Abstract
Introduction:
The public's justifiability of euthanasia has increased as more countries have adopted laws permitting a range of end-of-life practices. Despite this trend, there is a dearth of longitudinal and comparative studies investigating attitudes toward euthanasia. Consequently, it remains unclear whether this rise in justifiability is a period-specific trend or generational change.
Methods:
We analyzed data from the European and World Values Survey from 1981 to 2021 to examine period variations, between-cohort differences, and within-cohort changes across 35 affluent countries. This analysis was conducted using dynamic comparative multilevel regression and a comparative version of the cross-classified random effects regressions.
Results:
Our descriptive results supported our hypotheses, indicating an increase in euthanasia's justifiability in virtually all surveyed countries, with both overall and within-cohort changes gravitating toward higher degrees of justifiability. Furthermore, newer periods and younger cohorts were found to be more permissive than their older counterparts. These consistent increases in the justifiability of euthanasia were verified by the multilevel models.
Discussion:
Our results were in line with modernization theory, observing a gradual change in attitudes between cohorts due to generational replacement. However, we also identified intra-cohort changes related to the processes of human development across various countries. Some robustness checks produced ambiguous results in distinguishing period and cohort effects, yet the combination of these components aligns with substantive theory.
Conclusion:
Our findings indicate a more complex pattern of change than predicted by the impressionable years model, a leading approach in political socialization research. This study contributes significantly to our understanding of evolving attitudes toward euthanasia, bridging the gap in longitudinal and comparative studies on the subject.
1. Introduction
The way individuals face moral issues has changed over time and become of increasing interest to many social scientists (e.g., Inglehart and Welzel, 2010; Halman and Van Ingen, 2015; Adamczyk, 2019). In the late 20th and beginning of the 21st century, a particularly large transformation was observed in the way people perceive their decision autonomy regarding their own bodies. At the same time, there were major changes in biopolitics (Rose, 2007), such as the legal recognition of same-sex marriage and the legalization of euthanasia. Euthanasia and other end-of-life practices have evolved from an equivalent of a violent murder in Nazi Germany to a modern and humane issue supported by the more educated individuals and widely accepted in most prosperous countries. Various end-of-life practices have been made legal in Belgium, the Netherlands, Switzerland, Canada, Spain, and New Zealand, whereas Portugal, as of this writing, was in a prolonged political battle over an end-of-life law. Although euthanasia is still illegal in most countries, some sanctions against its different forms have been relaxed, often being downgraded or only applied on occasion. The shifts in practices and sanctions in the legal and institutional spheres reflect the debate on this issue and, in turn, increase its moral justification (Cohen et al., 2006).
Despite the importance of the change in the attitudes toward euthanasia, most studies have focused on individual or national differences at one time point. Only a few studies have demonstrated an increase in the societal justifiability of euthanasia, but it remains unknown whether these changes appear due to the generational replacement (cohort effect) or because of a general reaction of people of all ages and generations to the current events (period effects, also referred to as zeitgeist – Boehnke et al., 2007).
Following a prominent formative-years hypothesis (Inglehart, 1997), most of the extant literature considered cohort effects to be the main source of an aggregate change of attitudes. In line with this hypothesis, individuals acquire an attitude during their primary socialization and then keep this attitude more or less constant throughout their lives. Societal change therefore occurs due to the natural replacement of the cohorts. Such emphasis on the cohort effects diminishes the period effects treating them as minor short-term random fluctuations (e.g., Kiley and Vaisey, 2020). However, cohort effects translate into aggregate change only at the slow pace of cohort replacement (see Abramson and Inglehart, 1992), while period effects can immediately contribute to societal attitude change (Tormos, 2012). The classical formative years hypothesis therefore falls short at explaining a rapid societal attitude change such as that taking place in justification of euthanasia.
In fact, period effects are not only arbitrary disturbances to the stable development of a societal feature over time, as usually understood within the formative-years approach. They can also portray a meaningful tendency (Tormos, 2019). Using time-series terminology, period effects can be either short-term random shocks or have the structure of a trend. Moreover, they can contain the former and the latter at the same time. The random shock component of period effects is usually hard to predict for they result from unforeseen events such as the COVID pandemic. Because of this, the period effects as random shocks can even revert in their direction despite the decades of consistency. Accordingly, this sort of period effects depends on sudden and unexpected events reflected in changing media coverage and shifting political agenda. Yet period effects can also portray a consistent trend. The same socioeconomic factors that shape cohort socialization (e.g., quality of the healthcare system, material security) can induce similar period effects which affect all the cohorts (Tormos, 2019). This is because individuals continue to be influenced by changes in socio-environmental conditions beyond their formative years (e.g., Bardi and Goodwin, 2011).
