- School of Biosciences, College of Health and Life Sciences, Aston University, Birmingham, United Kingdom
Undergraduate Biomedical Science dissertations are the culmination of a student’s academic journey and allow students to refine technical proficiencies, experimental design and data analysis. However, traditional dissertation projects may not fully meet the requirements of diverse student populations and employer’s needs. This research project aims to assess the effectiveness of modifying the assessment format for final-year projects, incorporating elements such as lay summaries, project proposals, scientific research papers, and oral poster defences. The objective was to cultivate higher-order critical thinking skills and enhance written and verbal communication competencies, in addition to developing a suite of transferable skills which are highly sought by employers. Quantitative data were primarily generated via end-of-module feedback reports and the module satisfaction survey. Students rated their confidence in a suite of transferable skills pre and post-completion of the project module using a four-point Likert scale. Staff perceptions (n = 30) and module board reports were also evaluated. For all data, a paired t-test for related groups was conducted. Thematic analysis was used to analyse qualitative data using the Braun and Clark Framework. The end-of-module feedback was overwhelmingly positive with all students agreeing that they were satisfied with the module. Students reported a statistically significant increase in confidence within 11 transferable skills which are considered core within the industry, for example, critical thinking, problem-solving and time management. Furthermore, the mean module mark increased following the module redesign from 66.3% ± 0.2% in 2019 to 70.9% ± 0.6% in 2020 (p ≤ 0.05). Staff provided free text comments, reporting an overall improvement in the module, a reduction in workload and a better teaching experience. Students exhibited appreciation of the new module structure, assessment suit and creative liberty within the projects. The redesigned project module enhanced the teaching experience for staff, whilst students appreciated the diverse range of projects and assessments that featured shorter word limits and a creative flair. Universities must reinvent undergraduate dissertations to equip students with essential employability skills.
1 Introduction
At the core of Biosciences undergraduate programmes are final-year research projects that serve as a culminating experience for students, providing an opportunity for the application and refinement of practical research skills. These skills include technical proficiencies, experimental design, data acquisition, analysis, and problem-solving abilities (Healey et al., 2013). The completion of such projects enables students to hone their research acumen and to effectively navigate the complexities of the research process, whilst also promoting the development of technical proficiency or systematic review skills (Demaria et al., 2018). Ultimately, final-year dissertation projects represent a vital component of Biomedical Science undergraduate education, particularly due to their high credit-bearing and therefore the potential impact on final degree classification. A quintessential module for dissertations offers a valuable learning experience for undergraduate students who aspire to pursue research degrees. Over time, there has been a shift in education from valuing learning for its own sake to emphasising practical skills aligned with job market demands (Rana et al., 2022). Under such circumstances, higher education institutes need to be flexible in their delivery of education and students need to learn a wide range of skills through their degrees.
With increasing student numbers, who have diverse reasons for attending university, and the growth of medical professional disciplines such as biomedical science, physicians associate, nursing and midwifery traditional dissertations do not necessarily provide for all students’ and employers’ requirements. Bashir et al., identified a discrepancy in the supply and demand of transferable skills and such skills are highly valued by prospective employers. As an example, the authors highlight students enrolled on Biomedical Science and Biological Science programmes exhibited a distinct lack of confidence in using statistical analysis software (Bashir et al., 2017).
More recently, Millar et al., emphasised the importance of developing scientific communication skills and digital skills to articulate research findings amongst final-year Biomedical Science project students, intending to foster key transferable skills required by employers (Millar et al., 2023). The final-year Biomedical Science project functions as a vehicle to deliver many of the requirements of the regulatory and accreditation body. Namely the Health Care Professions Council (HCPC) and the Institute of Biomedical Science (IBMS). Biomedical Science programmes must demonstrate evidence of a range of transferable skills including, reporting, interpreting, presenting data, using statistical packages and demonstrating a logical and systemic approach to problem-solving. Moreover, the Quality Assurance Agency (QAA) for Higher Education states assessments should be authentic, with real-world applications to enhance employability skills and professional development (Ryan, 2015).
The QAA has established guidelines for Biomedical Sciences and emphasised the importance of cultivating essential transferable skills, with assessments incorporating a range of professional scientific communication, for example, posters and reports. Furthermore, recent additions to QAA benchmark statement highlight the necessity to incorporate equality, diversity, inclusion and sustainability into the undergraduate curriculum. Historically, opportunities within Bioscience degrees to undertake final-year projects encompassing these areas were lacking. However, by inculcating the development of innovative practice into undergraduate projects, higher education institutes (HEIs) can meet regulatory requirements and also develop resilience, facilitating a smooth transition into online learning and capstone projects (Ruwanpura and Brown, 2006). HEIs should work diligently to devise effective assessment strategies to facilitate the academic growth of students in all disciplines, and from all backgrounds, to have the opportunity to fulfil their potential through undertaking final-year projects more closely aligned with their student’s needs and aspirations (Stefani et al., 1997). This study presents a modification to the undergraduate project design and assessment format, which results in the development of student self-perceived critical thinking skills, and effective written and verbal communication competencies, which are highly sought after by employers.
This research project aimed to evaluate the effectiveness of implementing a change in the final year dissertation project assessments to enhance transferable skills in undergraduate students and to measure the change in self-perceived confidence within transferable skills, as well as collate feedback from students and staff. Specific objectives of this work included: incorporating a lay summary and project proposal, a move to submission of a scientific research paper assessment instead of a traditional thesis and an oral poster defence.
2 Methods
2.1 Study overview
The final year Bioscience dissertation module at Aston University is undertaken approximately by 180 students each academic year, encompassing the Biomedical Science, Biological Science and Biochemistry degree programmes. The Biomedical Science course is accredited by the IBMS and approved by the HCPC. All three programmes are accredited by the Royal Society of Biology. The Biosciences final year is made up of 120 credits and all Biosciences students undertake the project module. This module is currently transitioning from the older format where the project comprised 30 credits, to the new format where it accounts for 45 credits. Irrespective, the structure of the dissertation module remains the same for both formats. Human ethical approval was sought and approved by the Aston Health and Life Sciences Ethics Committee (ETMEd19001).
