Abstract
Collaborative fisheries research programs engage stakeholders in data collection efforts, often with the benefit of increasing transparency about the status and management of natural resources. These programs are particularly important in marine systems, where management of recreational and commercial fisheries have historically been contentious. One such program is the California Collaborative Fisheries Research Program (CCFRP), which was designed in 2006 to engage recreational anglers in the scientific process and evaluate the efficacy of California’s network of marine protected areas. CCFRP began on the Central Coast of California and expanded statewide in 2017 to include six partner institutions in three regions: Northern, Central, and Southern California. To date, over 2,000 volunteer anglers have participated in the program, with many anglers volunteering for multiple years. However, the impacts of outreach, education, and collaborative research on those anglers at the statewide scale are currently unknown. Thus, the objective of the current study was to survey the statewide pool of volunteer anglers to assess the degree to which participation in CCFRP has influenced angler perceptions of MPAs, fisheries management, and conservation. We received 259 completed surveys out of a pool of 1,386 active anglers, equating to an 18.7% response rate. Participation in CCFRP resulted in a significant, positive impact on anglers’ attitudes towards MPAs in California across all regions. Anglers who participated in six or more CCFRP fishing trips had a more positive perception of MPAs than those who participated in fewer trips. Volunteer anglers across all regions perceived that they caught larger fishes, a higher abundance of fishes, and a greater diversity of species inside MPAs, consistent with the ecological findings of the program. These results highlight the benefits of involving community members in collaborative scientific research. Collaboration between researchers and the broader community increases transparency and trust between stakeholders, and results in greater understanding of natural resource dynamics, ultimately producing better management outcomes.
1 Introduction
Over the last several decades, it has become increasingly clear that effective management of natural resources requires participation and engagement from key stakeholder groups (Charles and Wilson, 2009). Stakeholders often span diverse interests, including extractive users, recreational users, conservation groups, scientists, managers, and the general public. Developing approaches to engage these various groups, especially extractive users (e.g., recreational anglers), and understand their unique views is critical to the success of management strategies (Dimech et al., 2009). Stakeholders that participate throughout the management process report increased satisfaction with management, while increasing compliance with regulations and decreasing disruptive activities (Ban et al., 2020).
In many cases, management processes rely on scientific information to guide effective decision making. However, there has been historic mistrust of the science that supports management decisions by some stakeholders, especially for those groups whose industries and activities may be restricted – such as extractive resource users (Ordoñez-Gauger et al., 2018). Including these stakeholder groups in study design, implementation, and data collection through collaborative research can be an effective way to increase acceptance of scientific results that inform management decisions; expand communication between scientists, managers, and other stakeholders; and ultimately increase stakeholder support of the outcome of management processes (Saarman et al., 2013; Crandall et al., 2019). In addition, collaborative stakeholders can often provide first-hand insight into the resources and species they engage with regularly, which is invaluable information for effective study design and interpretation of results (Beierle, 2002). Despite this, research that integrates the knowledge and expertise of diverse stakeholders during planning and execution of fisheries studies is lacking (Mackinson et al., 2011), due in part to challenges associated with incorporating information from stakeholders in the fishing industry that include clearly defining the industry’s role in contributing to scientific study and having a defined system of quality assurance (Steins et al., 2022).
Stakeholder engagement can be especially important in marine conservation and fisheries research where stakeholder groups include both commercial and recreational anglers, as well as conservation organizations (Mackinson et al., 2011). These stakeholder groups often have differing opinions about how management actions should be implemented and the status of the marine resources, which can lead to contention. Over the last several decades, scientific data collection for fisheries assessments has become more complex, resulting in management actions and regulations that have become more restrictive (Hilborn, 2012), often prompting strong dissatisfaction and resistance from extractive users such as anglers (Cowan et al., 2012). Perceptions of how a resource is managed are often more important than the results of scientific study when it comes to support and compliance, and perception is often a function of stakeholder participation (Crandall et al., 2019). Therefore, there is great value in engaging extractive-use stakeholders in the scientific process. This engagement provides a transparent opportunity to participate in the process used to collect data that may be used to guide management decisions, potentially reframing angler perceptions.
One particular conservation strategy with both strong management actions and strong stakeholder opinions is the implementation of marine protected areas (MPAs). MPAs are a spatial management tool used to regulate and restrict a range of extractive human activities, including fishing (Rassweiler et al., 2012), and these spatially restrictive zones have been implemented worldwide (Dinerstein et al., 2019). For example, in California, a state along the Pacific coast of the USA, the Marine Life Protection Act of 1999 (MLPA) stipulated the redesign of existing MPAs to function as a comprehensive network with goals that included the protection of marine life and recovery of exploited species based on scientific guidelines (CDFG [California Department of Fish and Game], 2008). Despite ample research that shows the effectiveness of MPAs for population and community resilience (e.g., Lester et al., 2009; Edgar et al., 2014; Starr et al., 2015; Ziegler et al., 2022, 2023), and that MPAs increase abundance and body size of target species (e.g., Micheli et al., 2004; Lester et al., 2009; Stobart et al., 2009), the restriction of fishing activity that accompanies MPA implementation has generated opposition to MPAs from the recreational and commercial fishing communities (Jones, 2009; Bennett and Dearden, 2014).
Support of fisheries management decisions might benefit from more thorough engagement of commercial and recreational fishing stakeholders, particularly when those management decisions involve spatial closures (e.g., MPAs). For instance, artisanal fishers along the north-western Mediterranean coast had positive opinions of no-take zones that were explained by the participation of fishing guilds during the establishment of those protected areas (Leleu et al., 2012). On the other hand, fishers who felt excluded from the process of developing no-take zones in the Florida Keys National Marine Sanctuary in the USA were dissatisfied with the zoning strategy there (Suman et al., 1999). Collaborative MPA monitoring and research study designs that engage various stakeholder groups, especially anglers, are a potentially important way to build trust between the resource managers and anglers (Wendt and Starr, 2009; Yochum et al., 2012; Turner et al., 2016). Such approaches will facilitate peer-to-peer communication regarding the benefits of MPAs to other anglers and reduce non-compliant activities such as poaching (Ban et al., 2020), thereby possibly increasing support for MPAs and other key management actions more broadly. Additionally, experienced anglers are capable of providing scientists and resource managers with extensive local knowledge (Silvano and Begossi, 2012; Bellquist et al., 2017) – ranging from species’ habitat use to preferred tackle types and even stock status assertions – that can be key to successful study design. However, data investigating the relationship between collaborative research design and support for management actions are rare in monitoring programs originally designed to assess fisheries metrics for management decisions. Furthermore, few MPA monitoring studies attempt to collectively involve scientists, resource users, and resource managers.
