Abstract
The sustainability of forest species is directly related to the success of stand regeneration. Assuring success is particularly critical in stands where perpetuity relies on natural regeneration, as is often the case with cork oak forests. However, 59% of the stand in Portugal have no natural regeneration, and climate change could further worsen the sustainability of the system. The study summarizes the factors that affect the natural regeneration of cork oak (Quercus suber L.) based on current knowledge and presents a case study on a forest in Northeast Portugal, where the natural regeneration of Quercus suber under the effect of climate change have been monitored and analyzed. The present work focuses on the effect of stand density, i.e., tree cover, on the production of acorns, the establishment and survival of seedlings, and the impact of the summer season on seedling mortality. The monitoring was carried out in February, June, September 2022, and January 2023 in two stands with distinct stand canopy cover, when the region was under extreme drought. Data analysis was performed using the analysis of variance for repeated measures and the Mann–Whitney-Wilcoxon test. The study showed that cork oak regeneration is influenced by stand density, which promoted the establishment success and survival of natural regeneration in a period of reduced precipitation, despite possible competition for water resources. The mean number of seedlings differed significantly between the two stands. However, there were no significant differences in the mean number of seedlings throughout the field measurements. Additionally, the percentage of dead seedlings was low even after the summer season (9.5% of the total seedlings) in the denser stand. These results indicate that high canopy cover can have a protective effect for extreme climatic events and should be considered in forestry management to promote regeneration of the cork oak forests.
1 Introduction
The cork oak (Quercus suber L.) is a forest species naturally present in the Western Mediterranean region (Natividade, 1990; EUFORGEN, 2023), with the largest area of occupation in the Iberian Peninsula and Northern Africa. Over half (63%) of the Iberian Peninsula’s cork oaks are in mainland Portugal (ICNF, 2019; MITECO, 2020).
The cork oak is considered a species of high ecological, economic, and social value (Bugalho et al., 2011). From an environmental perspective, cork oak forests as well as the silvopastoral and agrosilvopastoral systems (the latter known as montado in Portuguese and dehesa in Spanish) are habitats with rich diversity in flora and fauna. These systems play an important role in carbon sequestration, hydrological cycle regulation, improvement of water quality, and soil conservation and preservation (Ribeiro et al., 2010; APCOR, 2019; Ribeiro et al., 2020). In addition, in 1992, the cork oak and holm oak habitats were recognized as ecosystems of high European ecological interest. They were included in directive 92/43/CEE as habitats to be preserved, along with associated wild fauna and flora. The cork oak has a high economic value due to the cork being highly valued mainly to produce stoppers (APCOR, 2016, 2019).
The Portuguese National Forest Inventory (NFI6) highlights cork oak as one of the most represented species, occupying 720,000 ha and representing 23% of the Portuguese forested area (ICNF, 2019). According to MITECO (2020), the cork oak occupies 269,377 ha in Spain. These data result in a value of about one million ha for the Iberian Peninsula.
The cork oak forest’s sustainability has been threatened (Ribeiro et al., 2004; Sousa et al., 2007; Fonseca and Martins, 2015; Ibáñez et al., 2017) by several abiotic, biotic, and human-driven factors that have contributed to the decline of this species (Perez et al., 1993; Ribeiro et al., 2010; Godinho et al., 2016). Among the abiotic factors, drought is the foremost contributor to cork oak mortality (Sousa et al., 2007; Camilo-Alves et al., 2017). On the other hand, excessive rainfall associated with compact soils can facilitate the dissemination of fungal diseases (Perez et al., 1993), as is the case of Phytophthora cinnamomi. This disease is one of the major biotic threats to the species, accelerating the decline of the cork oak (Camilo-Alves et al., 2013). Changes in the management practices associated with the application of the EU Common Agricultural Policy (CAP) promoted mechanization and the intensification of the livestock, generalizing the use of disc harrowing for both scrub vegetation control and pasture management (Ribeiro et al., 2010, 2020). These changes are contributing to the system’s decline. In addition, disc harrowing contributes to soil degradation by loss of organic matter and soil compaction, disturbing carbon, nutrient, and water cycles. It greatly impacts tree root systems and destroys saplings. All the referred factors, combined with herbivory impacts on the young trees and saplings, drive the system to rapid degradation compromising its sustainability (Ribeiro et al., 2012; Godinho et al., 2016).
Several studies in the Iberian Peninsula and North Africa also mentioned the cork oak’s lack of natural regeneration (Montero et al., 1989, 1994; Pérez-Ramos and Marañón, 2005; Acácio et al., 2007; Duarte, 2008; Jdaidi et al., 2017; Mundet et al., 2018; Ritsche et al., 2021; Laaribya, 2023; Sobehi et al., 2023). In general, failures in the natural regeneration of cork oak are essentially due to seed predation and grazing by domestic and wild animals (Herrera, 1995; Pérez-Ramos et al., 2004; Acácio et al., 2007; Pérez-Ramos et al., 2007), summer drought (Gómez-Aparicio et al., 2008; Pérez-Ramos et al., 2012; Arosa et al., 2015), soil degradation (Sousa et al., 2007), and cork oak decline (Ribeiro and Surový, 2008; Fonseca and Martins, 2015), resulting from the effect of more than one factor. The health of mature cork oaks may also limit the natural regeneration of the species (Sousa et al., 2007). According to current scientific knowledge, Tables 1–3 summarize the factors that intervene positively and negatively in the regeneration phases (seeding, germination and seedling survival, and development).
Table 1
Factors that influence the natural regeneration of Quercus suber. Phase: seeding.
Table 2
| Positive effect | References |
| Temperature and soil moisture | Arosa et al. (2015) |
| Relative humidity | Arosa et al. (2015) |
| Acorn health/quality | Jdaidi et al. (2018) and Pardos et al. (2000) cited in Cañellas et al. (2003) |
| Higher acorn size/weight | Pérez-Ramos et al. (2008), Ramos et al. (2013), and Arosa et al. (2015) |
| North orientation (more soil moisture, organic matter, dead layer—less soil moisture and heat stress during spring–summer) | Carvalho (2008) |
| Shading (tree canopy) | Cañellas et al. (2003) |
| Higher plant cover | Arosa et al. (2015) |
| Mechanical cutting of shrubs | Carvalho (2008) |
| Temporary exclusion from grazing | Figueira (2012) |
| Negative effect | References |
| Soil waterlogging | Pérez-Ramos et al. (2008) |
| Southern orientation | Carvalho (2008) |
Factors that influence the natural regeneration of Quercus suber. Phase: germination.