2.2 Module redesign
The project module was redesigned to consist of 4 assessed components and a smaller credit-bearing module called project preparation (Figure 1). The project preparation module includes a health and safety component and requires all students to undertake a laboratory competency assessment and prepare a short video discussing the ethical considerations of undertaking scientific research. Following this, students are required to complete a research proposal on their chosen topic, providing a literature review of their research, their methodological approach and the potential impact of their research. Upon completing the research phase, students submit a 2,650-word research paper. To provide an opportunity to communicate their research findings, students present a poster and an oral defence of their project. Finally, all students submit a lab book providing details of their activity over the course of the project period. The research paper and poster assessment are double-marked.

Figure 1. An illustrative overview of the project module assessments and the associated key transferable skills developed at each stage. The project module is a 40-credit module, 15 credits are allocated to project preparation this consists of a Lab competency assessment and a health and safety quiz (Pass/Fail), an Ethics video (11.25% of the subject mark) and the Research proposal (26.25%). The remaining 25 credits consist of a Research paper (37.5%), a Poster presentation (18.75%) and a Lab book, which contributes to the project supervisor’s mark (6.25%).
The final-year research projects available are advertised to students at the beginning of the academic term. Academics from a particular discipline form a team and then deliver a flash presentation advertising their project, for example, academics who teach immunology combine their research ideas into a series of projects. Students who are interested in immunology can then choose a selection of immunology projects. Consequently, student research groups will benefit from supervision from a team of academics who specialise in immunology. Once all students are assigned to a project, support sessions are delivered to students by teaching members of the university library. These members of staff specialise in delivering sessions on how to find research papers and teach students how to correctly reference research papers, in the Harvard format. Students also undertake a health and safety course to educate them on the important safety elements that must be considered when undertaking the project. A series of sessions are provided relating to data analysis, such as how to conduct a meta-analysis and how to statistically analyse both quantitative and qualitative data. Students also receive a session detailing how to prepare a scientific poster and considerations for an oral defence of the work. Finally, students are provided with a session introducing how to approach writing a scientific research paper (Figure 2).

Figure 2. A diagrammatic overview of the project support sessions. The students are introduced to the variety of projects available during the flash team presentation, once the students have selected their project they are supported with literature searching and referencing workshops, followed by a health and safety course. As the project module progresses, students are expected to attend the meta-analysis and statistical analysis workshop, as well as the poster presentation workshop. Finally, students are given a workshop on how to write a research paper. The structure of the programme supports students throughout the academic year, helping them prepare for the module assignments.
2.3 Mid and end of module survey
The central university quality assurance team emails students a mid and end-of-module feedback survey, which is automatically generated, and a reminder is sent out after 2 weeks. This survey consists of a series of questions asking the students to evaluate their experience during the project module. Questions consist of statements with Likert responses and free text options, allowing students to expand upon their views.
The questions are broadly divided into sub-categories, including, students’ views about the module, students’ views on the guidance from the module leader and what did the students like best about the module. Quantitative data was derived from a combination of mid-module feedback and end-of-module reports.
2.4 Project module evaluation survey
A separate survey was created following completion of the project module and end-of-year summer examinations. The survey was constructed using the Online Survey tool and sent to 179 final-year students, who completed the project module in the academic year 2021–2022. The survey required respondents to assess their perceived confidence in a series of transferable skills pre-and post-completion of the project module. A 4-point Likert Scale was used to quantitatively evaluate students’ confidence in scientific communication, data analysis, and soft skills.
A staff questionnaire was also created using SurveyMonkey and gave project supervisors (n = 30) the opportunity to reflect on the developments and interventions made in the project module and how satisfied they were with supervising students in accordance with module requirements. Data presented herein are representative of student surveys, staff surveys and students’ academic performance in the project module across 2021–2022.
2.5 Statistical analyses
Quantitative data gathered from the project module evaluation survey was reported as mean ± standard deviation. Likert Scale responses were converted to a numeric format (4 = Strongly Disagree, 3 = Disagree, 2 = Agree, 1 = Strongly Agree), prior to statistical analyses using non-parametric methods. IBM-SPSS Statistics version 26 was used to perform a one-way analysis of variance to test that there is no difference in overall confidence between skills. Statistical significance was set at p ≤ 0.05. Free text comments were analysed via thematic analysis using the Braun and Clark Framework to identify significant themes amongst the qualitative data (Braun and Clarke, 2006). Emerging themes were coded and finalised. To determine a statistical difference in the mean module mark, following the introduction of the new assessment suits, a one-way ANOVA with a multiple comparisons test and Tukey’s correction was performed on data sets derived from the academic years 2017 to 2022.