The California Collaborative Fisheries Research Program (CCFRP) was designed in part to bridge this gap between scientists, resource managers, and the stakeholder group comprising the commercial and recreational angling community by engaging these communities in data collection to monitor the MPAs along the coast of California (Wendt and Starr, 2009). CCFRP was developed with input from California fishing communities, the commercial passenger fishing vessel industry (CPFV), commercial and recreational anglers, as well as academic researchers and resource managers. On a given survey day, volunteer anglers for CCFRP accompany scientists aboard chartered CPFVs, performing catch-and-release hook-and-line surveys inside and outside of MPAs while scientists collect morphometric data on fishes caught. The goals of CCFRP are to provide scientifically robust data for stock assessments, engage stakeholders in research and education about marine conservation, and to give fishers a real voice in science and management through collaboration and communication (Wendt and Starr, 2009). In addition to providing high-quality information on the status of nearshore fish populations and communities (Monk and He, 2019; Monk et al., 2021; Taylor et al., 2021), CCFRP also provides an opportunity to gain insight into how collaborative participation in fisheries monitoring studies impacts volunteer angler opinions about MPAs.
To quantify the impacts of collaborative participation in CCFRP on angler perceptions of MPAs and fisheries science, we designed and distributed a survey to all volunteer anglers who participated in the program from 2007 to 2021. We included questions designed to assess angler opinions and knowledge of MPA implementation in California, the ecological effects of MPAs, and fisheries management as well as gauge how well CCFRP has met the dual goals of engaging stakeholders and providing continued education. We addressed four primary areas: 1) Are opinions about MPAs different after volunteering with CCFRP and is there evidence of differential patterns in angler opinions related to geographic location or stakeholder participation metrics? 2) Are effects of MPAs reflected accurately in CCFRP volunteer angler perceptions of fishery metrics? 3) Has CCFRP impacted angler views on the scientific process, marine conservation, and stewardship? 4) Are CCFRP anglers representative of the general California angling community?
The overarching goals of the current survey are twofold: first, to evaluate whether the perceptions of recreational anglers about MPAs, fisheries management, and conservation has been affected by participation with CCFRP in all regions of California over time, and second, to assess whether CCFRP achieved the original program goals related to engagement of the angling community (Wendt and Starr, 2009). Given their willingness to participate in fisheries research, we predicted that volunteer anglers would have increased positive opinions about the implementation of California MPAs after volunteering with CCFRP, but that these changes in opinions would differ based on region and length of participation. Since research in other locations suggests that support of marine reserves, a type of MPA in which no take of marine resources is allowed, increases with time since the reserve was implemented (Navarro et al., 2018), we predicted that there would be a greater percentage of positive changes in perceptions in the Central California region, where CCFRP has sampled for 17 years and where the MPA network was first implemented. We also predicted that increased participation, measured in the number of trips taken with CCFRP, would increase accurate perceptions of MPA effects on fishes and increase positive perceptions of fisheries management. This is one of the first studies to explore the benefits of engaging recreational anglers in long-term fisheries research, especially with programs that focus on management strategies like MPAs. Importantly, many of the themes in this study directly test the original programmatic goals of engaging stakeholders in fisheries research and enhancing the conservation knowledge of participants in the collaborative process. Our results suggest that collaborative fisheries research provides a framework for enhanced trust and communication between resource managers, scientists, and anglers.
2 Methods
2.1 Survey design
The survey was designed with a series of questions that could be answered in approximately 15 minutes (Appendix A). Respondents were asked about how their participation with CCFRP impacted their opinion of MPAs and fisheries management. They were also asked about their experiences fishing with CCFRP and their perceptions of fish population dynamics inside and outside of MPAs. These questions were designed to assess the educational impacts of CCFRP participation and how participants in this program perceive the status of marine resources. In addition, we asked for a variety of demographic information and the length of time that respondents had participated in CCFRP. These questions gave context for analyzing participant responses and helped us compare CCFRP volunteer anglers to the broader angling community. This study builds on two previous surveys: a pilot study conducted in collaboration with staff from the NOAA Fisheries, which was developed and deployed in 2018 through Cal Poly San Luis Obispo (Kosaka, unpubl.), and a survey designed and distributed by CCFRP collaborators to CCFRP volunteer anglers across the Central Coast in 2018 (Mason et al., 2020), which provided evidence that long-term angler engagement with CCFRP led to more positive views of MPAs on the Central California coast. Where possible, questions were drafted from the two previous studies to generate comparable data to the results of those studies on a statewide scale. Additional questions were drafted to generate information about CCFRP anglers using question and answer combinations that we felt best represented questions we were interested in analyzing. For instance, we asked anglers about their motivations to fish within an MPA to better understand why they chose to volunteer with CCFRP.
We converted the survey to an online format using Qualtrics, a survey platform that allows the anonymous collection of survey responses. Respondents 18 years and older provided their consent by agreeing to participate in, filling out, and submitting the survey through Qualtrics. Qualtrics uses Transport Layer Security (TLS), which encrypts communications. Data collected in this format are secure and confidential because of TLS and the exclusion of any personally identifiable information. We also provided paper copies of the survey on a case-by-case basis to anglers who were unable to access or preferred not to use the online survey format. No personal identifying information was requested or recorded on the paper-based survey, and therefore, survey respondents remained anonymous. Our methods were approved by the Cal Poly Human Subjects Institutional Review Board under approval #2021-144.
2.2 Survey distribution
We recruited survey participants via email inquiries as well as verbal recruitment during CCFRP summer research activities. We distributed surveys to 1,386 volunteer anglers who maintained active contact information with CCFRP via an outreach email (Appendix C). Recipients of the survey were past and current volunteer anglers on each institutions’ email list. We did not send emails to volunteer anglers who were removed from the list for various reasons (e.g., moved out of the area). Reminder emails were sent by each of the CCFRP institutions to their region’s volunteer anglers at two, three, and four week intervals after the initial email was sent. We gave all survey participants a copy of the Informed Consent Form (Appendix B), which included the name and email addresses of project researchers, and invited survey participants to contact the project researchers for information on the results of the study upon completion.
2.3 Analyses
2.3.1 CCFRP angler demographics vs the broader California angling community
Age, gender identity, education, and income were the main demographic characteristics asked of participants as well as the zip code of their primary residence. We characterized these categories and compared the distribution of answers against distributions of demographic data from a NOAA-NMFS California recreational fishing expenditure study in 2020 (Sabrina Lovell, Office of Science and Technology, National Marine Fisheries Service, Personal Communication).
2.3.2 Volunteer opinion changes
To investigate changes in volunteer angler opinion, we asked survey participants their opinions about the creation of MPAs in California on a Likert ordinal scale (positive to negative) before and after volunteering with CCFRP. To obtain opinion change values from one respondent, we assigned numerical scores to their answers (positive = 1; somewhat positive = 2; neutral/no opinion = 3; somewhat negative = 4; negative = 5) and subtracted the ‘after’ score value from the ‘before’ score value to obtain a difference. A respondent with a negative difference was assigned to the category ‘negative change’, a positive difference was ‘positive change’, and if the difference was zero, the respondent was categorized as ‘no opinion change’.