Table 3
| Positive effect | References |
| Soil moisture | Caldeira et al. (2014) |
| Acorn carbon and water reserves | Figueira (2012) |
| Larger acorn size | Pérez-Ramos et al. (2008) and Arosa et al. (2015) |
| Earlier emergence (more drought resistance and resprouting capacity) | Arosa et al. (2015) |
| Partially overshadowed | Álvarez et al. (1997), Costa and Pereira (2007a), and Pérez-Ramos et al. (2008) |
| Shade (important in the first years of the seedlings) | Costa and Pereira (2007a) and Pausas et al. (2009a) |
| Temporary exclusion from grazing | Figueira (2012) |
| Shrub protection (from herbivory/predators, shelter; creation of favourable edaphic and microclimatic conditions for plants) | Montero et al. (1994), Carvalho (2008), Gómez-Aparicio et al. (2008), Pulido et al. (2010), Dias et al. (2016), Simões et al. (2016), and Mundet et al. (2018) |
| Microclimates generated by shrubs (including C. ladanifer) | Vizinho et al. (2023) |
| Low and dense shrubs | (Figueira, 2012) |
| Tree cover (microclimate more suitable for plants and decrease of competition between seedlings and herbaceous vegetation) | Cañellas et al. (2003), Acácio et al. (2007), Caldeira et al. (2014), and Montero-Muñoz et al. (2021) |
| High stand density (protection from solar radiation, maintains soil moisture, less impact from summer drought) | Acácio et al. (2007), Plieninger et al. (2010), and Arosa et al. (2015) |
| Medium stand density (seedling establishment) | Pardos et al. (2005) and Boussaidi et al. (2010) |
| Negative effect | References |
| Low soil moisture | Caldeira et al. (2014) |
| Summer drought | Herrera (1995), Pulido and Díaz (2002), Marañón et al. (2004), Gómez-Aparicio et al. (2008), Pérez-Ramos et al. (2008), Pausas et al. (2009a), Pérez-Ramos et al. (2012), Arosa et al. (2015), and González (2015) |
| Water stress | Pardos et al. (2005), Acácio et al. (2007), and Mechergui et al. (2021) |
| Soil moisture variations between winter and summer | Pérez-Ramos et al. (2008) |
| Increase soil temperature during the summer | Caldeira et al. (2014) |
| Grazing by domestic and wild animals | Montero et al. (1994), Bugalho and Milne (2003), Barros et al. (2006), Silva and Catry (2006), Duarte et al. (2009), Catry et al. (2010), Figueira (2012), and Arosa et al. (2015) |
| Soil ploughing or harrowing and frequent shrub clearance | Silva and Catry (2006), Arosa et al. (2015), and Simões et al. (2016) |
| Late emergence (mainly due to excess water, plants more likely to die during summer drought) | Pérez-Ramos et al. (2008) |
| Poorly developed root system | Sousa et al. (2007) |
| Herbaceous biomass (competition with seedlings) | Caldeira et al. (2014) |
| Presence of Cistus spp. | Acácio et al. (2007), Acácio and Holmgren (2014), and Ritsche et al. (2021) |
| Shrub competition (for water and nutrients) | Montero et al. (1994), Acácio et al. (2007), Pulido et al. (2010), and Figueira (2012) |
| High density and height of shrubs | Figueira (2012) |
| Lack of tree canopy—exposure to the sun (summer-autumn) | Cañellas et al. (2003) |
| Tree size (large trees) | Plieninger et al. (2010) |
| Stand density over 75% | Boussaidi et al. (2010) |
| Disease – Phytophthora cinnamomi | Sousa et al. (2007) and Fonseca and Martins (2015) |
| Fire | Vennetier (2008) |
Factors that influence the natural regeneration of Quercus suber. Phase: seedling survival and development.
Most research on the natural regeneration of cork oaks has been carried out in montado forest systems, with limited information available for cork oak forests that do not have an agricultural and/or pastoral component. On the other hand, it should be noted that the expected effects of climate change are already underway, namely reduced precipitation, and increased temperatures and heat waves during the most vulnerable season for plants, the summer. Therefore, of particular interest is understanding how stand density influences the establishment and survival of seedlings in these cork oak forests, considering that high tree density can have two opposite effects, either increasing seedling mortality due to competition for increasingly scarce water resources, or, on the other hand, increasing survival due to the protective effect of stable microclimatic conditions. In Portugal, the natural cork oak regeneration areas are about 13,600 ha, following a decreasing trend, losing 3,800 ha between 2005 and 2015 (ICNF, 2019). The same source states that more than half of the cork oak stands in mainland Portugal (59%) have no natural regeneration, with only a tiny part showing dense regeneration. This study aims to discern the effect of canopy cover on regeneration survival at distinct development stages (acorns and seedlings) over seasons. In light of the study’s objectives, the authors formulated the following research hypotheses: (a) the summer season’s climatic conditions—high temperatures and water deficit – adversely affect cork oak seedlings survival, resulting in increased mortality; (b) canopy cover gives a protective effect against extreme weather conditions, promoting cork oak regeneration establishment.
2 Materials and methods
2.1 Study area
The study area is near the village of Brunhoso (ETRS89 PT TM06 geographic coordinates: 112706.54; 187665.25), in the municipality of “Mogadouro”, in Northeast Portugal (Figure 1).
Figure 1

Location of the study area, the stands and plots.
In the region of Trás-os-Montes, where the study area is located at an altitude of around 600 m, the climate is temperate (IPMA, 2023f). Between 1971 and 2000, the mean annual temperature varied from 10.2°C to 11.5°C, with an average temperature of 10.9°C. Furthermore, an accumulated mean annual precipitation of 1,010 mm was observed during the same period. In a climate change scenario to the region, it is expected that mean annual temperature increases and annual precipitation decreases, increasing the number of days in the dry season and the number of heat waves (IPMA, 2023g). The monitoring year (2022) was considered the hottest year in mainland Portugal since 1931, characterized by an extremely hot and very dry summer, a very hot and rainy autumn, a very hot and dry winter, and a very hot and dry spring (IPMA, 2023a). The average minimum and maximum temperature and total precipitation recorded in the measurement months (February, June, September 2022, and January 2023) at the weather station in the district capital of Bragança (IPMA, 2023b,c,d,e), to which the study area belongs, are shown in Table 4.
Table 4
| Investigation months | Average minimum temperature (°C) | Average maximum temperature (°C) | Total precipitation (mm) | References |
|---|---|---|---|---|
| February 2022 | 0.8 (−0.5) | 14.9 (+3.8) | 5.6 (−69.4) | IPMA (2023b) |
| June 2022 | 12.6 (+1.2) | 27.5 (+2.8) | 9.4 (−29.3) | IPMA (2023d) |
| September 2022 | 11.2 (−0.3) | 25.4 (+0.8) | 20.3 (−24.7) | IPMA (2023e) |
| January 2023 | 0.1 (−0.2) | 9.8 (+1.3) | 94.5 (−1.0) | IPMA (2023c) |
The average minimum and maximum temperature (°C) and total precipitation (mm) recorded in the measurement months (February, June, September 2022, and January 2023) at the weather station in the district capital of Bragança.
Between parenthesis: deviation to the normal annual averages measured between 1970–2000 (IPMA, 2023a).
Soils are classified as dystric and umbric leptosols in Trás-os-Montes region (Agroconsultores and Coba, 1991).
Shrub and grassland are the most representative land uses in the Trás-os-Montes region (41%), followed by agriculture (29.8%) and forest (26.1%) (ICNF, 2019). Several oak species, chestnut, maritime pine, and other broadleaves and coniferous are considered the most abundant forest species in the region. Cork oak forests occupy 14,560 ha, representing 10.1% of the region’s forest area (ICNF, 2019).
The study area is part of a private forest dominated by cork oaks, exploited for cork (9-year harvest cycle). The overstory is dominated by herbaceous plants, Cistus spp. and Lavandula spp., and to a lesser extent, seedlings of Q. faginea and Q. rotundifolia.
2.2 Methodology
2.2.1 Experimental design
As part of the ForManRisk project,1 a pilot cork oak stand was selected (Figure 1) as a basis for the study. In the same municipality, a forest stand with similar climatic characteristics, exposure, and slope (Table 5) but a distinct stand canopy cover (Table 5) was selected for comparison and testing purposes. Both stands, hereafter named A and B, were mature stands. According to information provided by the owner, the oldest trees in the stands are currently, at least, 74 years old. Stand A and stand B occupy 20.5 ha and 35.9 ha, respectively. In each stand two permanent circular plots of 500 m2, designated by A1, A2, and B1, B2, located 50 m apart, were installed for dendrometric stand characterisation and accounting for variability (Figure 1).
Table 5
| Stand | N (trees ha−1) | G (m2 ha−1) | dg (cm) | SDI (%) | Ac (m2) | Cc (%) | d ± SD (cm) | h ± SD (m) | hbc ± SD (m) | ac ± SD (m2) |
|---|---|---|---|---|---|---|---|---|---|---|
| A | 600 | 26.2 | 23.6 | 75 | 847.3 | 84.7 | 14.5 ± 18.8 | 5.3 ± 3.5 | 1.8 ± 1.7 | 14.1 ± 25.1 |
| B | 260 | 6.0 | 17.2 | 20 | 239.6 | 24.0 | 12.9 ± 11.5 | 3.8 ± 1.9 | 1.0 ± 0.7 | 9.2 ± 15.4 |
Dendrometric characterisation of the stands and average tree size (standard deviation, SD).
