett (Curran Associates, Inc.), Vol. 32, 13658–13669.
Gomez, R. (2020). Meet Haru, the Unassuming Big-Eyed Robot Helping Researchers Study Social Robotics. IEEE Spectr.
Gomez, R., Nakamura, K., Szapiro, D., and Merino, L. (2020). A Holistic Approach in Designing Tabletop Robot’s Expressivity. In Proceedings of the International Conference on Robotics and Automation. 1970–1976. doi:10.1109/icra40945.2020.9197016
Gomez, R., Szapiro, D., Galindo, K., and Nakamura, K. (2018). Haru: Hardware Design of an Experimental Tabletop Robot Assistant. In Proceedings of the 2018 ACM/IEEE international conference on human-robot interaction. 233–240.
Guan, J., Wang, Y., and Huang, M. (2019). Story Ending Generation with Incremental Encoding and Commonsense Knowledge. Aaai 33, 6473–6480. doi:10.1609/aaai.v33i01.33016473
Gupta, P., Bannihatti Kumar, V., Bhutani, M., and Black, A. W. (2019). WriterForcing: Generating More Interesting story Endings. In Proceedings of the Second Workshop on Storytelling. Florence, Italy: Association for Computational Linguistics, 117–126. doi:10.18653/v1/W19-3413
Ham, J., Cuijpers, R. H., and Cabibihan, J.-J. (2015). Combining Robotic Persuasive Strategies: The Persuasive Power of a Storytelling Robot that Uses Gazing and Gestures. Int. J. Soc. Robotics 7, 479–487. doi:10.1007/s12369-015-0280-4
Holtzman, A., Buys, J., Du, L., Forbes, M., and Choi, Y. (2019). The Curious Case of Neural Text Degeneration. arXiv [Preprint]. Available at: https://arxiv.org/abs/1904.09751 (Accessed February 14, 2020).
Keskar, N. S., McCann, B., Varshney, L. R., Xiong, C., and Socher, R. (2019). Ctrl: A Conditional Transformer Language Model for Controllable Generation. arXiv [Preprint]. Available at: https://arxiv.org/abs/1909.05858 (Accessed September 20, 2019).
Kingma, D. P., and Ba, J. (2014). Adam: A Method for Stochastic Optimization. arXiv [Preprint]. Available at: https://arxiv.org/abs/1412.6980 (Accessed June 30, 2017).
Krause, B., Gotmare, A. D., McCann, B., Keskar, N. S., Joty, S., Socher, R., et al. (2020). Gedi: Generative Discriminator Guided Sequence Generation. arXiv [Preprint]. Available at: https://arxiv.org/abs/2009.06367 (Accessed October 22, 2020).
Li, M., Weston, J., and Roller, S. (2019). ACUTE-EVAL: Improved Dialogue Evaluation with Optimized Questions and Multi-Turn Comparisons. CoRR. Available at: https://arxiv.org/abs/1909.03087.
Ligthart, M. E. U., Neerincx, M. A., and Hindriks, K. V. (2020). Design Patterns for an Interactive Storytelling Robot to Support Children's Engagement and Agency. In Proceedings of the 2020 ACM/IEEE International Conference on Human-Robot Interaction. New York, NY: Association for Computing Machinery), HRI ’20, 409–418. doi:10.1145/3319502.3374826
Luo, F., Dai, D., Yang, P., Liu, T., Chang, B., Sui, Z., et al. (2019). Learning to Control the fine-grained Sentiment for Story Ending Generation. In Proceedings of the 57th Annual Meeting of the Association for Computational Linguistics, Florence, Italy, July 2019, 6020–6026. doi:10.18653/v1/p19-1603
Manheim, D., and Garrabrant, S. (2018). Categorizing Variants of Goodhart’s Law. arXiv [Preprint]. Available at: https://arxiv.org/abs/1803.04585 (Accessed February 24, 2019).
Mikolov, T., Kombrink, S., Burget, L., Černockỳ, J., and Khudanpur, S. (2011). Extensions of Recurrent Neural Network Language Model. In 2011 IEEE international conference on acoustics, speech and signal processing (ICASSP). IEEE, 5528–5531. doi:10.1109/icassp.2011.5947611
Mutlu, B., Forlizzi, J., and Hodgins, J. (2006).A Storytelling Robot: Modeling and Evaluation of Human-like Gaze Behavior. In 2006 6th IEEE-RAS International Conference on Humanoid Robots. IEEE, 518–523. doi:10.1109/ichr.2006.321322
Ney, H., Essen, U., and Kneser, R. (1994). On Structuring Probabilistic Dependences in Stochastic Language Modelling. Comp. Speech Lang. 8, 1–38. doi:10.1006/csla.1994.1001
Nichols, E., Gao, L., and Gomez, R. (2020).Collaborative Storytelling with Large-Scale Neural Language Models. In Motion, Interaction and Games. New York, NY: Association for Computing Machinery. doi:10.1145/3424636.3426903
Nichols, E., Gao, L., Vasylkiv, Y., and Gomez, R. (2021). Collaborative Storytelling with Social Robots. In Proceedings of 2021 IEEE/RSJ International Conference on Intelligent Robots and Systems (to appear).