3 Results
3.1 End of module feedback scores
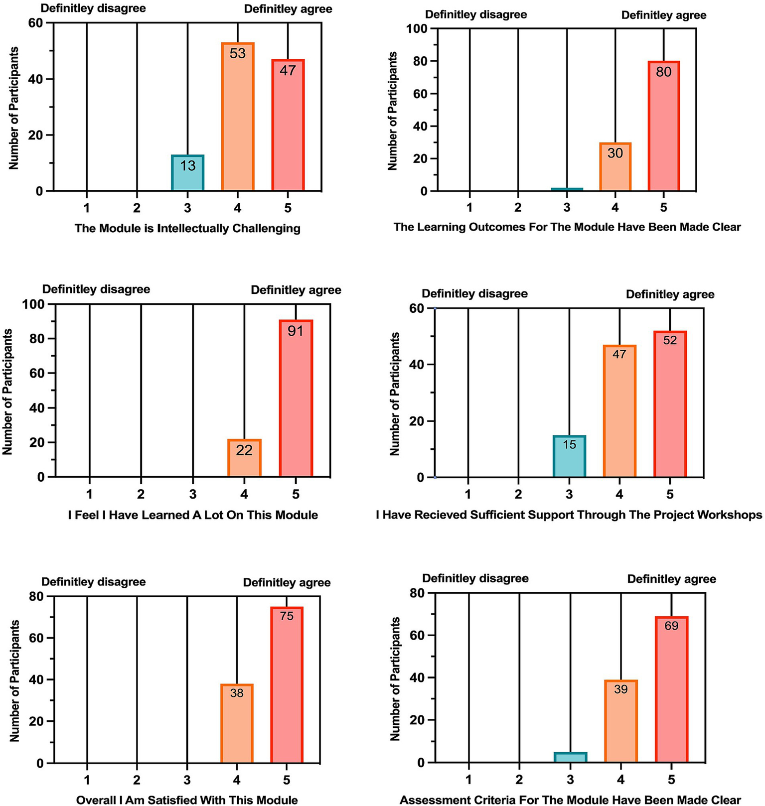
Data collated from the academic year 2021–2022, 113 final-year students enrolled on Biological Sciences, Biomedical Science and Biochemistry undergraduate degrees responded to the end-of-module feedback survey, out of 179 total students. The survey included a series of questions on the overall quality of the modified project module (Figure 3). 88.4% of respondents agreed that the module is intellectually challenging, with 41% of respondents strongly agreeing. 97% of respondents agreed the learning outcomes for the module have been made clear to them, with 70% strongly agreeing with the statement. 80% of respondents strongly agreed they had learnt a lot in this module. Students were also asked to comment on the support received during the project workshops, as the addition of workshops specific to statistical analysis, scientific writing, conducting systematic reviews and poster design, to mention a few, were introduced into the module. 87% of survey respondents agreed that the workshops facilitated their learning. The reinvention of the assessment criteria has been a major change in the project module. Students were asked if the assessment criteria for the module were made clear, and 96% of respondents agreed to this statement, specifically 61% strongly agreeing with this statement. Finally, 34% of respondents agreed and 66% strongly agreed with the statement, ‘Overall I am satisfied with the module’.

Figure 3. End of module feedback for the final year project module. Data were collated from end-of-module feedback reports, asking students to express whether they definitely disagreed (1), disagreed (2), neither disagreed nor agreed (3), agreed (4) or definitely agreed (5) with a series of statements assessing the quality of the final year project module. Data presented as the number of participants (n = 113) out of 179 total students. Data is representative of the academic year 2021–2022.
3.2 Student perceptions of the development of scientific skills before and after completing the project module
An independent survey was sent out to students following the completion of the project module concluding in the year 2022, in a bid to capture their perceived confidence in a variety of scientific and transferable skills. These skills were introduced to the module, via the injection of novel assessments, support workshops and practical opportunities. 32 students responded out of a total of 179 students with 15 students undertaking wet projects (practical projects completed in the laboratory) and 17 students undertaking dry projects (systematic reviews, data analysis or pedagogy projects). Respondents were asked to rank their confidence from 4 to 1 (not very confident to very confident) in a series of skills relative to how confident they felt in that skill before and after completing the final year project module. The proficiencies included a variety of skills, which can broadly be categorised into three subtypes, scientific communication, data analysis, and soft skills. Regarding self-efficacy, students exhibited a significant increase in confidence, in all skill sets following the completion of the project module (Table 1). Most notably, students felt a varying extent of feeling not very confident in each skill prior to undertaking the project module, a feeling which was abrogated following the completion of the module. Significant increases in confidence were observed for skills associated with scientific communication. The mean score before completing the module was 3.41 ± 0.6, students were not confident or somewhat confident in undertaking a scientific literature search. After completing the module this was significantly higher as the mean score increased to 1.66 ± 0.55, with students feeling confident or very confident. The average score before module completion stood at 3.63 ± 0.59, with students expressing low or moderate confidence in their perceived ability to prepare a scientific research paper. Following module completion, there was a significant improvement, with the mean score rising to 1.69 ± 0.47. Students exhibited a marked increase in self-perceived confidence, in their ability to produce a scientific poster. The mean score before completing the module was 3 ± 0.63 and following the completion of the module was 1.5 ± 0.48.

Table 1. Descriptive analysis of student confidence levels before and after completing the project module in research skills.
Finally, the majority of students declared feeling either not very confident or somewhat confident in communicating scientific research prior to completing the project module, which equated to a score of 3.3 ± 0.66, in comparison to a score of 1.7 ± 0.48 after completing the module. Similar trends in being not very confident or somewhat confident before engaging with the module are observable in relation to, data interpretation and reasoning, critical thinking and analysis, as well as the ability to draw interpretations, with scores of 2.9 ± 0.68, 2.9 ± 0.61 and 2.9 ± 0.61, respectively. Contrastingly, upon completing the module students declared a marked increase in being confident or very confident in the previously mentioned skills, with scores of 1.8 ± 0.51, 1.7 ± 0.59 and 1.6 ± 0.46, respectively. Finally, there was a marked increase in confidence in the development of soft skills. A large proportion of students felt not very confident/somewhat confident at problem-solving, with a mean score of 2.6 ± 0.62, in comparison to post-module completion, when the mean score increased to 1.7 ± 0.49. In contrast, students felt not very confident/somewhat confident in time management and organisation before engaging with the module, mean scores of 2.2 ± 0.58 and 2.1 ± 0.74, respectively. After completing the module, all students reported being either confident or very confident, with mean scores of 1.5 ± 0.49 and 1.6 ± 0.61.