Cohort effects produce aggregate social change only at a slow pace because they operate through the mechanism of cohort replacement (Abramson and Inglehart, 1992). Attitude change caused by the demographic replacement is naturally gradual (unless there is an unlikely sizable attitude cleavage among the adjacent generations), and therefore easy to predict as we know attitudes of all generations at the given period and know which ones are going to shrink with time. Accordingly, the covariates of the cohort-based attitude change involve characteristics at the time of each generation's formative years, such as the historical level of country modernization and a given cohort's level of religious socialization. It is rather unlikely that large and rapid aggregate change in an attitude comes from cohort replacement alone. For instance, Tormos (2012) showed that three-quarters of the profound shift toward postmaterialism across Western countries (Inglehart, 1990) came from period effects, leaving only the remaining quarter to cohort replacement. Following Tormos (2019), we argue that the contribution of period effects to the change of justifiability of euthanasia can be substantial and needs to be investigated whereas assuming a pure cohort-based determination of attitude change is questionable.
The purpose of the current study was to decompose the societal dynamics of attitudes toward euthanasia into the period and cohort components. To do so, we examined whether period and cohort effects took place regarding the justification of euthanasia in a set of modernized countries. Recent developments in multilevel modeling have made distinguishing of cohort and period effects more attainable (Tormos, 2013, 2019; Fairbrother, 2014). A more general question we pursued was whether individual moral attitudes change only due to cohort replacement or whether they can evolve during relatively short periods of time.
2. Background and hypotheses
To avoid ambiguity, we define euthanasia here as the ending the life of an incurably sick person who is suffering unbearably at their own direct request. Studies that have examined specific attitudes toward euthanasia used related but different concepts (e.g., approval, justification, acceptance). Several papers addressed a more general measure of justifiability that included attitudes toward euthanasia (Vauclair and Fischer, 2011; Dülmer, 2014). We focused on the justifiability of euthanasia as long as it expresses an individual's recognition of other persons' moral right to euthanasia. Likewise, multiple studies have focused on a variety of participant roles in euthanasia procedures. These roles predispose views on euthanasia and should be distinguished. For instance, lay persons may recognize their personal right to end their own lives, whereas the view changes dramatically for medical professionals who may perform euthanasia on their patients (Chong and Fok, 2005; Lindblad et al., 2008; Álvarez Del Rio and Marván, 2011; Barnett et al., 2020; Lynøe et al., 2021). Our study focuses on the justifiability of euthanasia as expressed by the public (as opposed to experts) in relation to other people (as opposed to themselves).
Several studies have addressed general trends in the attitudes toward euthanasia. Cohen et al. (2014) showed a steady increase in positive views of the justifiability of euthanasia in twelve European countries (except for West Germany). Norris and Inglehart (2011) demonstrated a growth in the public perception of the justifiability of euthanasia in Western Europe but a decrease in Eastern Europe. In a similar vein, Halman and Van Ingen (2015) showed a trend toward higher justifiability of euthanasia in Western but no increase in Eastern Europe. According to Inglehart et al. (2021), justifiability of euthanasia had been increasing among populations of 48 countries (out of the 62 studied) including most high-income countries, excluding Greece.
However, it is unclear whether period effect or cohort replacement effect was the key component of this dynamic. For example, contemporary media coverage is more likely to be related to a period effect, whereas personal religiosity is more likely to be associated with experiences during individuals' formative years, so its effect is related to generational change. To clarify the impact of period and cohort effects on the justifiability of euthanasia, we focused on the decomposition of these effects while controlling for age (life course) differences because the latter do not directly relate to societal change (other than population aging). The distinction between period and cohort effects is important in predicting attitude change because a period effect directly translates into aggregate change of varying magnitude and direction, while the effect of primary socialization (cohort effect) has a much more delayed and long-term influence through cohort replacement.