We used a multinomial logistic regression from the nnet R package (Ripley and Venables, 2023) to test the effects of volunteer participation (measured in number of trips taken with CCFRP) and region on volunteer opinion change. All analyses were performed using R Statistical Software (version 3.6.2; R Core Team, 2019).
2.3.3 Perceived vs realized MPA effects
To assess whether volunteer anglers perceived a difference in abundance, size, and species diversity inside or outside MPAs, we performed three separate chi-square tests of equal frequency. We performed the same chi-square tests for each region to compare differences in perception across the state. We then made comparisons to ecological data collected over 15 years on the Central Coast and over five years in Southern and Northern California. We compared angler perceptions of their catches inside and outside MPAs to published studies that utilized these data to assess overall differences in fish abundance, size, and species diversity for all paired MPA and reference sites sampled by CCFRP (Hamilton et al., 2021; Ziegler et al., 2022, 2023, 2024).
2.3.4 CCFRP educational impacts and angler engagement
We analyzed several questions that gave insight into the level that CCFRP volunteer anglers report being engaged in the project; we used these questions as a proxy for CCFRP educational impacts through enhancing angler involvement and understanding of MPA monitoring and fisheries science. For instance, we asked anglers what they learned while volunteering with CCFRP, what resources they used to learn about the data they helped to collect, and why they volunteered on their last CCFRP trip. When analyzing questions with an open ended ‘other’ option, we read each answer and determined whether it fell within the provided answer categories. If the written answer clearly aligned with an answer category, the written answer was reclassified into that category. If the open-ended answer did not clearly align with an answer category, it was left as ‘other’. Answers to multiple choice questions that contradicted one another were removed from the analysis. For example, we asked respondents if they learned anything that they found useful while volunteering with CCFRP. If a respondent indicated that they did not learn anything that they found useful while volunteering for CCFRP, but also selected a learning category, the entire response was removed.
3 Results
3.1 Survey response rate
We received 259 completed surveys of 1,386 participants that had active contact information at the start of the 2021 field season. The overall response rate was 18.7%, though the response rate varied by institution and region (Table 1). CCFRP volunteer anglers who responded to the survey were located in multiple counties in California, with as many as 54 respondents from the same county (Figure 1).
Table 1
| Category | Number of surveys | Number of responses | Response rate |
|---|---|---|---|
| Overall Response Rate | 1,386 | 259 | 18.7% |
| Northern California | 246 | 71 | 28.9% |
| Cal Poly Humboldt | 86 | 21 | 24.4% |
| Bodega Marine Laboratory, UC Davis | 160 | 50 | 31.3% |
| Central California | 860 | 99 | 11.5% |
| Moss Landing Marine Laboratories | 626 | 63 | 10.1% |
| Cal Poly San Luis Obispo | 234 | 36 | 15.4% |
| Southern California | 280 | 89 | 31.8% |
| Marine Science Institute, UCSB | 123 | 22 | 17.9% |
| Scripps Institution of Oceanography | 157 | 67 | 42.7% |
Overall survey response rates, and response rates by region and CCFRP institution.
Figure 1

Counties in California where CCFRP survey respondents live.
3.2 CCFRP angler demographics vs the broader California angling community
Respondents were predominantly male (83%) and over the age of 55 (59%). The highest proportion of answers regarding education indicate that most CCFRP survey respondents hold a bachelor’s or graduate degree (67%; Supplementary Table 2). Similar to CCFRP volunteers, a California fishing expenditure study from 2020 indicates that anglers from the broad California angling community are generally male (86%), over the age of 55 (58%), and have a bachelor’s or graduate degree (54%) (Supplementary Figures 3–5; Sabrina Lovell, Office of Science and Technology, National Marine Fisheries Service, Personal Communication). Education was similar for CCFRP survey respondents across regions (Figure 2A). Interestingly, age was not the same between regions for CCFRP anglers (Figure 2B), with a higher percentage of anglers over the age of 55 in Central California (73.5%) compared to Southern California (55.7%) or Northern California (46.5%).
Figure 2

Percentages of respondents in each (A) age and (B) education category in Southern (red), Central (blue), and Northern (green) California.
3.3 Volunteer opinion changes
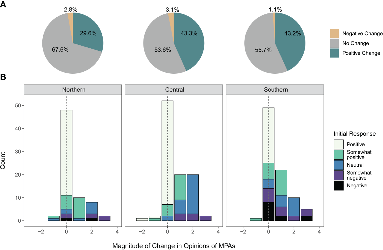
Overall, statewide anglers predominantly exhibited no change in opinion about MPAs in California after volunteering with CCFRP (58.2%), while 39.5% had a positive change in opinion and only 2.3% had a negative change in opinion (Figure 3A). Of those who experienced a change in opinion, 94.4% had a positive change in opinion (91.3%, 93.3%, 97.4% in the North, Central, and South, respectively, all of which were statistically significant; Supplementary Table 1) and 5.6% had a negative change in opinion. Volunteer anglers who did not exhibit a change in opinion (magnitude value of 0; Figure 3B), predominantly started out with a positive view of MPAs in California, though numerically fewer respondents from Southern California who did not exhibit a change in opinion had an initial positive opinion of MPAs.
Figure 3

(A) Overall percentage of respondents who had a positive change, negative change, or no change in opinion towards MPAs after volunteering with CCFRP, broken down by region where each respondent participates. (B) Magnitude of change in angler opinions about MPAs in the Northern, Central, and Southern California region after taking at least one trip with CCFRP, colored by the initial opinion of the respondent. A value of zero signifies that the respondent did not change their opinion of MPAs after volunteering with CCFRP, a positive value signifies that a respondent changed their opinion by one or more categories in the positive direction, and the opposite is true for negative values.
There were no significant differences amongst regions in the log odd of having a positive or negative change in opinion towards MPAs compared with no change in opinion. However, there was a non-significant trend that participants from the Southern region were more likely to exhibit a positive change in opinion about MPAs, while those in the Northern region were less likely to show a positive shift, at least in comparison to the Central region. Additionally, volunteer anglers who participated in 6-10 trips with CCFRP were significantly more likely to have a positive change in opinion of MPAs, compared to participants that took fewer trips (Table 2).
Table 2
| Category | Positive Change | Negative Change |
|---|---|---|
| Region | ||
| Southern California | 0.134 | -0.854 |
| Northern California | -0.270 | 0.030 |
| Number of Trips | ||
| 2-5 | 0.099 | 0.181 |
| 6-10 | 1.116* | 1.650 |
| 11-19 | 0.533 | -8.190 |
| 20+ | 0.865 | 1.243 |
Log odds of having a positive or negative change in opinion by region and number of trips taken with CCFRP.