Park, H. W., Grover, I., Spaulding, S., Gomez, L., and Breazeal, C. (2019). A Model-free Affective Reinforcement Learning Approach to Personalization of an Autonomous Social Robot Companion for Early Literacy Education. Aaai 33, 687–694. doi:10.1609/aaai.v33i01.3301687
Radford, A., Wu, J., Child, R., Luan, D., Amodei, D., and Sutskever, I. (2019). Language Models Are Unsupervised Multitask Learners. OpenAI Blog.
Rosenthal, S., Farra, N., and Nakov, P. (2017). Semeval-2017 Task 4: Sentiment Analysis in Twitter. In Proceedings of the 11th international workshop on semantic evaluation (SemEval-2017), Vancouver, August 2017, 502–518. doi:10.18653/v1/s17-2088
See, A., Pappu, A., Saxena, R., Yerukola, A., and Manning, C. D. (2019). Do massively Pretrained Language Models Make Better Storytellers? In Proceedings of the 23rd Conference on Computational Natural Language Learning (CoNLL), Hong Kong, China, November 2019, 843–861.
Shazeer, N., and Stern, M. (2018). “Adafactor: Adaptive Learning Rates with Sublinear Memory Cost,” in Proceedings of the 35th International Conference on Machine Learning. Editors J. Dy, and A. Krause (PMLR), Vol. 80, 4596–4604.
Sun, M., Leite, I., Lehman, J. F., and Li, B. (2017). Collaborative Storytelling between Robot and Child. In Proceedings of the 2017 Conference on Interaction Design and Children. New York, NY: Association for Computing Machinery, 205–214. doi:10.1145/3078072.3079714
Sutskever, I., Martens, J., and Hinton, G. E. (2011). “Generating Text with Recurrent Neural Networks,” in Proceedings of the 28th International Conference on Machine Learning (ICML-11). Editors L. Getoor, and T. Scheffer (New York, NY: ACM), 1017–1024.
Taylor, J. (2016). Quantilizers: A Safer Alternative to Maximizers for Limited Optimization. In Proceedings of Workshops at the Thirtieth AAAI Conference on Artificial Intelligence: AI, Ethics, and Society.
Tillmann, C., and Ney, H. (2003). Word Reordering and a Dynamic Programming Beam Search Algorithm for Statistical Machine Translation. Comput. linguistics 29, 97–133. doi:10.1162/089120103321337458
Vaswani, A., Shazeer, N., Parmar, N., Uszkoreit, J., Jones, L., Gomez, A. N., et al. (2017). Attention Is All You Need. In Advances in neural information processing systems. 5998–6008.
Wang, A., and Cho, K. (2019). Bert Has a Mouth, and it Must Speak: Bert as a Markov Random Field Language Model. arXiv [Preprint]. Available at: https://arxiv.org/abs/1902.04094 (Accessed April 9, 2019).
Wong, C. J., Tay, Y. L., Wang, R., and Wu, Y. (2016). Human-robot Partnership: A Study on Collaborative Storytelling. In 2016 11th ACM/IEEE International Conference on Human-Robot Interaction (HRI), New York, 535–536. doi:10.1109/HRI.2016.7451843
Wu, Y., Wang, R., Tay, Y. L., and Wong, C. J. (2017). Investigation on the Roles of Human and Robot in Collaborative Storytelling. In 2017 Asia-Pacific Signal and Information Processing Association Annual Summit and Conference (APSIPA ASC). 063–068. doi:10.1109/apsipa.2017.8282003
Yao, L., Peng, N., Weischedel, R., Knight, K., Zhao, D., and Yan, R. (2019). Plan-and-write: Towards Better Automatic Storytelling. Aaai 33, 7378–7385. doi:10.1609/aaai.v33i01.33017378
Zhang, Y., Sun, S., Galley, M., Chen, Y.-C., Brockett, C., Gao, X., et al. (2019). Dialogpt: Large-Scale Generative Pre-training for Conversational Response Generation. arXiv [Preprint]. Available at: https://arxiv.org/abs/1911.00536 (Accessed May 2, 2020).
Zhao, Y., Liu, L., Liu, C., Yang, R., and Yu, D. (2018).From Plots to Endings: A Reinforced Pointer Generator for Story Ending Generation. In CCF International Conference on Natural Language Processing and Chinese Computing. Springer, 51–63. doi:10.1007/978-3-319-99495-6_5
Keywords: storytelling, interactivity, language models, AI agents, social robotics
Citation: Nichols E, Gao L, Vasylkiv Y and Gomez R (2021) Design and Analysis of a Collaborative Story Generation Game for Social Robots. Front. Comput. Sci. 3:674333. doi: 10.3389/fcomp.2021.674333
Received: 01 March 2021; Accepted: 22 July 2021;
Published: 25 October 2021.
Edited by:
Giovanni Luca Christian Masala, Manchester Metropolitan University, United KingdomReviewed by:
Yan Wu, Institute for Infocomm Research (A ∗ STAR), SingaporeUmberto Maniscalco, Institute for High Performance Computing and Networking (ICAR), Italy
Copyright © 2021 Nichols, Gao, Vasylkiv and Gomez. This is an open-access article distributed under the terms of the Creative Commons Attribution License (CC BY). The use, distribution or reproduction in other forums is permitted, provided the original author(s) and the copyright owner(s) are credited and that the original publication in this journal is cited, in accordance with accepted academic practice. No use, distribution or reproduction is permitted which does not comply with these terms.
*Correspondence: Eric Nichols, ZS5uaWNob2xzQGpwLmhvbmRhLXJpLmNvbQ==