Cohort replacement is considered a key component of the societal attitude change process and is well-described in the literature (Mannheim, 1952 [1923]; Inglehart, 1997). The early experiences of a certain age group during the so-called formative years and a common cultural context shape a generation and its views on many matters (Inglehart, 1990; Alwin and Krosnick, 1991). Values shared by the members of the same generation are assumed to remain the same for the lifetime. More precisely, a generation tends to maintain its values, regardless of its stage of the life cycle or period changes. By extension, we may argue that members of the same cohort would react to the current situation in a similar way, hence the only time-related differences within a cohort are due to the processes of growing up and maturation (i.e., age effects). Likewise, although it is a stronger assumption, one may argue that different cohorts would react to the current situation in the same way, and only a common reaction of people of different cohorts (and ages) defines a period effect. Age effects, on the other hand, are incapable of producing a societal change as they represent naturally individual differences (with exception of societal aging which is negligibly slow compared to period and cohort contributions).
In line with modernization theory, in countries experiencing socioeconomic growth over time, each new cohort is exposed to increasingly more comfortable and secure living conditions during their formative years, which leads to strong and stable inter-cohort differences that gradually translate into aggregate societal change when the natural process of demographic cohort replacement takes place (Abramson and Inglehart, 1992).
In particular, younger cohorts in most countries within the Organization for Economic Co-operation and Development (OECD) spent their formative years living under increasingly secure economic, material, and healthcare conditions. Consequently, they formed self-expression values to a greater degree and traditional religiosity to a lesser degree than previous cohorts (Inglehart and Welzel, 2005). Self-expression emphasizes personal choice and leads to more permissive moral attitudes whereas traditional religiosity has an opposite effect (Köneke, 2014; Rudnev and Savelkaeva, 2018). Given that the increase in postmaterialist values and decrease in religiosity in OECD countries began decades ago, we expect that the generational, or cohort, component of these dynamics has a steady, positive impact on euthanasia justifiability because younger cohorts were socialized in a more permissive environment and throughout the decades became a large share of the total population (Inglehart and Welzel, 2005; Dobewall et al., 2017). In addition, health-related societal changes that had its onset decades ago (such as infant mortality or life expectancy—Inglehart et al., 2021) point to the same direction of cohort effects in euthanasia justifiability. Thus, we hypothesized that younger cohorts justify euthanasia to a greater degree than their older counterparts (H1).
More recently, the central role of cohort replacement in societal value change has been contested, and period effects have appeared far more important than previously thought (Tormos, 2019). Cohort effects indeed contribute to an aggregate social change in a gradual and belated fashion through the mechanism of demographic cohort replacement (Abramson and Inglehart, 1992; Tormos, 2012). However, the degree of change observed in different indicators of modernization is unlikely to come from the natural pace of cohort replacement alone (Tormos, 2019). Events experienced throughout the lifespan can also change personal attitudes because the same exogenous factors responsible for intergenerational differences can produce value differences within a generation (Bardi and Goodwin, 2011; Tormos, 2019). This gives rise to the apparent but less researched period effect.
Period effects can be defined as changes in the attitudes of a population across time, regardless of cohort replacement. If events influencing attitudes are common to many individuals across generations, a country period effect may occur; in other words, the common experiences of a group of people of different ages and different generations can form a country period effect. This implies that period effects are external in relation to individuals and usually linked to contextual factors at the country level, some of which may have a definite trend such as a national socioeconomic development, and others fall into the category of random shocks, like economic crises, wars, or pandemics, among others.
Period effects imply that attitude change can happen at any moment of a human life in addition to the effect of the primary socialization, and therefore independently from the cohort replacement at the societal level. The change due to period effects can follow a trend, such as that observed in cohort effects, implying that the continuous societal improvement in the levels of existential security still influences people's attitudes beyond the formative years in the same predictable direction (Tormos, 2019). Yet they can also change attitudes and values right away as a result of a given random shock such as a sudden economic crisis or a pandemic. In the case of euthanasia justification, period effects might be related to stable exogenous and contextual factors, such as the general improvement of countries' socioeconomic conditions, or to more contingent and random contextual factors such as the COVID pandemic, changes in media coverage on the matter, or in legislation, welfare state provisions, and healthcare issues.
As most of the OECD nations have become increasingly prosperous over the last four decades, as mentioned above, importance of autonomy values increased and traditional religiosity declined, which in turn are conductive of euthanasia justifiability (Rudnev and Savelkaeva, 2018). Since this trend did not stop during the latter years of the studied period, we would expect a period-related increasing trend in justifiability of euthanasia—living in a secular society that sets a norm of autonomy affects all the cohorts not just the youngest. The period trend would parallel cohort effects but would appear more immediate as it reflects the current conditions.