G: basal area; dg: quadratic mean diameter; SDI: stand density index; Ac: stand canopy area; Cc: stand canopy cover; d: diameter at 1.30 height; h: total height; hbc: height at the base of the crown; ac: tree canopy area.
At the beginning of the study (February 2022), in each plot, tree measurements of the diameter at breast height (d), total height (h), height at the base of the crown (hbc), and crown radius (crd) were carried out for living trees with a minimum height of 1.30 m. The d was measured with a caliper (1 mm precision) at 1.30 m aboveground level. Total height was evaluated with a Vertex hypsometer (10 cm resolution). The four crown radii (distance between tree center and its crown margin) were measured with the hypsometer. The radii were recorded clockwise, with the first measurement defined along the steepest slope.
A cluster sampling (Krebs, 1999; Marques et al., 2018) design was implemented to study the natural regeneration dynamics inside each stand. In each circular plot of 500 m2 of area, five square plots of 4 m2 were installed, according to Figure 2.
Figure 2

Sampling design in the experimental essay.
Square plots to assess natural regeneration have already been used in several studies with the same purposes (Figueira, 2012; Dias et al., 2016; Ritsche et al., 2021). The 4 m2 square plots were divided with a wire into four 1 m2 subplots, the same sampling unit used in Ritsche et al. (2021). Cork oak natural regeneration were assessed in 20 subplots per 500 m2 plots, i.e., in 40 subplots per stand and 80 in total. The number of acorns, the number of plants per height class (h ≤ 10 cm; 10 < h ≤ 30 cm; h > 30 cm), and the number of dead plants were recorded in each subplot. In the square plots located in the center of the circular plots (square plot 1 – Figure 2) or in the square plots with higher densities of cork oak natural regeneration, h, and basal diameter (d0.10) of seedlings, and the number of germinated and ungerminated acorns were also assessed. Seedling mortality was assumed whenever the seedling disappeared or was dry (Acácio et al., 2007) and could not be resprouting. The cork oak natural regeneration was monitored in February, June, September 2022, and January 2023.
The density of the cork oak natural regeneration was estimated based on the number of individuals per unit of the sampled area (Pausas et al., 2006; Maltez-Mouro et al., 2007; Figueira, 2012; Ritsche et al., 2021).
2.2.2 Data processing and statistical analysis
The tree canopy area (ac) was calculated using the average of the four crown radii evaluated in the field. Stand canopy area (Ac) was calculated as the sum of the canopy area of the individual trees. Stand canopy cover (Cc) was the proportion of the stand covered by the vertical projection of the tree crowns. In addition, the horizontal structure of stands based on the distribution of the number of individuals per diameter class (range 5 cm) was analyzed.
The stand density was evaluated as stem number of living trees with a minimum height of 1.30 m (N, trees ha−1), basal area (G, m2 ha−1), and Stand Density Index (SDI, %) defined by Reineke (1933). The SDI can be interpreted as the maximum expected stand number of trees (N, trees ha−1) when its quadratic mean diameter (dg, cm) is 25 cm. The SDI assumes that the variation in the number of trees is proportional to their diameter growth. The self-thinning line used in the SDI calculation for cork oak is based on the research conducted by Fonseca et al. (2017).
Statistical analysis were performed with the IBM SPSS Statistics 25 software (Marôco, 2014). Differences in the number of acorns, seedlings, and mortality between stands A and B were analyzed using the non-parametric Wilcoxon-Mann–Whitney test (Hair et al., 2009). The analysis was performed considering the data of the ten plots of 4 m2 (five in each of the 500 m2 plots) per stand for each field measurement. Repeated measures ANOVA was used to assess the existence of significant differences between the means of the total number of seedlings in stand A over the field measurements (Hair et al., 2009). The data followed a normal distribution.
3 Results
This section briefly presents the dendrometric evaluations’ results and the cork oak’s natural regeneration.
Stand A faces North with 24° slope, while stand B faces Northwest with 19° slope. The stand density and canopy area were higher in stand A (N = 600 trees ha−1; G = 26.2 m2 ha−1; SDI = 75%; Ac = 847.25 m2; Cc = 84.7%) compared with stand B (N = 260 trees ha−1; G = 6.0 m2 ha−1; SDI = 20%; Ac = 239.59 m2; Cc = 24%). Stand A is occupied by trees with higher values of d, h, hbc, and ac and has higher dg. The values were calculated based on the total number of living trees observed in the two plots of each stand, 60 and 26 trees, respectively (Table 5). Although the values are higher in stand A, the standard deviation is also higher than in stand B, showing greater variability of dimensions in the former (Table 5).
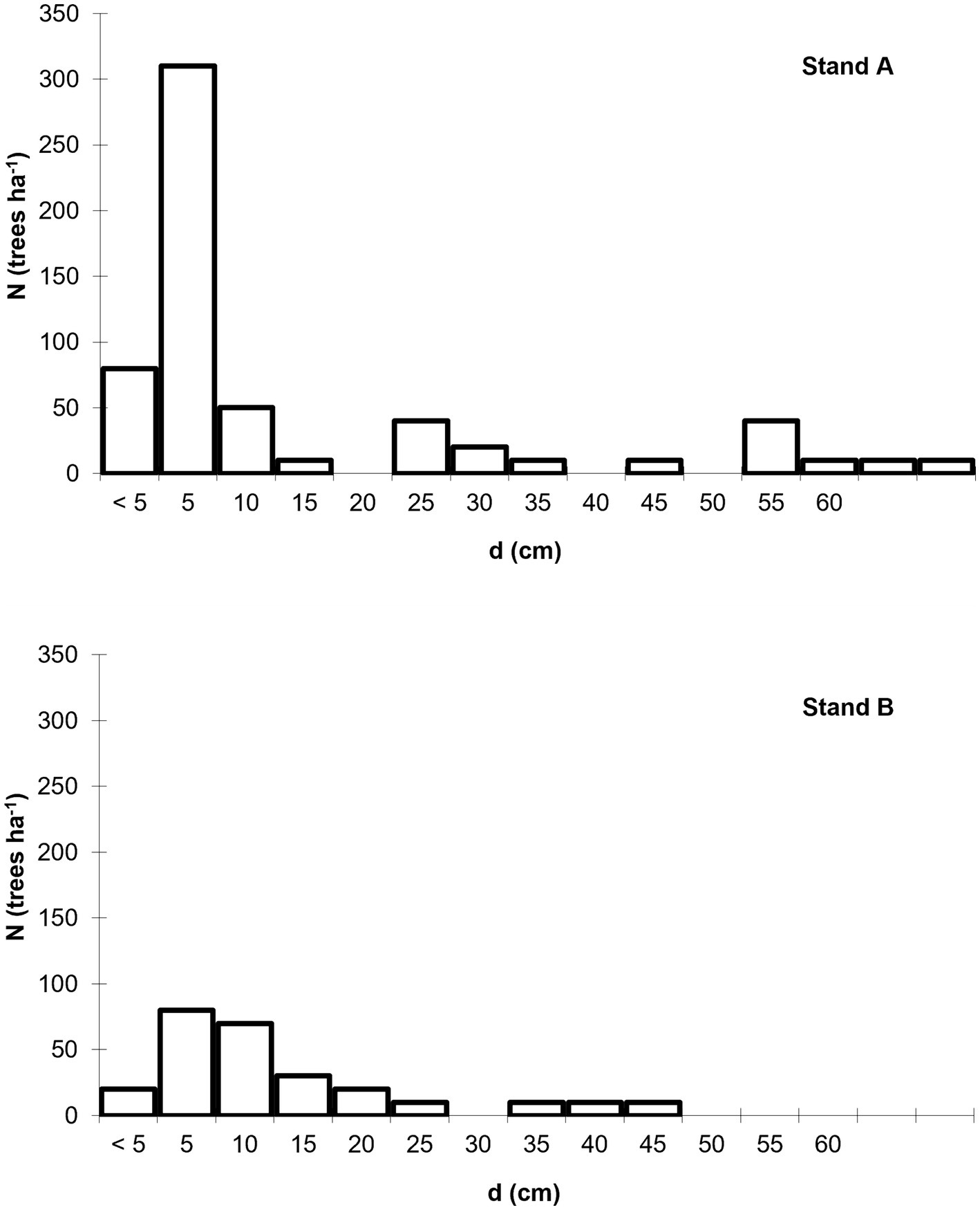
Figure 3 shows the horizontal structure of stands A and B based on the distribution of the number of trees per diameter class (range 5 cm). The d values represent the diameter classes, and on the x-axis are presented the central values of the diameter classes.