3.3 Students identified critical skills with long-term benefits developed during the project module and module reports indicate an increase in mean module marks following module re-design
Within the questionnaire, students were asked to mention skills they believe they have developed, which would be useful throughout their careers and offer long-term benefits. Students outlined a variety of skills (Figure 4) which have been developed directly because of engaging with the project module. The data herein identifies not only has the module re-design allowed students to develop critical skills which will be applicable throughout their careers, but there has also been an increase in the mean module mark. Figure 5 presents the mean module mark over 5 years. The module was re-designed at the end of the academic year 2018–2019 and subsequently, during the academic years 2019–2020, 2020–2021, and 2021–2022, the mean module mark increased to 71.8% ± 2%, 71% ± 0.8%, and 70.9% ± 0.6%, respectively. Barring the first iteration of the module re-design (2019–2020) where the mean module mark did not increase statistically significantly (p = 0.09), the following years, 2020–2021 and 2021–2022 had a statistically significant increase in comparison to the academic 2018–2019 when the re-design was introduced, p = 0.04 and p = 0.03, respectively. All other associations were not significant.

Figure 4. Long-term transferable skills developed during the project module offer benefits to students’ post-graduation.

Figure 5. Mean module mark for the final year project module. Data presented herein highlight the mean module mark ± SD of the final year project module from the academic year beginning 2017 up until 2022. Academic years 2017–2019 saw the previous iteration of the project module and the re-design was first introduced in the academic year 2019 and was continuously delivered up to the academic year ending 2022. In comparison to the academic year ending in 2019, the mean module mark has significantly increased following the re-design of the module. A one-way ANOVA, with multiple comparisons and Tukey’s post hoc test was used to compare all possible pairs and determine the statistically significant increase in the mean module mark observed in academic years 2020 to 2022, p = 0.04 and p = 0.03. 2021–2022 cohort size 179, 2020–2021 cohort size 170, 2019–2020 cohort size 168, 2018–2019 cohort size 165 and 2017–2018. *symbol denotes a statistically significant difference (p ≤ 0.05) in the mean module mark in comparison to the academic year ending in the year 2019. This was observed in the academic year 2020–21 and 2021-22.
3.4 Student feedback
3.4.1 Structure
Students praised the structure of the module and appreciated how over the course of the academic year the module provides, sufficient support at focal points, includes sessions which help with, laboratory competency, analyses data and conducts a systematic review/meta-analysis. Moreover, students reported that the module provides a logical and manageable spread to assessments/deadlines and overall liberty for students to undertake their research in a manner which closely aligns with their interests.
‘The structure of the module is well thought out in terms of introducing the project module, the flash presentations which provide insight into the variety of projects on offer and the options and then choosing them’.
‘It was my best and most interesting module in my whole 3 years, because the subject was new and challenging, yet was very well laid out. Which meant it was easy to follow’.
‘I had no idea what a systematic review was, what a PRISMA flow diagram or a forest plot was. However, the project module workshops guided us all through the process and I was able to not only complete a detailed systematic review, but I developed a great understanding of statistics’.
3.4.2 Assessment design
Students were appreciative of the assessment overhaul which has taken place, replacing a conventional thesis (7,500 words) with a much shorter final submission in the form of a research paper (2,650 words). In general, the theme of the module has transitioned to provide the students a scientific experience, whilst focusing on the development of transferable skills which would be useful to students wishing to undertake work, in settings other than a research laboratory. The module comprises a research proposal, a scientific paper and a poster submission, a considerably simplified and more articulated approach in comparison to previous academic years. Furthermore, students acknowledged the benefit of final year project resources, i.e., the project handbook, and the integration of Learning Science laboratory simulation software to aid in the understanding of practical concepts.
‘I really liked that the research proposal that we had to fill in……it was easy to know what info to include because of this. Every assessment was explained really clearly - felt I knew exactly what needed to be achieved. The assessment guidance was very informative and useful, particularly the project handbook’.
‘The module gave the experience of writing an actual scientific research paper which I personally find really helpful. Wide variety of choices of projects and it was nice being able to choose what your interested in’.
‘I feel that I can use this knowledge and skills developed to apply for the role of a Biomedical Scientist in the NHS, this has been my goal and I feel more confident after completing my project’.
Students attributed the change in assessments to a reduction in stress and anxiety and an overall increase in academic performance. Whilst enhancing an increased sense of scientific research.
‘The new assessment structure to the projects was brilliant. Not having to write a full thesis removed lots of pressure and I felt I have coped well and performed better in this module as a result of that’.
‘(The Module) Tests your researching skills, organisational skills, and planning skills and gives you a clear idea of a researching mindset’.
3.4.3 Creative liberty
The novel interventions employed within this module have allowed for the module to provide academics with varying elements of free-will in designing a final-year project and students to then mould their project to align with the student’s interests, whilst offering close supervision for all undergraduates.
‘I really enjoyed the freedom that comes with this module and the way that the projects become whatever you want them to be. I also really enjoyed working closely with a member of staff and having somebody to personally support me from start to finish’.
‘At no point have I felt confused or not sure about what I need to get done every week. The structure of the module is very helpful in setting deadlines which helps in organising my time. I like the balance of guidance and creative freedom in doing this project as I can align the project to make myself a more attractive candidate to jobs, I’m more interested in’.
‘I was expecting little variety of projects, during the project flash presentations. However, I was amazed by the various types of projects on display, from co-creation to scientific writing to looking at sustainability. The module allows us to be creative with our project and is not prescriptive at all’.
3.5 Staff survey results
A variety of Bioscience staff members provided feedback on their satisfaction (Figure 6) and general comments regarding the final year project module, following the completion of the academic year 2021–2022. Overall, 73% of staff were very satisfied with the evolution of the module, with the remaining 27% stating they were satisfied, consequently leading to an enhanced staff and student experience. Staff noted prior iterations of the module were laden with exhaustive word counts, which were proving to be a contributing factor to increased anxiety amongst the student population, but also a substantial marking burden for academic staff. The eradication of such issues was noted by external examiners and provided a framework to inculcate the module into a new degree, research master and distance learning programme.

Figure 6. Staff satisfaction following the completion of the project module. A total of 30 staff members were asked to report their satisfaction with the module. To which 22 replied ‘very satisfied’ and 8 replied ‘satisfied’. No members of staff reported that they were dissatisfied with the module. This survey was conducted at the end of the academic year 2021–2022.