Media coverage of euthanasia and related practices is another source of period effects. The high sensitivity of the topic attracts attention and entices the media to exploit it and cover every controversial case in detail (Hausmann, 2004; Rietjens et al., 2013). Such waves of information make discussions more heated and more public, which can lead to either a decline or increase in support for the justification of euthanasia and, similarly, to either a polarization or emerging consensus in public views. The only unambiguous effect from increasing media coverage of euthanasia is raising knowledge about euthanasia among the public. Such knowledge has unambiguous positive effects on the erosion of taboos, and when combined with the high-quality healthcare systems present in most of the OECD countries, it can only have a positive impact on the justifiability of euthanasia in the public's perception. Considering these arguments about period effects, we argue that period has a strong positive effect on the justifiability of euthanasia (H2).
A key component to control for in our analysis is personal age, or a stage of person's life cycle related to physical and psychological maturation and aging. Evidence has shown that attitudes do not become completely stable with aging after early adolescence, which suggests that age might have an impact independent of the cohort impact on attitudes (Krosnick and Alwin, 1989; Alwin and Krosnick, 1991). Although no studies have specifically disentangled the age effect on euthanasia attitudes (controlling for cohort and period), the slippery slope argument suggests a negative effect (Verbakel and Jaspers, 2010)—Younger people might perceive euthanasia as a distant topic, as death and sickness do not appear for them as close and real as for older people, so their evaluations of its justifiability might be alienated and more relevant to their subjective values than to real situations (Trope and Liberman, 2010). In contrast, older people more frequently experience health issues and see the end of life as a closer event, so their attitudes toward euthanasia can be affected by various concerns and the enhanced importance of these issues. Following the slippery slope argument (Keown, 1992), these concerns lead to a denial of the justifiability of euthanasia. At the same time, the proximity of death might drive interest in the topic and motivate individuals to gain more knowledge about euthanasia, which can only lead to an increase in justifiability. Therefore, both positive and negative effects of age could be hypothesized. Nevertheless, given the individual age cannot produce societal change as it is essentially individual characteristic, we considered age a control variable and did not aim to test age-related hypotheses, focusing solely on disentangling period and cohort effects. Indeed, consequences of age effects at the individual level tend to be null at the societal level, conditional on a situation of demographic equilibrium. When life expectancy and the rate of cohort replacement are constant in a society, individual age effects do not have any capacity to affect the aggregate levels of a given attitude. When individuals grow older and become more inclined to one side of a particular attitude, they pass away and get replaced by youths starting from a baseline position on this attitude. Therefore, if we control for age effects when explaining societal change in attitudes toward euthanasia, cohort and period effects end up competing.
In the following sections, we describe the data and modeling techniques we applied to disentangle period and cohort effects. Employing a large-scale comparative dataset from OECD countries, we then present descriptive statistics on period changes, inter-cohort differences, and intra-cohort changes in euthanasia justifiability across the nations studied. Next, we explain our modeling approach, which involved using dynamic and cross-classified multilevel models. The explanations of these analyses are followed by descriptions of a number of robustness checks. In the conclusion, we discuss possible explanations for the results and suggest directions for future research.
3. Data and method
3.1. Data and measures
The analysis was conducted using the combined European Values Study and World Values Survey (European Values Study, 2021; Haerpfer et al., 2022) data, which included cross-sectional national surveys covering a period of forty years, from 1981 to 2021. The longitudinal nature and extended length of time covered by the survey were crucial to decomposing the dynamics into period and cohort effects. Data on 292,794 respondents from 35 OECD countries were collected. Each country's population was surveyed in a maximum of seven waves and a minimum of two times during this period. After deleting 1.6% of cases missing on the key variable, euthanasia justifiability, the final sample included 250,454 respondents. The sample composition by country and wave is listed in Appendix A.
The countries studied were intentionally limited to OECD members because the topic of euthanasia is known in these societies, at least to some degree. Research on moral evaluations of issues unknown by respondents lies outside the scope of this paper.
The justifiability of euthanasia was measured as part of a large battery of questions that asked respondents to state “whether they think it can always be justified, never be justified, or something in between” for certain issues, including “euthanasia—ending of the life of the incurable sick” (WVS Questionnaire, 2005).