Figure 3

Diameter distribution of stands A and B.
Stands A and B present an uneven-aged structure with a distribution of trees over a wide diameter range with the dominance of trees in smaller diameter classes (Figure 3). The 5 cm class corresponds to the modal class in both stands, with a higher value in stand A. In addition to the high number of trees in small diameter classes, stand A also has trees in diameter classes above 55 cm.
The mean and standard deviation of the variables (number of acorns, number of seedlings per height class, number of seedlings and seedling mortality) recorded in the sets of the ten 4 m2 plots installed in each stand, i.e., five plots of 4 m2 in each circular plot (A1, A2, B1, and B2) in the four assessments are presented in Table 6.
Table 6
| Field measurement/stand | N. obs | Acorns number | Seedling number | Seedling number | Seedling mortality | ||
|---|---|---|---|---|---|---|---|
| Height class (cm) | |||||||
| ≤ 10 | 10–30 | > 30 | |||||
| February 2022 | |||||||
| A | 10 | 27.2 ± 28.1 | 11.9 ± 13.1 | 6.2 ± 7.0 | 2.5 ± 2.5 | 20.6 ± 16.8 | 0.1 ± 0.3 |
| B | 10 | 3.2 ± 7.5 | 0.0 ± 0.0 | 0.0 ± 0.0 | 0.1 ± 0.3 | 0.1 ± 0.3 | 0.0 ± 0.0 |
| June 2022 | |||||||
| A | 10 | 19.7 ± 18.2 | 12.3 ± 15.3 | 8.5 ± 9.7 | 2.0 ± 2.2 | 22.8 ± 19.2 | 0.0 ± 0.0 |
| B | 10 | 0.4 ± 1.3 | 0.4 ± 1.3 | 0.0 ± 0.0 | 0.2 ± 0.4 | 0.6 ± 1.3 | 0.0 ± 0.0 |
| September 2022 | |||||||
| A | 10 | 7.5 ± 8.2 | 9.6 ± 11.5 | 9.0 ± 12.0 | 2.4 ± 2.5 | 21.0 ± 19.2 | 2.2 ± 4.3 |
| B | 10 | 0.0 ± 0.0 | 0.0 ± 0.0 | 0.0 ± 0.0 | 0.2 ± 0.4 | 0.2 ± 0.4 | 0.2 ± 0.6 |
| January 2023 | |||||||
| A | 10 | 9.0 ± 8.7 | 9.5 ± 11.1 | 7.4 ± 10.6 | 2.8 ± 2.9 | 19.7 ± 18.3 | 0.6 ± 0.8 |
| B | 10 | 2.7 ± 4.4 | 0.0 ± 0.0 | 0.0 ± 0.0 | 0.2 ± 0.4 | 0.2 ± 0.4 | 0.2 ± 0.6 |
Mean (± standard deviation) values of the number of acorns, number of seedlings per height class, number of seedlings and mortality of seedlings per field measurement and stand.
N. obs = number of observations. Values per 4 m2 square plots.
The highest mean values for acorns and seedlings of cork oak were observed in stand A, mainly in February and June 2022 (Table 6). The field measurement with the lowest mean number of acorns was September (after the summer season) in both stands. In stand A, the mean number of acorns was 7.5/4 m2, while in stand B was null. In stand A, the mean number of acorns decreased by 28% from February to June and 62% from June to September, with an increase of 20% from September to January. The same pattern was observed in stand B. The decrease in the mean number of acorns during the field measurement was not proportional to the increase in the mean number of seedlings, being the decrease in the mean number of acorns was greater than the increase in seedlings (Table 6). The highest mean number of seedlings was observed in June in stand A (22.8/4 m2). The lowest mean number of seedlings was recorded in February 2022 and January 2023. Seedling mortality was higher in September and January. In stand A, the mean number of dead seedlings was 2.2/4 m2 in September (corresponding to 9.5% of the total seedlings) and 0.6/4 m2 in January 2023 (3% of the total seedlings). Stand B, showed a low mean number of seedlings, 0.1/4 m2 and 0.6/4 m2 respectively, in February and June, with no observation of dead seedlings; and in September and January (Table 6) it was observed a mean number of alive of 0.2/4 m2 and dead seedlings of 0.2/4 m2.
The highest mean number of seedlings with heights ≤10 cm were recorded in both stands in June 2022 and the highest mean number of seedlings with heights above 30 cm in January (Table 6).
The results of the Wilcoxon-Mann–Whitney test to evaluate if there are significant differences between the two groups, stand A and stand B, for each field measurement can be observed in Table 7. The mean number of acorns differed statistically between the two stands in field measurements taken in February, June, and September (p < 0.05) and showed a trend towards difference in January 2023 (p = 0.051) (Table 7). In addition, it is observed that the mean rank of acorns is superior in stand A. We can conclude that the number of acorns in stand A is greater than the number of acorns in stand B.
Table 7
| Field measurement | Acorns number | Seedling number | Seedling number | Seedling mortality | ||
|---|---|---|---|---|---|---|
| Height class (cm) | ||||||
| ≤ 10 | 10–30 | > 30 | ||||
| February 2022 | ||||||
| Mean rank A | 14.4 | 14.5 | 15.0 | 13.8 | 15.5 | 11.0 |
| Mean rank B | 6.6 | 6.5 | 6.0 | 7.3 | 5.6 | 10.0 |
| Asymp. sig.* | 0.003 | 0.001 | 0.000 | 0.005 | 0.000 | 0.317 |
| June 2022 | ||||||
| Mean rank A | 14.8 | 14.6 | 15.0 | 13.4 | 15.2 | 10.5 |
| Mean rank B | 6.2 | 6.5 | 6.0 | 7.6 | 5.9 | 10.5 |
| Asymp. Sig.* | 0.001 | 0.001 | 0.000 | 0.015 | 0.000 | 1.00 |
| September 2022 | ||||||
| Mean rank A | 15.0 | 15.0 | 15.0 | 13.5 | 15.4 | 12.6 |
| Mean rank B | 6.0 | 6.0 | 6.0 | 7.5 | 5.6 | 8.5 |
| Asymp. sig.* | 0.000 | 0.000 | 0.000 | 0.012 | 0.000 | 0.053 |
| January 2023 | ||||||
| Mean rank A | 13.0 | 15.0 | 15.0 | 13.5 | 15.4 | 11.9 |
| Mean rank B | 8.0 | 6.0 | 6.0 | 7.5 | 5.6 | 9.1 |
| Asymp. sig.* | 0.051 | 0.000 | 0.000 | 0.013 | 0.000 | 0.163 |
Results of the Wilcoxon-Mann–Whitney.
*Asymp. sig. (2-tailed), p.
The mean number of seedlings, regardless of their height, was statistically different for the two stands in four field measurements (p < 0.05) and all values are greater in stand A.
No statistically significant differences in seedling mortality were found between stands (p > 0.05) in any of the measurements (Table 7).
The results of the Repeated Measures ANOVA for stand A are presented in Table 8. The Mauchly test was performed, and sphericity of the field measurements is violated (p-value = 0.000). In the Within-Subjects Effects test, the F-value (0.520) of the Greenhouse–Geisser epsilon (more robust for small samples) and the significance value show that there are no differences between the means of the total number of seedlings over the course of field measurements (Table 8).
Table 8
| Source | Type III Sum of Squares | df | Mean Square | F | Sig. | |
|---|---|---|---|---|---|---|
| Living seedlings | Greenhouse–Geisser | 50.875 | 1.148 | 44.303 | 0.520 | 0.511 |
Results of the tests of Within-Subjects effects: living seedlings in stand A.
df = degrees of freedom.