*p < 0.05.
Central California was the baseline against which Southern and Northern California were compared.
3.4 Perceived vs realized MPA effects
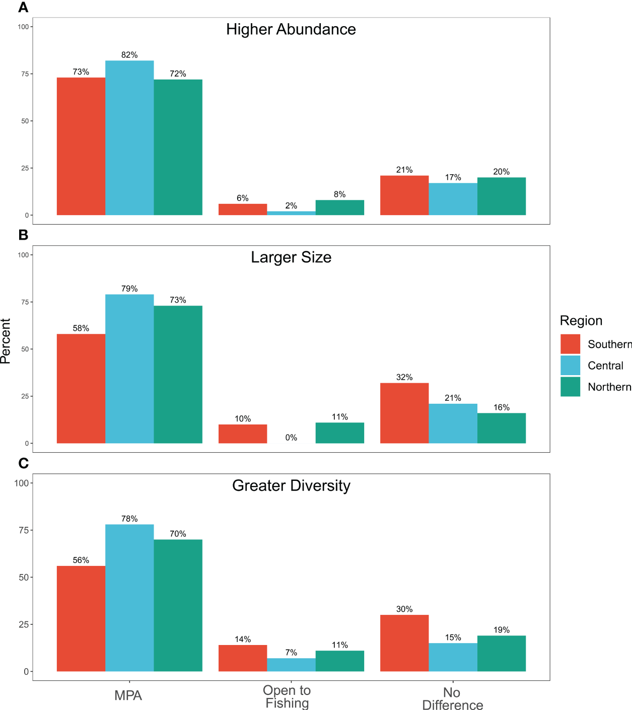
CCFRP anglers from all regions perceived that they caught more fishes inside of MPAs (χ2 = 138.86; p < 0.0001; n = 163), bigger fishes inside of MPAs (χ2 = 85.45; p < 0.0001; n = 153), and a greater diversity of fishes inside of MPAs (χ2 = 99.53; p < 0.0001; n = 157). These results are consistent across all regions (Table 3; Figure 4) and across participation levels (Table 3; Supplementary Figure 6), though fewer respondents from Southern California reported that they perceived larger and more diverse fishes inside of MPAs compared with respondents from the two other regions.
Table 3
| Category | Abundance χ2 value |
Size χ2 value |
Species Diversity χ2 value |
|---|---|---|---|
| Region | |||
| Statewide | 138.860*** | 85.450*** | 99.530*** |
| Southern California | 46.571*** | 15.474*** | 21.806*** |
| Central California | 65.100*** | 53.525*** | 58.897*** |
| Northern California | 28.550*** | 23.081*** | 26.324*** |
| Number of Trips | |||
| 1 | 23.545*** | 20.333*** | 23.412*** |
| 2-5 | 50.333*** | 34.083*** | 13.642 * |
| 6-10 | 19.760*** | 13.130 ** | 17.360 ** |
| 11-19 | 22.889*** | 26.000*** | 30.769*** |
| 20+ | 26.373*** | 14.000*** | 18.471*** |
Chi-square values for participant responses when asked if they perceived catching more fishes, larger fishes, and a greater diversity of fishes within MPAs, in areas open to fishing, or no difference.
**p<0.01; **p<0.001; ***p<0.0001.
Figure 4

Percentage of respondents who selected that they perceived that they caught (A) a higher abundance of fishes, (B) larger fishes, and (C) a greater diversity of fishes within MPAs, areas open to fishing, or no difference in Southern (red), Central (blue), and Northern (green) California.
We compared empirical biological results inside and outside of MPAs with CCFRP volunteer angler perceptions of fish size, abundance, and species diversity. Ziegler et al. (2023, in press) analyzed statewide CCFRP data to synthesize key biological findings from the program from 2017-2020 and found that 71% of species were more abundant inside MPAs and 79% of species were larger inside MPAs. Hamilton et al. (2021) and Ziegler et al. (2023) also found that species diversity recovered more quickly inside of MPAs following large-scale oceanographic disturbances.
3.5 CCFRP educational impacts and angler engagement
When respondents were asked what they found most useful as a CCFRP volunteer, the most common responses were that volunteer anglers learned 1) how fishing data are used in fisheries management (76.4%; n = 198), 2) techniques for descending groundfish (67.6%; n = 175), 3) information about fish species (61.4%; n = 159), and 4) how MPAs can be used to manage fisheries (54.1%; n = 140; Supplementary Figure 1). Most respondents (98.5%; n = 255) selected that they learned about at least one of the provided response categories (Appendix A) or wrote a response of something else that they learned. Only four respondents (1.5%) indicated that they had not learned anything that they found useful.
When asked the primary reason they might enjoy fishing with CCFRP inside of an MPA, significantly more respondents answered that they enjoyed collecting scientific fishing data (63.3%; n = 161) than other reasons (e.g., catching larger fish, a greater quantity of fishes, multiple species) (χ2 = 299.66; p < 0.0001; Figure 5); this did not differ by region. Lastly, significantly more anglers responded that they would tell their friends about CCFRP than would not (95% and 5%; n = 248 and n = 13, respectively; χ2 = 211.59; p < 0.0001; Supplementary Figure 2).
Figure 5

CCFRP angler responses when asked the primary reason they might enjoy fishing with CCFRP inside of an MPA.
4 Discussion
Previous research indicates that engaging stakeholders, especially anglers, in decision making, management, and collaborative fisheries research can positively impact opinions about MPAs worldwide, and that failing to engage stakeholders leads to conflicts between anglers and resource managers. For example, dissention emerged between anglers and managers when Tamoios Reserve and Arvoredo Reserve in Brazil were created without involving anglers who utilized those areas (Seixas et al., 2019) and anglers in a separate study from the Florida Keys National Marine Sanctuary in the USA felt alienated by their lack of involvement in the zonation process (Suman et al., 1999). Whereas the participation of fishing guilds in the creation of Mediterranean MPAs prompted positive opinions about those no-take zones (Leleu et al., 2012). Further, long-term engagement of volunteer anglers participating in collaborative fisheries research in one region of California in the USA positively impacted opinions about the creation of MPAs (Mason et al., 2020).