3.5.1 Senior lecturer in biochemistry
‘In place of an extensive project ‘thesis’, this assessment is arguably more authentic, as learning to communicate their findings in a concise manner is more reflective of how scientific results are presented in journals. The more concise paper assignment has been popular with both staff and students, as it reduces workload but still allows the students to convey a full story. The new approach has been incorporated into the new final year project module for the BSc Biochemistry programme’.
The success of the module has been acknowledged as a model of good practice, consecutively during periodic reviews with external examiners and was highlighted as a key contributor in obtaining accreditation from the Institute of Biomedical Scientists and the Royal Society of Biology.
3.5.2 External examiner—1
‘I really am very much in awe of the module leadership, the module has been through so many positive changes in just one year, with great results for the students. The module design provides students with a well-rounded experience, allowing them to be competitive in the job market. I think it’s amazing!’
3.5.3 External examiner—2
‘A diverse range of project titles were offered to the students this year. It is clear that the changes made to the module both last year and this year have made a positive impact for Students and staff’.
3.5.4 Lecturer in physiology
‘The module structure has facilitated delivery during Covid and presents as an excellent contingency. This approach has reduced staff workload and stress associated with the module previously. The module design now allows for academics to advertise projects in fields previously unexplored in our institute, i.e., pedagogy, scientific writing and sustainability’.
4 Discussion
By emphasising transferable skills into final year project modules, HEIs can equip students with the abilities needed to navigate different career paths and adapt to evolving work environments and produce graduates who are not only subject matter experts but also possess the versatility and agility to succeed in a wide range of professional contexts. Therefore, the aim of this study was to reinvent the final year Bioscience dissertation project module assessments and to evaluate the success of this from both student and staff perceptions.
4.1 Module redesign feedback
The feedback on the module redesign was overtly positive with most students in agreement that they were either satisfied or definitely satisfied with the module (Figure 3). This notion was reinforced by the fact that the statistical analysis declared students had increased confidence post-completion of the module in 11 key transferable skills (Table 1). Qualitative data provided compelling arguments in favour of the module redesign with students expressing an enhancement in module structure/assessment design and increased creative freewill. These views were corroborated by staff members who also expressed being satisfied or very satisfied (Figure 6) and recognised the fundamental improvements in the teaching and learning experience. Consequently, the module mark has improved (Figure 5), and staff and students claimed a stress reduction. Traditionally many universities have designed new programmes led by the research interests of academics. Whilst the injection of academic expertise and research experience are of paramount importance to the learning experience of undergraduate students; of equal importance is the evolution of teaching practice in line with, promoting theoretical/critical thinking, academic enterprise and enhancing student employment in conjunction with the ever-changing job market (Heijke et al., 2003). The latter has been further perpetuated by the pandemic, which has accelerated changes across all sectors, forcing HEIs to re-strategise teaching. Universities now need to nurture the necessary skill set for a very different future. The work of Singh et al., highlights the absence of necessary institutional policies, and infrastructural limitations were the principal difficulties facing pedagogical innovation (Singh et al., 2021).
4.2 Conventional dissertations within higher education
Traditionally, within the United Kingdom a final-year research dissertation involves producing an independent academic research piece within a specific discipline, ranging from 7,000 to 12,000 words. According to a study conducted in 2019 by the National Association of Colleges and Employers, 82% of employers surveyed, value employees with strong written communication skills. Kotzee and Rogger developed a survey in collaboration with the Association of Graduate Recruiters UK and reported the average graduate spends 41 to 60% of their time writing, with 85% of employers expecting graduates to be able to write concise reports (Kotzee and Johnston, 2011). The authors go on to conclude, that employers often penalise job applicants who demonstrate poor writing skills on their applications by not shortlisting them for interviews (Kotzee and Johnston, 2011). Such findings in the UK are in unison with the National Commission on Writing, from the US who cite that writing competently as per the requirements of the vocation is considered a ‘threshold skill’ for employment (Kotzee and Johnston, 2011). March et al., corroborated this finding by reporting a disconnect between university perceptions of desired skills and actual skills required in the workplace (Hernández-March et al., 2009). The redesign and incorporation of the research proposal and the project paper into the final-year dissertation is an example of directing assessment design and coordination of delivery to address the previously mentioned skill gap. Equally, first-year students are encouraged to read scientific papers for source material, as they progress throughout their studies, giving them the opportunity to write their own research paper presents as a perfect culmination of their academic career.
4.3 Injecting creativity into final-year projects
Creativity plays a crucial role in research and innovation, encompassing various processes such as generating novel questions, employing deductive and inductive reasoning, and integrating scientific knowledge (Greener, 2005; Banciu et al., 2015). In the realm of education, Bloom’s taxonomy offers a widely recognised framework for understanding creativity.
Within this revised framework, ‘create’ represents the pinnacle skill within the cognitive processes dimension of the cognitive domain, indicating that mastery of the preceding five skills (remember, understand, apply, analyse, and evaluate) is necessary for creative expression (Nkhoma et al., 2017). Whilst creativity is often implicitly embedded in module specifications and learning outcomes, explicitly incorporating it into assessments presents challenges. Moreover, the lack of a clear definition, particularly in Biomedical science courses, poses difficulties for both educators and students in discerning the intended meaning when universities refer to ‘creative’. This ambiguity can result in the neglect or unawareness of developing this attribute (Kim et al., 2019). Similar observations are reflected in the analysis of programme outlines in other countries (Marquis et al., 2017). For instance, the study by Kim et al. revealed that students failed to recognise creative learning opportunities within a biomedical science programme, instead perceiving a dearth of such opportunities and feeling that traditional biomedical science programmes hindered their creativity (Kim et al., 2019). Rodríguez et al. implemented inquiry-based learning (IBL) in a cohort of 175 Bioscience students who had previously experienced a notable lack of creativity within their degree programme. The researchers found that the students’ outcomes improved significantly following the completion of the IBL programme. Additionally, the students expressed high levels of satisfaction with the learning experience and perceived it as valuable for their education (Rodríguez et al., 2019).