4 Discussion
Stand A has a higher density than stand B. Based on the researched by Fonseca et al. (2017) stand A is in the self-thinning line (SDI = 75%), while stand B has an occupation of 20% under the on-set of competition (initial crown closure) (Long, 1985). Stand A has trees distributed over an extensive range of diameters, with trees in the 60 cm class and upper. On the other hand, stand B has trees distributed predominantly in diameter classes of smaller dimensions. The gaps observed in some diameter classes (20, 40, and 50 cm in stand A, and 30 cm in stand B) might reflect the existence of groups of trees of different ages.
Stand A, a denser stand with higher canopy cover showed overall a greater availability of acorns on the ground and seedlings than stand B. The lower acorn availability in stand B may be due to a lower tree density (Acácio et al., 2007). The results obtained in this study for cork oak forest systems in Northern Portugal are in accordance with trends reported in southern Portugal (Algarve and Alentejo provinces) and in the North subdivision of the Central plateau of the Iberian Peninsula (Salamanca province), where dense stands have shown a greater supply of acorns and a higher density of seedlings (Acácio et al., 2007; Montero-Muñoz et al., 2021; Ritsche et al., 2021).
Higher acorn availability was observed in February, and a recovery in acorn numbers was visible in January after a scenario of a decrease. The trend may be explained by the highest seed production typically occurring in November and December (Natividade, 1990; Reis, 1998). In addition, the decrease in acorns observed in the study area could also have been due to predation and/or grazing, as evidenced in some studies such as Herrera (1995), Pérez-Ramos et al. (2004), Acácio et al. (2007), Pérez-Ramos et al. (2008), Arosa et al. (2015), and Sanches (2016). The number of seedlings was higher in June due to the germination of the acorns, which find conditions favorable in terms of temperature and soil humidity and moisture in April–May (Arosa et al., 2015).
More dead seedlings were found in September, after the dry summer season. This result confirms the initial hypothesis that high temperatures and drought during summer negatively influences cork oak seedlings by increasing their mortality. Moreover, our results are in line with what has already been observed in some studies in the Iberian Peninsula, where high rates of seedling mortality due to water stress have been recorded (Acácio et al., 2007; Mechergui et al., 2021), especially during the summer (Herrera, 1995; Marañón et al., 2004; Gómez-Aparicio et al., 2008; Pérez-Ramos et al., 2008, 2012; Pausas et al., 2009a; Arosa et al., 2015). Competition between the seedlings for water and nutrients, or poorly developed roots in depth, soil ploughing or harrowing and frequent shrub clearance, and others, may be some of the causes of mortality (see Table 3). However, mortality in stand A was very reduced (10%) compared to living seedlings, and no significant differences were observed between the mean of the total number of seedlings over the course of field measurements. This indicates the protective effect of high density and canopy cover in seedlings survival. Although this stand is above the lower limit of self-thinning (Long, 1985; Fonseca et al., 2017), it is within the density range of 50–75%, which is considered the appropriate range to promote sowing (Nsibi et al., 2006) and the establishment of cork oak seedlings (Boussaidi et al., 2010). Several researchers point out that dense stands can protect seedlings from direct radiation, retain soil moisture, and decrease the impact of summer droughts (Acácio et al., 2007; Plieninger et al., 2010; Arosa et al., 2015). In addition, shade is considered necessary for the survival of young cork oak plants (Costa and Pereira, 2007a; Pausas et al., 2009a), especially in the first years (Pausas et al., 2009a). Our results align with the formulated study hypothesis that cork oak regeneration depends on stand canopy cover that influences the success of the establishment and survival of the natural regeneration of the species. In the context of climate change, our results are of great importance as a large reduction in precipitation and an increase in the number of heat waves have already been recorded for the study period. Severe to extreme drought was observed between January to September 2022 (IPMA, 2023a), where the percentage of water in the soil down to 100 cm deep relatively to water available to plants varied between 20 to 10% in the region, less than 10% during winter and near wilting point in summer (IPMA, 2023a). Adult trees can access deep-water resources, but new emerging seedlings do not have their root system deeply developed and depend on superficial soil water. It is very significant that the majority of plants have managed to survive in these extreme conditions, which may indicate that the effects of climate change can be mitigated through tree cover. It is also worth mentioning that, in addition to the protective effect that tree cover provides in a more general way, cork oaks have the ability to perform hydraulic lift, bringing water from depth to the more superficial soil layers (Kurz-Besson et al., 2006), which can facilitate seedlings survival. This work highlights the importance of dense canopy cover in seedlings survival to extreme droughts, despite possible competition for water resources, a result that should be considered into forestry management.
Although the study is geographically confined, with only two plots per stand in one region of Portugal, the variability of natural regeneration was considered by installing 20 square sub-plots of 1 m2 in plots of 500 m2. The results obtained in this case study were in line with other studies and provided valuable insights into future research on cork oak regions under different edaphoclimatic conditions.
5 Conclusion
This paper focuses on discerning the protective effect of canopy cover on seedling survival at distinct developmental stages (acorns and seedlings) over seasons in cork oak forests in Northeast Portugal during a period of extreme drought. The case study confirmed the hypothesis that cork oak regeneration depends on stand density that influences the success of the establishment and survival of the natural regeneration of the species, despite possible competition for scarce water resources. Areas with denser stands exhibited a higher number of acorns and seedlings, underscoring the importance of canopy cover. Furthermore, we observed that extreme drought and heat worsened the typical summer climate, pose significant challenges to cork oak seedling survival. Stand density emerges as a key factor in mitigating these adverse effects, with denser stands and greater canopy cover showing lower seedling mortality rates. Based on this result, cork oak forest management should consider the maintenance of high canopy cover to protect natural regeneration, especially in the context of climate change, as they guarantee a greater potential seed bank and foster optimal soil temperature and moisture conditions critical for seedling growth, especially in areas exposed to high summer temperatures. Nevertheless, it should be noted that there must be a balance between the greater degree of shade provided by a denser cover, with a regularizing effect on the temperature range, and the greater competition for resources and light to which the plants will be subjected. In low-density stands with low crown cover, like stand B, sowing is recommended to ensure the perpetuity of the natural regeneration of the cork oak.
Further research should be conducted to infer the optimal canopy cover for safeguarding natural regeneration in the cork oak areas across various edaphoclimatic conditions.
Statements
Data availability statement
The original contributions presented in the study are included in the article/supplementary material, further inquiries can be directed to the corresponding author.
Author contributions
SR: Writing – review & editing, Writing – original draft, Resources, Methodology, Investigation, Formal analysis, Conceptualization. AC: Writing – review & editing, Resources, Formal analysis, Conceptualization. PS: Writing – review & editing, Resources, Conceptualization, Funding acquisition. NR: Writing – review & editing, Resources, Conceptualization. CC-A: Writing – review & editing, Resources, Conceptualization. TF: Writing – review & editing, Resources, Project administration, Funding acquisition, Formal analysis, Conceptualization.
Funding
The author(s) declare financial support was received for the research, authorship, and/or publication of this article. This work was supported by National Funds by FCT - Fundação para a Ciência e a Tecnologia, I.P. by projects references UIDB/00239/2020 of the Forest Research Centre, DOI 10.54499/UIDB/00239/2020, LA/P/0092/2020 of Associate Laboratory TERRA, DOI 10.54499/LA/P/0092/2020 and UIDB/04033/2020 of CITAB, DOI 10.54499/UIDB/04033/2020. This article was developed as part of the project ForManRisk—Forest Management and Natural Risks (SOE3/P4/F0898) and research grant BI/UTAD/32/2020. This research was partially supported by national funds provided by the FCT to the project LA/P/0063/2020.
Acknowledgments
The authors thank the Association APATA, with a special thanks to Acácio Cordeiro for making the study area available and hosting the research carried out there. Thanks to Carlos Fernandes and Délio Sousa from CIFAP-UTAD for their valuable contribution to field data collection. Thanks, are also due to the University of Almería Ph.D. students, Antonio Lagares and Rocio Martínez, for their collaboration in field data collection and knowledge sharing. We also thank Duarte Araújo (GisTree) for his help in the elaboration of the cartography present in this article.