Our research expands and supports that engaging anglers with collaborative fisheries research positively impacts angler opinions of MPAs at a statewide scale in California, USA using data from CCFRP. In general, volunteer anglers were more likely to have positive opinions of MPAs after participating with CCFRP; anglers who volunteered for six or more CCFRP trips were more likely to have positive changes in opinion about MPAs. this suggests that increasing engagement with collaborative fisheries research programs has beneficial impacts, and more frequent interactions with stakeholders may improve opinions of MPAs, potentially increasing acceptance in as few as six angler days, which could be much faster than changes in angler perception about reserves from areas without active angler engagement (e.g., Navarro et al., 2018). We hypothesize that longer participation may lead to a higher rate of positive opinion changes because participating in more trips, especially across multiple years, allows volunteer anglers to experience changes in catch rate, fish size, and diversity over time. However, those who took part in fewer trips still had a high frequency of positive opinion change, suggesting that any amount of participation in CCFRP can impact angler opinions.
Interestingly, changes in opinion among region were not statistically distinct as we originally predicted; however, there was some variation in the number and directionality of opinion change across regions. Since MPA implementation varied temporally in each region and past research supports the idea that recreational anglers are more supportive of no-take MPAs when those areas have been established for longer (Navarro et al., 2018), we predicted that Central California would show the highest percentage of positive opinion changes. While the Central California region did have a high percentage of respondents whose opinion of MPAs improved after volunteering with CCFRP, the proportion of positive opinion change was not statistically higher than the Southern or Northern California regions (Figure 3A). This lack of statistical differences among regions may indicate that even the five years that CCFRP has been operating in Northern and Southern California was enough to impact angler opinions, though further testing would be needed to support this hypothesis. Additionally, the starting opinions of CCFRP volunteer anglers in Southern California were more evenly distributed, with fewer respondents who reported a positive opinion about MPAs. Therefore, there was more scope for a positive opinion change for survey respondents in Southern California. Further, the highest proportion of responses indicated that angler opinions did not change after volunteering with CCFRP in all regions. However, of those respondents, a significantly higher proportion of anglers had a positive opinion of MPAs before volunteering with CCFRP (Figure 3B). This is encouraging since we interpret this to mean that CCFRP volunteer anglers who started with a positive opinion of MPAs did not change their minds, and those who started with a negative or neutral opinion had an increase in opinion statewide.
CCFRP volunteer anglers who fished both inside and outside of MPAs perceived that they caught fishes in greater quantities and that fishes were larger inside of MPAs than outside of them statewide, which is consistent with ecological findings from CCFRP (Ziegler et al., 2024). This result suggests that anglers can detect broad ecological patterns while fishing with CCFRP. Interestingly, anglers also perceived that species diversity is greater inside of MPAs, while the ecological data are somewhat equivocal (Hamilton et al., 2021); analyses of CCFRP data demonstrated significantly higher species diversity inside MPAs in Central California and faster recovery of species diversity following disturbance events (e.g., a marine heat wave) (Ziegler et al., 2023). Detecting such nuance in diversity before and after oceanographic disturbances was beyond the scope of the angler survey. Although volunteer angler perception of catching larger fishes, more fishes, and a higher species diversity within the MPA is encouraging, it should be noted that respondents with an existing positive opinion or those that had an increase in positive opinions about MPAs may have created a response bias whereby anglers who responded to this survey were more likely to perceive positive MPA effects.
Anglers’ perception of higher fish abundance, size, and species diversity in MPAs was significant regardless of region, suggesting that perceptions of MPA effects are generally consistent statewide for CCFRP volunteer anglers. However, the strength of this response was weakest for survey respondents from Southern California. This may be related to the starting opinions of MPAs for respondents from the Southern region; fewer respondents from that region reported having a positive opinion of MPAs before volunteering with CCFRP, which may have affected their perceptions of fish abundance, size, and species diversity within those protected areas. Anglers’ perceptions of these biological metrics did not vary with participation, suggesting that anglers could detect these differences after only a few trips; in some cases, a sampling trip could visit both an MPA and site open to fishing on the same day, which may have helped highlight differences in fish assemblages between them. These findings underscore the importance of engaging anglers in the data collection process. First-hand experiences may help to shift the perspective of the California angling community towards a better understanding and greater acceptance of MPAs and possibly other management efforts.
Interestingly, despite their perceptions and knowledge of MPA effects on abundance, size, and species diversity, a significantly higher proportion of anglers indicated their motivation for fishing with CCFRP was to aid in collecting scientific data across all regions. Importantly, this highlights that anglers may be motivated to participate beyond simply catching fish, since one of the provided answer categories was fishing inside of MPAs. These results were similar to previous research on CCFRP volunteer anglers from the Central region who reported non-catch motivations for participating with CCFRP like giving back to fisheries resources and participating in science (Mason et al., 2020). Research on non-catch motivation for anglers has found that other motives, such as enjoying the natural environment and being social, may be as important or more important than catch-related motives (Fedler and Ditton, 1994). We stipulate that non-catch motives that are based in science (e.g., helping to collect scientific data) are also valuable. This underscores the importance of understanding angler motivations, which can help managers to target specific groups of stakeholders by designing outreach and program structure to better fit the stakeholders’ interests (Brinson and Wallmo, 2017). Future work with CCFRP and other similar programs can explore the impact of volunteer motivations on their perceptions and satisfaction.
Another goal identified at the outset of the program was to increase transparency of how science and the data obtained by anglers would be used to inform management decisions. Results from this survey showed that CCFRP did meet and exceed this goal statewide relative to the volunteer angler group; most participants (98%) were interested in learning about the data that they helped to collect and used CCFRP resources (e.g., trip briefings, newsletters, data workshops) to do so. Additionally, most participants discussed CCFRP with their peers (95%), which may help to improve opinions of MPA research in the broader angling community. Finally, these results were consistent across regions, indicating that CCFRP anglers are educated about the status of marine resources, interested in learning about the information they collect, and excited to help collect scientific data.
There are some limitations to the scope of the survey, including multiple survey biases that may have impacted the results (e.g., response bias, nonresponse bias, extreme responding, etc.) but that we are unable to quantify. For instance, CCFRP volunteer anglers are a stakeholder group with unique qualities compared with other anglers; volunteer anglers who responded to this survey rated themselves as more conservation-minded than their peers. Though this is not surprising given their commitment to participating in a collaborative fisheries program like CCFRP, this may set survey respondents apart from other CCFRP volunteer anglers who received the survey and did not complete it (i.e., nonresponse bias). However, since CCFRP volunteer anglers are demographically similar to the broader California angling community (Sabrina Lovell, Office of Science and Technology, National Marine Fisheries Service, Personal Communication), we believe that engaging other anglers in research may help to improve overall opinions about MPAs in California in a stakeholder group that has traditionally opposed spatial management measures.
5 Conclusion
Overall, we found that volunteer anglers working with a collaborative fisheries research program have increased positive perceptions of marine conservation and fisheries management across the state of California, and that longer participation was a strong predictor of positive change in volunteer angler perception toward MPAs. Further, we found that participating in collaborative fisheries research helped to teach anglers about fish species, MPAs, and fisheries management, and that after fishing in MPAs, anglers perceived higher fish size, abundance, and diversity in MPAs compared with areas open to fishing. Despite these perceptions, anglers stated that the primary reason they participated in collaborative fisheries research was to help collect scientific fishing data.