Period was indicated in two ways—as a survey year and as a wave of WVS/EVS —because the latter may include a variety of years or even surveys. Cohort boundaries are difficult to define across countries without fair criticism: the limits of a generation in one country may not agree with the limits in another country because such limits are associated with each country's and even region's unique history. At the same time, the analysis required same cohort boundaries across countries. For this reason, we opted to use broad cohorts for the main analysis and then repeat the analysis with different cuts to ensure the robustness of our results. For the main analysis, we used seven cohorts, divided by decade and the two marginal cohorts were formed to ensure a sufficient number of respondents for the oldest and youngest cohorts to perform the analysis. This way, we devised the following cohorts defined by the year of birth: 1880–1937; 1938–1949; 1950–1959; 1960–1969; 1970–1979; 1980–1989; 1990–2002.
3.2. Multilevel approaches to modeling period and cohort effects
Developing a model that can separately identify age, period, and cohort effects has been called a “futile quest” (see Glenn, 2005; Bell and Jones, 2013), and new approaches to the problem have been criticized harshly. The problem with such models is their empirical unidentifiability because each component is an exact product of the other two components. In other words, Equation 1:
has an indefinite number of solutions. Although substantive theories clearly distinguish the three components, from a statistical perspective, the equation cannot be solved, even when panel data is available. The only solution would be to find the true value of one of the three components (or assume it is known); then the other two can be identified. However, this is rarely possible because developing a strong a priori theory that can postulate the parameters of age, period, or cohort is not easy. Mason et al. (1973) suggested a popular statistical model that incorporates such assumptions. They suggested to define the boundaries of cohorts and recode them as dummy variables, which solves the collinearity problem and sometimes fits substantive theory well. The constraint in this approach is linked to the assumption that no cohort effects occur within researcher-defined cohort groups and that such effects can be observed only between cohorts, while within–cohort variability can be linked exclusively to age and period effects. However, later simulation studies (see Glenn, 2005) demonstrated that this solution fails to yield correct estimates if a linear trend exists between two of the three components, such as when both age and period have linear relations to a dependent variable. The introduction of multilevel age–period–cohort models changed the situation, and although the debate between developers and critics of this strategy is heated (Reither et al., 2009, 2015; Bell and Jones, 2014, 2015), this approach may work in certain cases.
We employed two novel extensions of these models. The first extension can be labeled the dynamic comparative multilevel approach (Tormos, 2013; Fairbrother, 2014; DCML). The main purpose of this approach is to capture the effects of contextual factors that change over time (time varying) and to distinguish them from those that are constant (time invariant). In the data from multiple observations of different countries, individuals (i) were naturally nested into countries and time periods (tj) as second-level units, which can be further nested within countries (j) as a third level. As shown in equation 2, age and cohort groups can be defined as first-level covariates, and period effects as a second-level covariate.
Period is considered a country-level characteristic because it is constant for individuals within given country–time observations and varies within countries and among time points. Period here can be operationalized as a year of survey which captures time more precisely or as a wave of survey which is less precise but more reliable as it ensures a sufficient number of observations in each point. We applied both operationalizations.
To overcome the high correlation between cohort and age, Mishler and Rose (2007) suggested to discretize birth years into cohorts and then transform age by its centering within each cohort. Following this procedure, cohort and age become orthogonal to each other, yet in the real data, the cohorts may differ by their average age, so a full separation of the effects is still impossible. Since such models were criticized for capturing linear and quadratic effects instead of age and cohort effects, or cohort and period effects, we also used squared terms of age and wave or survey year in every model.
Our second multilevel modeling strategy employed a modification of cross-classified random effects models, as suggested by Yang and Land (2006, 2008). Equation 3 represents such a model using age (centered) as a first-level covariate.
Individuals (level-1) are nested within the cross-classification of cohorts and period units (level-2). Both cohorts and period units have the same hierarchical status and are, in turn, nested within countries (level-3). In comparative cross-classified random effects models (C-CCREM), cohorts and periods are entered as random effects. Therefore, a feature of these models is that they provide the variance components of the country–cohorts and country–time units in addition to those of countries at the third level. This modeling strategy allows for variation in cohort and period effects across countries. In the real data, however, cohorts may differ by average age, and period points may differ by an average birth year, which is a limitation of our analysis.
The analysis was conducted in R 4.2.0 (R Core Team, 2022) with a package lme4 (Bates et al., 2015) and others. R codes for all the models and the full list of the packages used can be found in an open science framework directory at https://osf.io/ydswt. The data can be accessed from the official World Values Survey and European Values Study websites.