Conflict of interest
The authors declare that the research was conducted in the absence of any commercial or financial relationships that could be construed as a potential conflict of interest.
The author(s) declared that they were an editorial board member of Frontiers, at the time of submission. This had no impact on the peer review process and the final decision.
Publisher’s note
All claims expressed in this article are solely those of the authors and do not necessarily represent those of their affiliated organizations, or those of the publisher, the editors and the reviewers. Any product that may be evaluated in this article, or claim that may be made by its manufacturer, is not guaranteed or endorsed by the publisher.
Footnotes
References
1
Acácio V. Dias F. S. Catry F. X. Bugalho M. N. Moreira F. (2021). Canopy cover loss of mediterranean oak woodlands: long-term effects of management and climate. Ecosystems24, 1775–1791. doi: 10.1007/s10021-021-00617-9
2
Acácio V. Holmgren M. (2014). Pathways for resilience in Mediterranean cork oak land use systems. Ann. For. Sci.71, 5–13. doi: 10.1007/s13595-012-0197-0
3
Acácio V. Holmgren M. Jansen P. A. Schrotter O. (2007). Multiple recruitment limitation causes arrested succession in mediterranean cork oak systems. Ecosystems10, 1220–1230. doi: 10.1007/s10021-007-9089-9
4
Agroconsultores and Coba (1991). Carta dos solos, carta do uso actual da terra e carta aptidão da terra do Nordeste de Portugal: Memórias. Vila Real: UTAD.
5
Álvarez E. T. González G. M. Suárez De La Cámara M. A. (1997). “Seguimiento de la regeneración natural de alcornoque bajo condiciones microecológicas diferentes” in I Congreso Florestal Hispano Luso: II Congreso Florestal Español. ed. NavarraGovierno de, (Pamplona: Sociedad Española de Ciencias Florestales). 535–540.
6
APCOR (2016). Portuguese Cork association. Statistics Available at: https://www.apcor.pt/en/media-center/statistics/ (Accessed 5 April 2023).
7
APCOR (2019). Information Bureau. Importância Ambiental. Santa Maria de Lamas, Portugal: APCOR.
8
Arosa M. L. Ceia R. S. Costa S. R. Freitas H. (2015). Factors affecting cork oak (Quercus suber) regeneration: acorn sowing success and seedling survival under field conditions. Plant Ecol. Divers8, 519–528. doi: 10.1080/17550874.2015.1051154
9
Barros M. C. O. Calado N. Gomes A. A. Inácio M. L. Lopes F. J. Marcelino A. C. et al . (2006). Boas práticas de gestão em sobreiro e azinheira. Lisboa: Direcção – Geral dos Recursos Florestais.
10
Bossema I. (1979). Jays and oaks: an eco-ethological study of a Symbiosis. Behaviour70, 1–116. doi: 10.1163/156853979X00016
11
Boussaidi N. Ncibi R. Hasnaoui I. Gammar Z. G. (2010). Impacts des facteurs orographiques et anthropiques sur la régénération naturelle du chêne-liège (Quercus suber) dans la région de Kroumirie, Tunisie. Rev. Ecol. (Terre Vie)65, 235–242. doi: 10.3406/revec.2010.1528
12
Bugalho M. Caldeira M. Pereira J. Aronson J. Pausas J. (2011). Mediterranean cork oak savannas require human use to sustain biodiversity and ecosystem services. Front. Ecol. Environ.9, 278–286. doi: 10.1890/100084
13
Bugalho M. N. Milne J. A. (2003). The composition of the diet of red deer (Cervus elaphus) in a Mediterranean environment: a case of summer nutritional constraint?For. Ecol. Manag.181, 23–29. doi: 10.1016/s0378-1127(03)00125-7
14
Caldeira M. C. Ibáñez I. Nogueira C. Bugalho M. N. Lecomte X. Moreira A. et al . (2014). Direct and indirect effects of tree canopy facilitation in the recruitment of Mediterranean oaks. J. Appl. Ecol.51, 349–358. doi: 10.1111/1365-2664.12189
15
Camilo-Alves C. Clara M. Ribeiro N. (2013). Decline of mediterranean oak trees and its association with Phytophthora cinnamomi: a review. Eur. J. For. Res.132, 411–432. doi: 10.1007/s10342-013-0688-z
16
Camilo-Alves C. S. P. Vaz M. da Clara M. I. Ribeiro N. A. (2017). Chronic cork oak decline and water status: new insights. New For.48, 753–772. doi: 10.1007/s11056-017-9595-3
17
Cañellas I. R. V. Pardos M. M. Montero G. G. (2003). Efecto de la sombra en la regeneración natural del alcornoque (Quercus suber L.). Cuadernos de la SECF15, 107–112.
18
Carvalho M. F. R. (2008). “Efeitos da herbivoria e do microhabitat na sobrevivência e crescimento de plântulas de sobreiro, Quercus suber” in Mestrado em Biologia da Conservação Dissertação. ed. de CiênciasF.. (Lisboa: Universidade de Lisboa).
19
Catry F. X. Bugalho M. Silva J. S. Fernandes P. (2010). “Gestão da vegetação pós-fogo” in Ecologia do fogo e gestão de áreas ardidas. eds. MoreiraF.CatryF. X.SilvaJ. S.RegoF., Lisboa: ISA Press. 289–323.
20
Costa A. Pereira C. (2007a). “Manual de instalação de novos povoamentos com sobreiro” in Aplicação de boas práticas nas regiões da Chamusca e de Alcácer do Sal (Lisboa: ISA, ERENA, ANSUB, ACHAR).
21
Costa A. Pereira H. (2007b). “Montados e sobreirais: uma espécie, duas perspectivas” in Árvores e Florestas de Portugal, Os montados, Muito para além das árvores. ed. SilvaJ. S. (Lisboa: Público e Fundação Luso-Americana para o Desenvolvimento), 17–37.
22
Dias F. S. Miller D. L. Marques T. A. Marcelino J. Caldeira M. C. Orestes Cerdeira J. et al . (2016). Conservation zones promote oak regeneration and shrub diversity in certified Mediterranean oak woodlands. Biol. Conserv.195, 226–234. doi: 10.1016/j.biocon.2016.01.009
23
Díaz-Fernández P. Climent J. Gil L. (2004). Biennial acorn maturation and its relationship with flowering phenology in Iberian populations of Quercus suber. Trees18, 615–621. doi: 10.1007/s00468-004-0325-z
24
Duarte I. G. R. M. (2008). “Estudo da regeneração da paisagem após o fogo de 2004 na Serra do Caldeirão” in Mestrado em Gestão e Conservação da Natureza Dissertação (Faro: Universidade do Algarve).
25
Duarte I. M. Rego F. C. Fonseca L. C. (2009). Avaliação da regeneração da paisagem após incêndio de 2004 na serra do caldeirão. Rev. Port. Estud. Reg.20, 41–60. doi: 10.59072/rper.vi20.273
26
EUFORGEN (2023). Quercus suber. Available at: https://www.euforgen.org/species/quercus-suber/ (Accessed 6 January 2023).
27
Figueira A. T. (2012). “Efeitos da composição e estrutura do estrato arbustivo na diversidade vegetal e na regeneração/sobrevivência de sobreiro em sistema de montado” in Mestrado em Gestão e Conservação de Recursos Naturais Dissertação (Évora: Instituto Superior de Agronomia, Universidade de Évora).
28
Fonseca T. Martins L. M. (2015). Declínio do sobreiro: causas e medidas de prevenção. Vila Real: Universidade de Trás-os-Montes e Alto Douro.