Effective management is more likely to occur when there is widespread stakeholder buy-in. Without stakeholder support, these strategies may be met with hostility and noncompliance and may require a significantly higher financial outlay for enforcement (Van Diggelen et al., 2022). Fisheries research involving spatial management approaches should incorporate stakeholder groups, including recreational anglers, who can provide peer-to-peer communication of the importance of management strategies; programs involved in this kind of research should integrate significant outreach and educational goals. Ideally, MPA research involves these stakeholders through all phases of MPA implementation, from planning to monitoring, in order to develop awareness, support, trust, and transparency (Van Diggelen et al., 2022). Our research bolsters the idea that involving stakeholders in MPA research can increase positive opinions of protected areas (Mason et al., 2020) and that continuing to engage them may repair some of the initial negative opinions towards MPAs.
The general public, including most stakeholders, may not read scientific literature. So, while there is a large body of literature showing that MPAs are effective tools for ecological restoration with regards to fish abundance, size, and species diversity, especially for targeted fish populations (Lester et al., 2009; Edgar et al., 2014; Caselle et al., 2015; Hamilton et al., 2021; Ziegler et al., 2022), public perception could remain antagonistic towards regulation without meaningful engagement and education (Watson et al., 2015). No matter how many studies show positive MPA effects, such as were shown with CCFRP data, management actions may continue to fall short without meaningful stakeholder engagement and first-hand experiences of the changes in fish populations that occur following MPA protection. While scientific results that show positive MPA effects are extremely encouraging from a conservation standpoint, perceptions of fisheries resources may be just as important as the result of scientific study (Murphy et al., 2018). It is therefore important to have a shared understanding of these resources among fisheries scientists, managers, and stakeholder groups.
One important and often underutilized way to reach this understanding is for scientists to collaborate with stakeholder groups and communicate the results of their scientific studies, especially stakeholders that have traditionally been opposed to spatial management strategies. Wendt and Starr (2009) recognized the importance of collaboration, and one main goal of CCFRP was reaching a shared understanding between diverse stakeholders and policy makers of nearshore groundfish population dynamics and conservation through collaboration. Efforts to include all stakeholder groups, particularly those with negative perceptions of MPAs, in collaborative fisheries research and regularly collecting data on those stakeholders who participate is an important tool to assess the success of management actions in the angling community. Collecting these data on angler perceptions and demographics will have positive ecological and societal outcomes and is a model framework that can be used to inform the design of future collaborative fisheries monitoring programs.
Statements
Data availability statement
The datasets presented in this study can be found in online repositories. The names of the repository/repositories and accession number(s) can be found below: https://github.com/erinmarjo/CCFRP-Angler-Survey-Publication.
Ethics statement
The studies involving humans were approved by Cal Poly Human Subjects Institutional Review Board under approval #2021-144. The studies were conducted in accordance with the local legislation and institutional requirements. The participants provided their written informed consent to participate in this study.
Author contributions
EMJ: Conceptualization, Data curation, Formal Analysis, Visualization, Writing – original draft, Writing – review & editing, Methodology. GW: Conceptualization, Supervision, Writing – original draft, Writing – review & editing. RK: Conceptualization, Supervision, Writing – original draft, Writing – review & editing. EB: Conceptualization, Visualization, Writing – original draft, Writing – review & editing. SZ: Conceptualization, Visualization, Writing – original draft, Writing – review & editing. ETJ: Conceptualization, Writing – review & editing. HG: Formal Analysis, Writing – review & editing. LZ: Conceptualization, Writing – review & editing. AK: Conceptualization, Writing – review & editing. RB: Writing – review & editing. BS: Writing – review & editing. CH: Writing – review & editing. JC: Writing – review & editing. LB: Writing – review & editing. SS: Writing – review & editing. SM: Writing – review & editing. TM: Writing – review & editing. CC: Writing – review & editing. JS: Writing – review & editing. RS: Funding acquisition, Writing – review & editing. SH: Conceptualization, Funding acquisition, Writing – original draft, Writing – review & editing. BR: Conceptualization, Funding acquisition, Writing – original draft, Writing – review & editing. DW: Conceptualization, Funding acquisition, Writing – review & editing.
Funding
The author(s) declare financial support was received for the research, authorship, and/or publication of this article. This work was supported by the California Ocean Protection Council (CO752003), the California Department of Fish and Wildlife (P1970018), and California Sea Grant (R/MPA-45).
Acknowledgments
We would like to thank CCFRP volunteer anglers and CCFRP survey participants without whom this research would not be possible. We would also like to thank the sportfishing shops, captains, and crew members who participate in CCFRP. Special thanks to Sabrina Lovell at NOAA Fisheries for providing information on California angler demographics.
Conflict of interest
The authors declare that the research was conducted in the absence of any commercial or financial relationships that could be construed as a potential conflict of interest.
Publisher’s note
All claims expressed in this article are solely those of the authors and do not necessarily represent those of their affiliated organizations, or those of the publisher, the editors and the reviewers. Any product that may be evaluated in this article, or claim that may be made by its manufacturer, is not guaranteed or endorsed by the publisher.
Supplementary material
The Supplementary Material for this article can be found online at: https://www.frontiersin.org/articles/10.3389/fmars.2024.1330498/full#supplementary-material
References
1
Ban N. C. Kushneryk K. Falk J. Vachon A. Sleigh L. (2020). Improving compliance of recreational fishers with Rockfish Conservation Areas: community–academic partnership to achieve and evaluate conservation. ICES J. Mar. Sci.77, 2308–2318. doi: 10.1093/icesjms/fsz134
2
Beierle T. C. (2002). The quality of stakeholder-based decisions. Risk Anal.22, 739–749. doi: 10.1111/0272-4332.00065
3
Bellquist L. Semmens B. Stohs S. Siddall A. (2017). Impacts of recently implemented recreational fisheries regulations on the Commercial Passenger Fishing Vessel fishery for Paralabrax sp. in California. Mar. Policy86, 134–143. doi: 10.1016/j.marpol.2017.09.017
4
Bennett N. J. Dearden P. (2014). Why local people do not support conservation: Community perceptions of marine protected area livelihood impacts, governance and management in Thailand. Mar. Policy44, 107–116. doi: 10.1016/j.marpol.2013.08.017
5
Brinson A. A. Wallmo K. (2017). Determinants of saltwater anglers’ Satisfaction with fisheries management: regional perspectives in the United States. North Am. J. Fisheries Manage.37, 225–234. doi: 10.1080/02755947.2016.1235629
6
Caselle J. E. Rassweiler A. Hamilton S. L. Warner R. R. (2015). Recovery trajectories of kelp forest animals are rapid yet spatially variable across a network of temperate marine protected areas. Sci. Rep.5, 14102. doi: 10.1038/srep14102
7
CDFG (California Department of Fish and Game) (2008)California marine life protection act. In: Master plan for marine protected areas Revised Draft. Available online at: https://nrm.dfg.ca.gov/FileHandler.ashx?DocumentID=113006&inline (Accessed May 4, 2023).