The authors of this study can draw similar conclusions as both students and staff felt the new approach to dissertations allows staff to advertise a variety of projects, including those which would not be conventionally considered scientific. These newer projects allow both staff and students to inject creativity into their final year. Students have, in association with pedagogic members of staff co-created resources to influence equality/diversity policy, equally other projects have seen students create resources to help foster cultural competence and harbour stronger pastoral relationships between students and staff. Irrespective of the nature of the final year project, all students must produce a poster and present it in a conference-style manner to two academics. This assessment requires students to present their project data in a visually appealing manner and provides them with the opportunity to enhance their communication skills, during the oral defence.
4.4 The development of transferable skills
Transferable skills are highly valuable in any field, including Bioscience (Mello and Wattret, 2021). A Biosciences degree equips students with a strong foundation in scientific knowledge and technical expertise specific to the field. However, transferable skills go beyond subject-specific knowledge and enable individuals to adapt, excel, and contribute effectively in a variety of professional environments. A review by Noah and Aziz highlights a stark disparity between the skills students require to be competitive in the job market and those that HEIs emphasise the development of. The authors specify the necessity to develop soft skills and how creative assessment design can address the skill gap (Noah and Abdul Aziz, 2020). The Government Office for Science published a report providing foresight into the future of skills development and lifelong learning, the report highlights the current supply of work is structured around profiles or functions that, in addition to scientific–technical knowledge provided by a university degree—require developing a series of competencies and abilities that will ensure lifelong learning. In this respect, it has also been demonstrated that the speed at which graduates learn to do their jobs depends on the level and type of competencies they have acquired in their formal education (Guàrdia et al., 2021). Data presented herein support the necessity to instil soft skills into student development.
The redesign of final-year dissertations was successful in developing a variety of transferable skills (Figure 4) and students reported an increase in perceived confidence in those particular skills post-completion of the module (Table 1). This has been inculcated into the project by emphasising the importance of collaborative working, presentation skills, workshops focusing on data analysis/statistical software utilisation and creative design of scientific posters. Well-designed assessments which challenge undergraduates to broaden their skills provide an opportunity for holistic development and therefore, by nature are inclusive. Previous research has demonstrated students belonging to ethnic minority backgrounds are less likely to achieve a 1st class degree in comparison to their white peers (Rana et al., 2022). Although the variables eluding to this observation are multifactorial, existing research highlights that students from minority backgrounds express decreased confidence in their transferable skills (Munniksma et al., 2023). By developing and emphasising transferable skills alongside subject-specific knowledge, Bioscience graduates can enhance their employability, increase their career options, and make valuable contributions in various sectors beyond traditional scientific research, most notably the NHS (Ohalloran, 2001; Pranjol et al., 2022). These skills empower individuals to become well-rounded professionals who can adapt to an ever-changing professional landscape and contribute to solving complex challenges in bioscience and beyond (Girot et al., 2006).
4.5 Over-assessment and workload
Statistics from the University and College Union, highlight, an overwhelming 87% of university staff have reported an increase in their workload over the past 3 years, with a significant majority (68%) stating that the increase has been substantial. The impact of the pandemic has been evident, with emerging evidence indicating a higher prevalence of chronic stress and exhaustion amongst staff members (Ross et al., 2023). Additionally, a study by Oberle and Schonert-Reichl found that academic stress had a direct effect on students’ stress levels, explaining more than half of the variation in students’ cortisol, a stress hormone (Oberle and Schonert-Reichl, 2016). This highlights the interconnection between staff and student well-being, emphasising the need for strategies addressing student mental health to also consider and support the mental well-being of teaching staff.
Furthermore, there is growing concern regarding excessive or repeated assessments for the same learning outcomes in academic settings. This overemphasis on measuring performance can lead to surface-level learning rather than promoting deeper understanding and contributes significantly to academic stress (Jayman et al., 2022). Some experts argue that this issue of over-assessment is a manifestation of an inefficient assessment system. Moreover, module coordination within higher education institutions often overlooks the problem of over-assessment and fails to review the ideal number of assessments required to achieve learning outcomes. Consequently, this situation has amplified staff workloads and teaching responsibilities. To address these challenges, academics must incorporate diversity and innovation in their assessment plans, aligning them with sound pedagogical practices. This approach ensures a balanced combination of deeper learning experiences and achievement metrics. The interventions employed within this final-year dissertation module have significantly reduced staff workloads and marking burdens, primarily by converting the thesis submission to a research paper, but more practically by introducing the team structure to project supervision. Whereby academics from the same scientific discipline work together to supervise projects. This provides an element of flexibility for both staff and students, particularly when there is staff unavailability due to illness or leave, in either situation, student supervision remains unaffected. Another noteworthy practice includes the assessing of student posters, in a conference-like manner. This is a better utilisation of staff time as numerous poster presentations are double-marked within a day, within academic teams. It is of paramount importance that staff time be protected and more importantly be utilised efficiently by embracing these principles, universities can support staff well-being, alleviate excessive workloads, and foster an environment conducive to effective teaching and student progress.