29
Fonseca T. Monteiro L. Enes T. Cerveira A. (2017). Self-thinning dynamics in cork oak woodlands: providing a baseline for managing density. For. Syst.26:10105:e006. doi: 10.5424/fs/2017261-10105
30
Godinho S. Guiomar N. Machado R. Santos P. Sá-Sousa P. Fernandes J. P. et al . (2016). Assessment of environment, land management, and spatial variables on recent changes in montado land cover in southern Portugal. Agrofor. Syst.90, 177–192. doi: 10.1007/s10457-014-9757-7
31
Gómez-Aparicio L. Perez-Ramos I. Mendoza I. Matías L. Quero J. Castro J. et al . (2008). Oak seedling survival and growth along resource gradients in Mediterranean forests: implications for regeneration in current and future environmental scenarios. Oikos117, 1683–1699. doi: 10.1111/j.1600-0706.2008.16814.x
32
González M. L. A. (2015). The decline of cork oak woodlands: Biotic and abiotic interactions in portuguese montados. [Doutoramento em Biociências Tese]. Coimbra: Universidade de Coimbra.
33
Hair J. F. Black W. C. Babin B. J. Anderson R. E. (2009). Multivariate data analysis. London, UK: Pearson.
34
Herrera J. (1995). Acorn predation and seedling production in a low-density population of cork oak (Quercus suber L.). For. Ecol. Manag.76, 197–201. doi: 10.1016/0378-1127(95)03566-S
35
Ibáñez B. Gómez-Aparicio L. Ávila J. M. Pérez-Ramos I. M. Marañón T. (2017). Effects of Quercus suber decline on woody plant regeneration: potential implications for successional dynamics in mediterranean forests. Ecosystems20, 630–644. doi: 10.1007/s10021-016-0044-5
36
ICNF (2019). 6.° Inventário Florestal Nacional: 2015 relatório final. Lisboa: ICNF.
37
IPMA (2023a). Boletim Anual 2022. Lisboa: IPMA.
38
IPMA (2023b). Boletim Climatológico Portugal Continental. Fevereiro 2022. Lisboa: IPMA.
39
IPMA (2023c). Boletim Climatológico Portugal Continental. Janeiro 2023 (Lisboa: IPMA).
40
IPMA (2023d). Boletim Climatológico Portugal Continental. Junho 2022. Lisboa: IPMA.
41
IPMA (2023e). Boletim Climatológico Portugal Continental. Setembro 2022 (Lisboa: IPMA).
42
IPMA (2023f). Normais climatológicas. Availabe at: https://www.ipma.pt/pt/oclima/normais.clima/?print=true (Accessed 21 March 2023).
43
IPMA (2023g). Portal do clima: Alterações climáticas em Portugal. Availabe at: http://portaldoclima.pt/pt/ (Accessed 21 March 2023).
44
Jdaidi N. Chaabane A. Khemiri I. Hasnaoui B. (2017). Influence of the environmental and anthropological factors on the natural regeneration of cork oak (Quercus suber) in the northwest of Tunisia during period (1983-2009). Algerian J. Arid Environ.7, 18–28.
45
Jdaidi N. Chaabane A. Toumi L. Hasnaoui B. (2018). Influence de l’état sanitaire des glands sur la régénération de Quercus suber en Tunisie. Rev. Ecol. (Terre Vie)73, 71–79. doi: 10.3406/revec.2018.1912
46
Krebs C. J. (1999). Ecological methodology. USA: Benjamin/Cummings.
47
Kurz-Besson C. Otieno D. Lobo Do Vale R. Siegwolf R. Schmidt M. Herd A. et al . (2006). Hydraulic lift in cork oak trees in a savannah-type mediterranean ecosystem and its contribution to the local water balance. Plant Soil282, 361–378. doi: 10.1007/s11104-006-0005-4
48
Laaribya S. (2023). A review analysis of the degradation of cork oak forests in North Atlantic, Morocco. J. Biometry Stud.3, 54–59. doi: 10.61326/jofbs.v3i2.05
49
Long J. N. (1985). A practical approach to density management. For. Chron.61, 23–27. doi: 10.5558/tfc61023-1
50
Maltez-Mouro S. García L. V. Marañón T. Freitas H. (2007). Recruitment patterns in a mediterranean oak forest: a case study showing the importance of the spatial component. For. Sci.53, 645–652. doi: 10.1093/forestscience/53.6.645
51
Marañón T. Zamora R. Villar R. Zavala M. Quero J. Perez-Ramos I. et al . (2004). Regeneration of tree species and restoration under constrasted mediterranean habitats: field and glasshouse experiments. Int. J. Ecol. Environ. Sci.30, 187–196.
52
Marôco J. (2014). Análise estatística com o SPSS statistics. Pêro Pinheiro: ReportNumber.
53
Marques C. P. Fonseca T. F. Duarte J. C. (2018). Guia prático de avaliações florestais – Inventário e Modelação Estatística. Faro: Sílabas & Desafios—Unipessoal Lda.
54
Mechergui T. Pardos M. Jacobs D. F. (2021). Effect of acorn size on survival and growth of Quercus suber L. seedlings under water stress. Eur. J. For. Res.140, 175–186. doi: 10.1007/s10342-020-01323-2
55
MITECO (2020). “Estructura forestal: caracterización de los bosques y otras superficies forestales” in Anuario de Estadística Forestal 2018. ed. DemográficoMinisterio para la Transición Ecológica y el Reto (Madrid: MITECO), 5–16.
56
Montero G. Torres E. Cañellas I. (1994). Regeneración de alcornocales: síntesis bibliográfica. Ecología8, 271–283.
57
Montero G. Zulueta J. González-Adrados J. R. (1989). Alcornocales españoles. Conocimientos de su selvicultura y temas de necesaria investigación. Scientia Gerundensis15, 63–84.
58
Montero-Muñoz J. L. Ureña C. Navarro D. D. Herrera V. Alonso-Rojo P. Hernández-Alonso H. et al . (2021). Regeneration dynamics in fragmented landscapes at the leading edge of distribution: Quercus suber woodlands as a study case. Plant Soil467, 311–327. doi: 10.1007/s11104-021-05077-7
59
Mundet R. Baiges T. Beltrán M. Torrell A. (2018). Guía de recomendaciones y medidas de adaptación al cambio climático en la gestión de Quercus Proyecto Life+SUBER. Proyecto Life+SUBER.
60
Natividade J. V. (1990). Subericultura. Lisboa: Ministério da Agricultura, Pescas e Alimentação, Direcção-Geral das Florestas.
61
Nsibi R. Souayha N. Khouia L. M. Bouzid S. (2006). La régénération naturelle par semis de la suberaie de Tabarka—Aïn Draham face aux facteurs écologiques et anthropiques. Geo-Eco-Trop30, 35–48.
62
Pardos M. Jiménez M. D. Aranda I. Puértolas J. Pardos J. (2005). Water relations of cork oak (Quercus suber L.) seedlings in response to shading and moderate drought. Ann. For. Sci.62, 377–384. doi: 10.1051/forest:2005033
63
Pausas J. G. Marañon T. Caldeira M. Pons J. (2009a). “Natural regeneration” in Cork oak woodlands on the edge, ecology, adaptive management, and restoration. eds. AronsonJ.PereiraJ. S.PausasJ. G.PressI. (Washington DC, USA: Island Press), 115–124.
64
Pausas J. G. Pereira J. Aronson J. (2009b). “The tree” in Cork oak woodlands on the edge. Ecology, adaptive management, and restoration. eds. AronsonJ.PereiraJ. S.PausasJ. G. (Washington DC, USA: Island Press), 11–21.
65
Pausas J. G. Ribeiro E. Dias S. G. Pons J. Beseler C. (2006). Regeneration of a marginal Quercus suber forest in the eastern Iberian Peninsula. J. Veg. Sci.17, 729–738. doi: 10.1111/j.1654-1103.2006.tb02496.x
66
Perez J. T. Burzaco A. Vasquez F. M. Perez M. C. Esparrago F. (1993). “La seca de la encina (Quercus rotundifolia Lam.) e del alcornocale (Quercus suber L.) en la provincial de Badajoz 1988–1992” in Congreso Forestal Español, 397–402.
67
Pérez-Ramos I. M. Domínguez M. T. Marañón T. (2004). Depredación de semillas de alcornoque (Quercus suber) y quejigo (Q. canariensis): una aproximación experimental. RSGHN4, 175–180.