8
Charles A. Wilson L. (2009). Human dimensions of marine protected areas. ICES J. Mar. Sci.66, 6–15. doi: 10.1093/icesjms/fsn182
9
Cowan J. H. Rice J. C. Walters C. J. Hilborn R. Essington T. E. Day J. W. et al . (2012). Challenges for implementing an ecosystem approach to fisheries management. Mar. Coast. Fisheries4, 496–510. doi: 10.1080/19425120.2012.690825
10
Crandall C. A. Monroe M. Dutka-Gianelli J. Lorenzen K. (2019). Meaningful action gives satisfaction: Stakeholder perspectives on participation in the management of marine recreational fisheries. Ocean Coast. Manage.179, 104872. doi: 10.1016/j.ocecoaman.2019.104872
11
Dimech M. Darmanin M. Philip Smith I. Kaiser M. J. Schembri P. J. (2009). Fishers’ perception of a 35-year old exclusive Fisheries Management Zone. Biol. Conserv.142, 2691–2702. doi: 10.1016/j.biocon.2009.06.019
12
Dinerstein E. Vynne C. Sala E. Joshi A. R. Fernando S. Lovejoy T. E. et al . (2019). A Global Deal For Nature: Guiding principles, milestones, and targets. Sci. Adv.5, eaaw2869. doi: 10.1126/sciadv.aaw2869
13
Edgar G. J. Stuart-Smith R. D. Willis T. J. Kininmonth S. Baker S. C. Banks S. et al . (2014). Global conservation outcomes depend on marine protected areas with five key features. Nature506, 216–220. doi: 10.1038/nature13022
14
Fedler A. J. Ditton R. B. (1994). Understanding angler motivations in fisheries management. Fisheries19, 6–13. doi: 10.1577/1548-8446(1994)019<0006:UAMIFM>2.0.CO;2
15
Hamilton S. Starr R. Wendt D. Ruttenberg B. Caselle J. Semmens B. et al . (2021) California Collaborative Fisheries Research Program (CCFRP) - Monitoring and Evaluation of California Marine Protected Areas. Available online at: https://caseagrant.ucsd.edu/sites/default/files/CCFRP_Final_Report.pdf.
16
Hilborn R. (2012). The evolution of quantitative marine fisheries management 1985–2010. Natural Resource Modeling25, 122–144. doi: 10.1111/j.1939-7445.2011.00100.x
17
Jones P. J. S. (2009). Equity, justice and power issues raised by no-take marine protected area proposals. Mar. Policy33, 759–765. doi: 10.1016/j.marpol.2009.02.009
18
Leleu K. Alban F. Pelletier D. Charbonnel E. Letourneur Y. Boudouresque C. F. (2012). Fishers’ perceptions as indicators of the performance of Marine Protected Areas (MPAs). Mar. Policy36, 414–422. doi: 10.1016/j.marpol.2011.06.002
19
Lester S. E. Halpern B. S. Grorud-Colvert K. Lubchenco J. Ruttenberg B. I. Gaines S. D. et al . (2009). Biological effects within no-take marine reserves: a global synthesis. Mar. Ecol. Prog. Ser.384, 33–46. doi: 10.3354/meps08029
20
Mackinson S. Wilson D. C. Galiay P. Deas B. (2011). Engaging stakeholders in fisheries and marine research. Mar. Policy35, 18–24. doi: 10.1016/j.marpol.2010.07.003
21
Mason E. T. Kellum A. N. Chiu J. A. Waltz G. T. Murray S. Wendt D. E. et al . (2020). Long-term participation in collaborative fisheries research improves angler opinions on marine protected areas. PeerJ8, e10146. doi: 10.7717/peerj.10146
22
Micheli F. Halpern B. S. Botsford L. W. Warner R. R. (2004). Trajectories and correlates of community change in no-take marine reserves. Ecol. Appl.14, 1709–1723. doi: 10.1890/03-5260
23
Monk M. H. Dick E. J. Field J. C. Saas E. M. Rogers T. L. (2021)The status of Vermilion Rockfish (Sebastes miniatus) and Sunset Rockfish (Sebastes crocotulus) in U.S. waters off the coast of California north of Point Conception in 2021. In: Pacific Fishery Management Council, Portland, OR. Available online at: https://repository.library.noaa.gov/view/noaa/45277 (Accessed March 30, 2023).
24
Monk M. H. He X. (2019). The Combined Status of Gopher (Sebastes carnatus) and Black-and-Yellow Rockfishes (Sebastes chrysomelas) in U.S. Waters Off California2019, 229. Portland, Oregon: Pacific Fishery Management Council. Available from http://www.pcouncil.org/groundfish/stock-assessments/
25
Murphy R. Scyphers S. Grabowski J. (2018). Perceptions outweigh knowledge in predicting support for management strategies in the recreational Striped Bass (Morone saxatilis) fishery. Mar. Policy97, 44–50. doi: 10.1016/j.marpol.2018.08.007
26
Navarro M. Kragt M. E. Hailu A. Langlois T. J. (2018). Recreational fishers’ support for no-take marine reserves is high and increases with reserve age. Mar. Policy96, 44–52. doi: 10.1016/j.marpol.2018.06.021
27
Ordoñez-Gauger L. Richmond L. Hackett S. Chen C. (2018). It’s a trust thing: Assessing fishermen’s perceptions of the California North Coast marine protected area network. Ocean Coast. Manage.158, 144–153. doi: 10.1016/j.ocecoaman.2018.03.034
28
Rassweiler A. Costello C. Siegel D. A. (2012). Marine protected areas and the value of spatially optimized fishery management. Proc. Natl. Acad. Sci.109, 11884–11889. doi: 10.1073/pnas.1116193109
29
Ripley B. Venables W. (2023) nnet: Feed-Forward Neural Networks and Multinomial Log-Linear Models. Available online at: https://cran.r-project.org/web/packages/nnet/index.html (Accessed May 13, 2023).
30
R Core Team (2019). R: A language and environment for statistical computing. R Foundation for Statistical Computing, Vienna, Austria. Available at: https://www.R-project.org/.