4.6 Study limitations
To enhance the data presented here, focus groups would have allowed the authors to collate a wide variety of views, not restricted by the limitations of an online survey. By utilising an anonymous online survey method, both students and staff have had the freedom to express their thoughts honestly and assess the questions at their own pace, independent of time constraints. However, it has been observed that the uptake rate for such online surveys is generally low, indicating that a significant portion of the population may not actively participate (Millar et al., 2023). This was also observed in this study, the low uptake rate of the survey may be attributed to the fact that this module served as the concluding component of the student’s undergraduate degree programme. Invitations to complete the online questionnaire were sent out after the students had finished their final modular examinations. This approach was implemented to uphold ethical considerations and avoid pressuring students to participate in surveys during a period when they were prioritising other crucial study and assessment obligations. Irrespective of this, the low number of survey respondents presents an area to improve in subsequent iterations of the research, as an increased number of responses would increase the reliability of the findings. Also, the authors opted to utilise the 4-point Likert scale. At the time this option was preferred, in a bid to prevent ambiguity amongst the responses and to help respondents to navigate through the survey quicker. However, it must be acknowledged that the absence of a true midpoint could potentially skew the data, particularly for a small sample size as in this study, forcing the respondents to take a stance even when they may feel uncertain. The 5-point scale potentially could have provided greater granularity and more power to statistical analysis. On the contrary, a true midpoint may lead to respondents choosing the neutral option as a default, despite being positively or negatively inclined. Seminal work identifies that focus group data are amongst the highest quality data that can be derived for the educational research (Wilson, 1997). The benefits of focus groups would have allowed for a deeper evaluation of the final year project module and potentially provided enriching views on further improvement of teaching methods. Such focus groups would gain have to take place following the completion of the summer assessment period to ensure student engagement. Equally, a focus group with academic staff would have provided a finer understanding of their views, regarding the remodelling of the project module.
5 Conclusion
In conclusion, the redesign of the project module, specifically including a research proposal, stepping away from a traditional thesis and finally assessing students theoretical understanding and creative acumen through poster presentations, enhanced the student learning experience, increased the mean module mark and was met with positive feedback from both students and staff. Quantitative data highlights the remodelling of the module has statistically significantly improved students’ perceived confidence in key transferable skills, this is supported by qualitative comments, reflecting on both the assessment suit and support sessions provided were beneficial to students and provided them with the skills they could utilise in a variety of careers, not limited to research. Furthermore, staff described the module design, significantly reduced workload, directly decreasing the marking burden. This view was supported by the student body who mentioned the nature of the module made it easy to navigate and reduced the stress associated with assessments laden with excessive word limits.
Summary table
What is known about this subject:
• All Biomedical Science students undertake a final year project, an integral component of the degree (=91 characters).
• Most final-year projects require students to write a word-laden thesis with little emphasis on transferable skills (=117 characters).
• Changes in the job market mean, transferable skills are very valuable and are not developed during projects (=125 characters).
What this paper adds:
• Benefits of redesigning the projects, providing support sessions and concise assessments to improve student experience (=122 characters).
• Students reported greater satisfaction and increased confidence in transferable skills. The mean module mark also improved (=125 characters).
• Staff reported an improved teaching experience, a reduction in workload and marking burden (=93 characters).
Concluding statement:
This work represents an advance in biomedical science because it shows my remodelling final year dissertations, an improved teaching and learning experience can be achieved, whilst reducing workload (=198 characters).
Data availability statement
The raw data supporting the conclusions of this article will be made available by the authors, without undue reservation.
Ethics statement
The studies involving humans were approved by Aston University Internal Ethics Committee. The studies were conducted in accordance with the local legislation and institutional requirements. The participants provided their written informed consent to participate in this study.
Author contributions
KSR contributed to the conception of the study and designed the research approach. KSR designed the module and analysed the data. All authors wrote the manuscript, edited, read and approved the submitted version.
Funding
The author(s) declare that no financial support was received for the research, authorship, and/or publication of this article.
Conflict of interest
The authors declare that the research was conducted in the absence of any commercial or financial relationships that could be construed as a potential conflict of interest.
Publisher’s note
All claims expressed in this article are solely those of the authors and do not necessarily represent those of their affiliated organizations, or those of the publisher, the editors and the reviewers. Any product that may be evaluated in this article, or claim that may be made by its manufacturer, is not guaranteed or endorsed by the publisher.
Supplementary material
The Supplementary material for this article can be found online at: https://www.frontiersin.org/articles/10.3389/feduc.2024.1271541/full#supplementary-material
References
Banciu, D. D., Banciu, A., and Potolea, D. (2015). Creativity and innovation in biomedical sciences, a non-formal approach. Procedia. Soc. Behav. Sci. 209, 39–45. doi: 10.1016/j.sbspro.2015.11.228
Bashir, A., Bashir, S., and Hilton, A. C. (2017). Are academics wrongly assuming bioscience students have the transferable skills and IT competency they need to be successful beyond the degree? Front Educ 2:26. doi: 10.3389/feduc.2017.00026
Braun, V., and Clarke, V. (2006). Using thematic analysis in psychology. Qual. Res. Psychol. 3, 77–101. doi: 10.1191/1478088706qp063oa
Demaria, M. C., Hodgson, Y., and Czech, D. P. (2018). Perceptions of transferable skills among biomedical science students in the final-year of their degree: what are the implications for graduate employability? Int J Innov Sci Maths Educ 26, 11–24.
Girot, E. A., Miers, M., Coles, J., and Wilkinson, G. (2006). An exploration of the ‘value-added’ of higher education for the health and social care workforce: the lecturers’ perspectives. Assess. Eval. High. Educ. 31, 121–133. doi: 10.1080/02602930500262429
Greener, M. (2005). Engendering creativity in the biomedical sciences. Innovation can be stifled inadvertently or intentionally. Fortunately there are several ways in which scientists can foster creativity. EMBO Rep. 6, 402–404. doi: 10.1038/sj.embor.7400396
Guàrdia, L., Clougher, D., Anderson, T., and Maina, M. (2021). IDEAS for transforming higher education: an overview of ongoing trends and challenges. Int. Rev. Res. Open Dist. Learn. 22, 166–184. doi: 10.19173/irrodl.v22i2.5206
Healey, M., Stibbe, A., JGP, D., and Lannin, L. (2013). Developing and enhancing undergraduate final-year projects and dissertations. New York, United Kingdom: Higher Education Academy York.