68
Pérez-Ramos I. M. Marañón T. (2005). Limitaciones en la regeneración natural de las especies leñosas de un bosque mediterráneo. Almoraima31, 129–135.
69
Pérez-Ramos I. M. Marañón T. Lobo J. M. Verdú J. R. (2007). Acorn removal and dispersal by the dung beetle Thorectes lusitanicus: ecological implications. Ecol. Entomol.32, 349–356. doi: 10.1111/j.1365-2311.2007.00874.x
70
Pérez-Ramos I. M. Urbieta T. I. Zavala M. A. Marañón T. (2008). “Regeneration ecology of Quercus suber (cork oak) in southern Spain” in Suberwood: New challenges for the integration of cork oak forests and products. ed. VázquezJ. (Spain: University of Huelva), 195–204.
71
Pérez-Ramos I. M. Urbieta I. R. Zavala M. A. Marañón T. (2012). Ontogenetic conflicts and rank reversals in two Mediterranean oak species: implications for coexistence. Ecology100, 467–477. doi: 10.1111/j.1365-2745.2011.01912.x
72
Plieninger T. Rolo V. Moreno G. (2010). Large-scale patterns of Quercus ilex, Quercus suber, and Quercus pyrenaica regeneration in Central-Western Spain. Ecosystems13, 644–660. doi: 10.1007/s10021-010-9345-2
73
Pons J. Pausas J. G. (2006). Oak regeneration in heterogeneous landscapes: the case of fragmented Quercus suber forests in the eastern Iberian Peninsula. For. Ecol. Manag.231, 196–204. doi: 10.1016/j.foreco.2006.05.049
74
Pons J. Pausas J. G. (2007a). Acorn dispersal estimated by radio-tracking. Oecologia153, 903–911. doi: 10.1007/s00442-007-0788-x
75
Pons J. Pausas J. G. (2007b). Not only size matters: acorn selection by the European jay (Garrulus glandarius). Acta Oecol.31, 353–360. doi: 10.1016/j.actao.2007.01.004
76
Pulido F. Díaz M. (2002). “Dinámica de la regeneración natural del arbolado de encina y alcornoque” in La gestión forestal de las dehesas. eds. PulidoF. J.CamposP.MonteroG. (Mérida, IPROCOR), 39–62.
77
Pulido F. Picardo A. Campos P. Carranza J. Coleto J. Díaz M. et al . (2010). Libro Verde de la Dehesa. España: Consejería de Medio Ambiente, Junta Castilla La Mancha.
78
Ramos S. Vázquez F. M. Ruiz T. (2013). Ecological implications of acorn size at the individual tree level in Quercus suber L. ISRN Botany2013:310828, 1–6. doi: 10.1155/2013/310828
79
Reineke L. H. (1933). Perfecting a stand-density index for even-aged forests. Agric. Res. J.46, 627–638.
80
Reis A. (1998). Regeneração natural do sobreiro e continuidade da sua exploração. Lisboa: Ministério da Agricultura, do Desenvolvimento Rural e das Pescas, Direção-Geral das Florestas.
81
Ribeiro N. A. Dias S. S. Surovy P. Gonçalves A. Ferreira A. Oliveira A. C. (2004). The importance of crown cover on the sustainability of cork oak stands: a simulation approach. ADGEO37, 275–286.
82
Ribeiro J. R. D. P. Ribeiro N. A. Vaz M. M. A. Dinis C. O. Alves C. S. P. C. Beltrán R. S. et al . (2020) in Manual técnico de práticas silvícolas para a gestão sustentável em povoamentos de sobreiro e azinheira. eds. RibeiroJ. R. D. P.RibeiroN. A.PoeirasA. P. C., (Évora, Portugal: ICNF).
83
Ribeiro N. A. Surový P. (2008). Inventário Nacional de Mortalidade de Sobreiro na fotografia aérea digital de 2004/2006. Évora: Universidade de Évora.
84
Ribeiro N. A. Surový P. Pinheiro A. C. (2010) in "Adaptive management on sustainability of cork oak woodlands," in Decision support systems in agriculture, food and the environment: Trends, applications and advances. eds. ManosB.MatsatsinisN.PaparrizosK.PapathanasiouJ. (Hershey, PA, USA: IGI Global), 437–449.
85
Ribeiro N. A. Surovy P. Yoshimoto A. (2012). Optimal regeneration regime under continuous crown cover requirements in cork oak woodlands. FORMATH11, 83–102. doi: 10.15684/formath.11.83
86
Ritsche J. Katzensteiner K. Acácio V. (2021). Tree regeneration patterns in cork oak landscapes of southern Portugal: the importance of land cover type, stand characteristics and site conditions. For. Ecol. Manag.486:118970. doi: 10.1016/j.foreco.2021.118970
87
Sanches J. C. P. (2016). “Fatores que condicionam a regeneração natural de Quercus suber na serra de Grândola—a remoção de bolota” in Mestrado em Biologia da Conservação Dissertação (Lisboa: Faculdade de Ciências, Universidade de Lisboa).
88
Silva J. S. Catry F. (2006). Forest fires in cork oak (Quercus suber L.) stands in Portugal. Int. J. Environ. Stud.63, 235–257. doi: 10.1080/00207230600720829
89
Simões M. P. Belo A. F. Fernandes M. Madeira M. (2016). Regeneration patterns of Quercus suber according to montado management systems. Agrofor. Syst.90, 107–115. doi: 10.1007/s10457-015-9818-6
90
Sobehi Z. Abdelkrim H. Touati A. (2023). Regeneration of Quercus Forest after fire under the influence of ecological and environmental parameters. Int. J. Memb. Sci. Technol.10, 1164–1173. doi: 10.15379/ijmst.v10i3.1689
91
Sousa E. M. R. Santos M. N. S. Varela M. C. Henriques J. (2007). Perda de vigor dos montados de sobro e azinho: Análise da situação e perspectivas (documento síntese)", (ed.) Lisboa, Portugal: Ministério da Agricultura, do Desenvolvimento Rural e das Pescas, Direção-Geral dos Recursos Florestais, Instituto Nacional dos Recursos Biológicos, I.P., Estação Florestal Nacional.
92
Vennetier M. (2008). Impact de la répétition des incendies sur l'environnement. Aix-en-Provence: Cemagref.
93
Vizinho A. Príncipe A. Vasconcelos A. C. Rebelo R. Branquinho C. Penha-Lopes G. (2023). Using and creating microclimates for cork oak adaptation to climate change. Land12:531. doi: 10.3390/land12030531
Summary
Keywords
Quercus suber , acorns, germination, seedling survival, tree cover, forest management, global warming
Citation
Ribeiro S, Cerveira A, Soares P, Ribeiro NA, Camilo-Alves C and Fonseca TF (2024) Natural regeneration of cork oak forests under climate change: a case study in Portugal. Front. For. Glob. Change 7:1332708. doi: 10.3389/ffgc.2024.1332708
Received
03 November 2023
Accepted
29 May 2024
Published
11 June 2024
Volume
7 - 2024
Edited by
Hubert Hasenauer, University of Natural Resources and Life Sciences Vienna, Austria
Reviewed by
Barbara Mariotti, University of Florence, Italy
Csaba Eotvos, University of West Hungary, Hungary
Updates
Copyright
© 2024 Ribeiro, Cerveira, Soares, Ribeiro, Camilo-Alves and Fonseca.
This is an open-access article distributed under the terms of the Creative Commons Attribution License (CC BY). The use, distribution or reproduction in other forums is permitted, provided the original author(s) and the copyright owner(s) are credited and that the original publication in this journal is cited, in accordance with accepted academic practice. No use, distribution or reproduction is permitted which does not comply with these terms.
*Correspondence: Stéphanie Ribeiro, stephanier@utad.pt
Disclaimer
All claims expressed in this article are solely those of the authors and do not necessarily represent those of their affiliated organizations, or those of the publisher, the editors and the reviewers. Any product that may be evaluated in this article or claim that may be made by its manufacturer is not guaranteed or endorsed by the publisher.