31
Saarman E. Gleason M. Ugoretz J. Airamé S. Carr M. Fox E. et al . (2013). The role of science in supporting marine protected area network planning and design in California. Ocean Coast. Manage.74, 45–56. doi: 10.1016/j.ocecoaman.2012.08.021
32
Seixas C. S. Davidson-Hunt I. Kalikoski D. C. Davy B. Berkes F. de Castro F. et al . (2019). “Collaborative coastal management in Brazil: advancements, challenges, and opportunities,” in Viability and Sustainability of Small-Scale Fisheries in Latin America and The Caribbean. Eds. SalasS.Barragán-PaladinesM. J.ChuenpagdeeR. (Springer International Publishing, Cham), 425–451. doi: 10.1007/978-3-319-76078-0_18
33
Silvano R. A. M. Begossi A. (2012). Fishermen’s local ecological knowledge on Southeastern Brazilian coastal fishes: contributions to research, conservation, and management. Neotrop. ichthyol.10, 133–147. doi: 10.1590/S1679-62252012000100013
34
Starr R. M. Wendt D. E. Barnes C. L. Marks C. I. Malone D. Waltz G. et al . (2015). Variation in Responses of Fishes across Multiple Reserves within a Network of Marine Protected Areas in Temperate Waters. PloS One10. doi: 10.1371/journal.pone.0118502
35
Steins N. A. Mackinson S. Mangi S. C. Pastoors M. A. Stephenson R. L. Ballesteros M. et al . (2022). A will-o’-the wisp? On the utility of voluntary contributions of data and knowledge from the fishing industry to marine science. Front. Mar. Sci.9. doi: 10.3389/fmars.2022.954959.
36
Stobart B. Warwick R. González C. Mallol S. Díaz D. Reñones O. et al . (2009). Long-term and spillover effects of a marine protected area on an exploited fish community. Mar. Ecol. Prog. Ser.384, 47–60. doi: 10.3354/meps08007
37
Suman D. Shivlani M. Walter Milon J. (1999). Perceptions and attitudes regarding marine reserves: a comparison of stakeholder groups in the Florida Keys National Marine Sanctuary. Ocean Coast. Manage.42, 1019–1040. doi: 10.1016/S0964-5691(99)00062-9
38
Taylor I. G. Johnson K. F. Langseth B. J. Stephens A. Lam L. S. Monk M. H. et al . (2021). Status of lingcod (Ophiodon elongatus) along the northern U.S. west coast in 2021. Portland, Oregon: Pacific Fisheries Management Council. 254p.
39
Turner R. A. Addison J. Arias A. Bergseth B. J. Marshall N. A. Morrison T. H. et al . (2016). Trust, confidence, and equity affect the legitimacy of natural resource governance. Ecol. Soc.21. doi: 10.5751/ES-08542-210318.
40
Van Diggelen A. D. Worden S. E. Frimodig A. J. Wertz S. P. (2022). California’s lessons learned and recommendations for effective marine protected area network management. Mar. Policy137, 104928. doi: 10.1016/j.marpol.2021.104928
41
Watson G. J. Murray J. M. Schaefer M. Bonner A. (2015). Successful local marine conservation requires appropriate educational methods and adequate enforcement. Mar. Policy52, 59–67. doi: 10.1016/j.marpol.2014.10.016
42
Wendt D. E. Starr R. M. (2009). Collaborative research: an effective way to collect data for stock assessments and evaluate marine protected areas in California. Mar. Coast. Fisheries1, 315–324. doi: 10.1577/C08-054.1
43
Yochum N. Starr R. M. Wendt D. E. (2012) Full article: Utilizing Fishermen Knowledge and Expertise: Keys to Success for Collaborative Fisheries Research. Available online at: https://www-tandfonline-com.ezproxy.lib.calpoly.edu/doi/full/10.1080/03632415.2011.633467 (Accessed November 16, 2021).
44
Ziegler S. L. Brooks R. O. Bellquist L. F. Caselle J. E. Morgan S. G. Mulligan T. J. et al . (2024). Collaborative fisheries research reveals reserve size and age determine efficacy across a network of marine protected areas. Conserv. Lett.n/a, e13000. doi: 10.1111/conl.13000
45
Ziegler S. L. Brooks R. O. Hamilton S. L. Ruttenberg B. I. Chiu J. A. Fields R. T. et al . (2022). External fishing effort regulates positive effects of no-take marine protected areas. Biol. Conserv.269, 109546. doi: 10.1016/j.biocon.2022.109546
46
Ziegler S. L. Johnson J. M. Brooks R. O. Johnston E. M. Mohay J. L. Ruttenberg B. I. et al . (2023). Marine protected areas, marine heatwaves, and the resilience of nearshore fish communities. Sci. Rep.13, 1405. doi: 10.1038/s41598-023-28507-1
Summary
Keywords
collaborative fisheries research, California marine protected areas, stakeholder engagement, angler surveys, angler perceptions, participatory science, marine citizen science
Citation
Johnston EM, Waltz GT, Kosaka R, Brauer EM, Ziegler SL, Jarvis Mason ET, Glanz HS, Zaragoza L, Kellum AN, Brooks RO, Semmens BX, Honeyman CJ, Caselle JE, Bellquist LF, Small SL, Morgan SG, Mulligan TJ, Coscino CL, Staton JM, Starr RM, Hamilton SL, Ruttenberg BI and Wendt DE (2024) Participation in collaborative fisheries research improves the perceptions of recreational anglers towards marine protected areas. Front. Mar. Sci. 11:1330498. doi: 10.3389/fmars.2024.1330498
Received
30 October 2023
Accepted
12 February 2024
Published
08 March 2024
Volume
11 - 2024
Edited by
Serena Lucrezi, North-West University, South Africa
Reviewed by
Alfonso Aguilar-Perera, Universidad Autónoma de Yucatán, Mexico
Marianna Coulentianos, Loughborough University, United Kingdom
Updates
Copyright
© 2024 Johnston, Waltz, Kosaka, Brauer, Ziegler, Jarvis Mason, Glanz, Zaragoza, Kellum, Brooks, Semmens, Honeyman, Caselle, Bellquist, Small, Morgan, Mulligan, Coscino, Staton, Starr, Hamilton, Ruttenberg and Wendt.
This is an open-access article distributed under the terms of the Creative Commons Attribution License (CC BY). The use, distribution or reproduction in other forums is permitted, provided the original author(s) and the copyright owner(s) are credited and that the original publication in this journal is cited, in accordance with accepted academic practice. No use, distribution or reproduction is permitted which does not comply with these terms.
*Correspondence: Erin M. Johnston, ejohn122@calpoly.edu
†These authors share last authorship
Disclaimer
All claims expressed in this article are solely those of the authors and do not necessarily represent those of their affiliated organizations, or those of the publisher, the editors and the reviewers. Any product that may be evaluated in this article or claim that may be made by its manufacturer is not guaranteed or endorsed by the publisher.