Heijke, H., Meng, C., and Ris, C. (2003). Fitting to the job: the role of generic and vocational competencies in adjustment and performance. Labour Econ. 10, 215–229. doi: 10.1016/S0927-5371(03)00013-7
Hernández-March, J., Martín del Peso, M., and Leguey, S. (2009). Graduates’ skills and higher education: the employers’ perspective. Tert. Educ. Manag. 15, 1–16. doi: 10.1080/13583880802699978
Jayman, M., Glazzard, J., and Ross, A. (2022). Tipping point the staff wellbeing crisis in higher education. Front Educ 7:335. doi: 10.3389/feduc.2022.929335
Kim, A. M., Speed, C. J., and Macaulay, J. O. (2019). Why don't students recognize creative learning opportunities in a biomedical science program? Biochem. Mol. Biol. Educ. 47, 656–668. doi: 10.1002/bmb.21295
Kotzee, B., and Johnston, R. (2011). ‘Can't string a sentence together’? UK Employers' views of Graduates' writing skills. Ind. High. Educ. 25, 45–52. doi: 10.5367/ihe.2011.0026
Marquis, E., Radan, K., and Liu, A. (2017). A present absence: undergraduate course outlines and the development of student creativity across disciplines. Teach. High. Educ. 22, 222–238. doi: 10.1080/13562517.2016.1237495
Mello, L. V., and Wattret, G. (2021). Developing transferable skills through embedding reflection in the science curriculum. Biophys. Rev. 13, 897–903. doi: 10.1007/s12551-021-00852-3
Millar, B. C., Tarasov, A., Ternan, N., Moore, J. E., and Murphy, C. (2023). Embedding scientific communication and digital capabilities in the undergraduate biomedical science curriculum. Br. J. Biomed. Sci. 80:11284. doi: 10.3389/bjbs.2023.11284
Munniksma, A., Daas, R., Dijkstra, A. B., and Dam, G. (2023). Is classroom diversity related to citizenship competences of ethnic minority and majority students? J Soc Stud Res. doi: 10.1016/j.jssr.2023.01.001
Nkhoma, M. Z., Lam, T. K., Sriratanaviriyakul, N., Richardson, J., Kam, B., and Lau, K. H. (2017). Unpacking the revised Bloom’s taxonomy: developing case-based learning activities. Educ Train 59, 250–264. doi: 10.1108/ET-03-2016-0061
Noah, J. B., and Abdul Aziz, A. (2020). A systematic review on soft skills development among university graduates. EDUCATUM J Soc Sci 6, 53–68. doi: 10.37134/ejoss.vol6.1.6.2020
Oberle, E., and Schonert-Reichl, K. A. (2016). Stress contagion in the classroom? The link between classroom teacher burnout and morning cortisol in elementary school students. Soc. Sci. Med. 159, 30–37. doi: 10.1016/j.socscimed.2016.04.031
Ohalloran, D. (2001). Task-based learning: a way of promoting transferable skills in the curriculum. J Vocation Educ Train 53, 101–120. doi: 10.1080/13636820100200150
Pranjol, M. Z. I., Oprandi, P., and Watson, S. (2022). Project-based learning in biomedical sciences: using the collaborative creation of revision resources to consolidate knowledge, promote cohort identity and develop transferable skills. J. Biol. Educ., 1–17. doi: 10.1080/00219266.2022.2147576
Rana, K. S., Bashir, A., Begum, F., and Bartlett, H. (2022). Bridging the BAME attainment gap: student and staff perspectives on tackling academic Bias. Front Educ 7:349. doi: 10.3389/feduc.2022.868349
Rodríguez, G., Pérez, N., Núñez, G., Baños, J. E., and Carrió, M. (2019). Developing creative and research skills through an open and interprofessional inquiry-based learning course. BMC Med. Educ. 19:134. doi: 10.1186/s12909-019-1563-5
Ross, P. M., Scanes, E., and Locke, W. (2023). Stress adaptation and resilience of academics in higher education. Asia Pac. Educ. Rev. doi: 10.1007/s12564-023-09829-1
Ruwanpura, J. Y., and Brown, T. G. (2006). Innovative final-year undergraduate design project course using an international project. J. Prof. Issues Eng. Educ. Pract. 132, 297–305. doi: 10.1061/(ASCE)1052-3928(2006)132:4(297)
Ryan, T. (2015). Quality assurance in higher education: a review of literature. High Learn Res Commun 5:n4. doi: 10.18870/hlrc.v5i4.257
Singh, J., Steele, K., and Singh, L. (2021). Combining the best of online and face-to-face learning: hybrid and blended learning approach for COVID-19, post vaccine, & post-pandemic world. J. Educ. Technol. Syst. 50, 140–171. doi: 10.1177/00472395211047865
Stefani, L. A. J., Tariq, V. N., Heylings, D. J. A., and Butcher, A. C. (1997). A comparison of tutor and student conceptions of undergraduate research project work. Assess. Eval. High. Educ. 22, 271–288. doi: 10.1080/0260293970220302
Keywords: biomedical science, higher education, final year projects, dissertations, transferable skills
Citation: Rana KS, Bashir A and Pallett R (2024) An innovative approach to remodelling bioscience undergraduate final year projects to develop key transferable skills sought by graduate employers. Front. Educ. 9:1271541. doi: 10.3389/feduc.2024.1271541
Edited by:
Samuel Ken-En Gan, Kean University-Wenzhou, ChinaReviewed by:
Joseph Rathner, The University of Melbourne, AustraliaMartin Brown, The University of Sydney, Australia
Copyright © 2024 Rana, Bashir and Pallett. This is an open-access article distributed under the terms of the Creative Commons Attribution License (CC BY). The use, distribution or reproduction in other forums is permitted, provided the original author(s) and the copyright owner(s) are credited and that the original publication in this journal is cited, in accordance with accepted academic practice. No use, distribution or reproduction is permitted which does not comply with these terms.
*Correspondence: Karan Singh Rana, cmFuYWsyQGFzdG9uLmFjLnVr; Amreen Bashir, YmFzaGlyYTZAYXN0b24uYWMudWs=
†ORCID: Karan Singh Rana orcid.org/0000-0003-3061-5156
Amreen Bashir orcid.org/0000-0002-0428-0922
Ross Pallett orcid.org/0000-0002-5516-1480