4. Results
4.1. Descriptive statistics
Figure 1 shows the average level of euthanasia justifiability by country across the earliest and most recent measurements. On average, the level of justification was 4.98 units on a scale of 1 to 10, and it substantially grew between the first (4.06) and the last (6.69) measurements, passing the midpoint of the scale (5.5). The levels of justification of euthanasia differed considerably across OECD countries. Of 35 countries, 22 had an average score above the midpoint. The countries with the highest levels of justification were the Netherlands (7.47), Denmark (7.34), Germany (7.13), New Zealand (7.11), and Finland (6.90). Those with the lowest levels were Turkey (2.53), Greece (3.11), Mexico (3.77), Ireland (3.73), and Poland (4.22). The overall change was positive and significant in all countries except South Korea and Mexico, where no change was found, and Greece and Turkey, where the justifiability of euthanasia decreased. The degree of change varied widely, too. For instance, during the same period from 1981 to 2018, the attitude in Norway improved by four units, while in Mexico it remained virtually the same.
Figure 1

Justification of euthanasia in each country's first (red points, year is in the left column) and last (black points, year is in the right column) observations.
To capture the potential relationship between the degree of change and the point of departure, we specified a time-series regression with a simple linear trend for each country (see Appendix B for details). The Spearman correlation between intercepts and slopes of these regressions was negative (r = −0.41, N = 35, p = 0.015), indicating that countries starting from lower base of justification tended to have slightly larger rates of its increase. This finding is expected, given that different nations were observed at multiple stages of a nearly universal path toward greater justifiability during a limited range of time.
4.2. Differences between cohorts
Figure 2 displays the difference in justification between the youngest and the oldest cohort in each nation, averaged over all periods observed. These results indicate that differences existed between cohorts in all countries and that the youngest cohorts tended to justify euthanasia more than the older cohorts. The average cohort gap was 1.94, which is comparable to the degree of overall change during the four decades covered by the study. However, the magnitude of the differences between the two polar cohorts varied from country to country: Latvia (0.02), Turkey (0.31), and Mexico (0.92) showed the smallest degrees of difference, while Portugal (3.39), Norway (3.38), Spain (3.34), and Italy (3.30) revealed the largest.
Figure 2

Differences between the cohorts born after 1989 (white dots) and the cohorts born before 1938 (black dots) in euthanasia justification, averaged across the period 1981–2020. Vertical bars represent the other cohorts.
A detailed analysis of the differences between all cohorts (see Appendix C) indicated that twenty countries had negative quadratic relations with birth cohort in addition to positive (younger are more positive) linear effects that were present in all the countries. In this group of nations, the younger cohorts were a little less tolerant than the immediately preceding ones. To illustrate this point, Figure 3 presents the cases of Austria and France, which have clear linear and curvilinear patterns, respectively.
Figure 3

Illustration of linear (Austria) and curvilinear (France) cohort patterns.
Among the countries with clear linear cohort patterns were New Zealand, Chile, Poland, Spain, and Austria. At the other end of the distribution were countries with strong curvilinear patterns, such as the Netherlands, France, Lithuania, and Canada. Interestingly, the correlation between the intercept and the quadratic effect was negative (r = −0.48, N = 35, p < 0.05), indicating that countries with a lower average degree of justifiability of euthanasia tended to have more curvilinear cohort effects. This implies that younger cohorts in these nations differed less than older cohorts in their justification of euthanasia.
4.3. Change within cohorts
Figure 4 illustrates the change in the degree of justifiability of euthanasia across the period of study for each cohort. Each cohort changed considerably over time in the general direction of a greater degree of justification for euthanasia. This change can theoretically be a product of both aging and period effects. If one can assume that the age effect on euthanasia justifiability is negative, then we observed mostly a positive period effect.
Figure 4

Intra-cohort change in euthanasia justification across 35 OECD countries, 1981–2021.
This positive trend was nearly universal. The intra-cohort change was positive in all the cohorts in most countries. In a minority of nations, such as Greece, Turkey, and Mexico, most cohorts experienced a negative trend, yet even there the youngest cohorts showed a positive change in attitude toward euthanasia.
4.4. Multilevel regressions
About 11% of euthanasia justifiability variance was at the country level, and 4% was explained by the survey wave. This shows that in this group of countries, on average, between–country differences were larger than the change of attitude, even though our study spanned almost four decades.
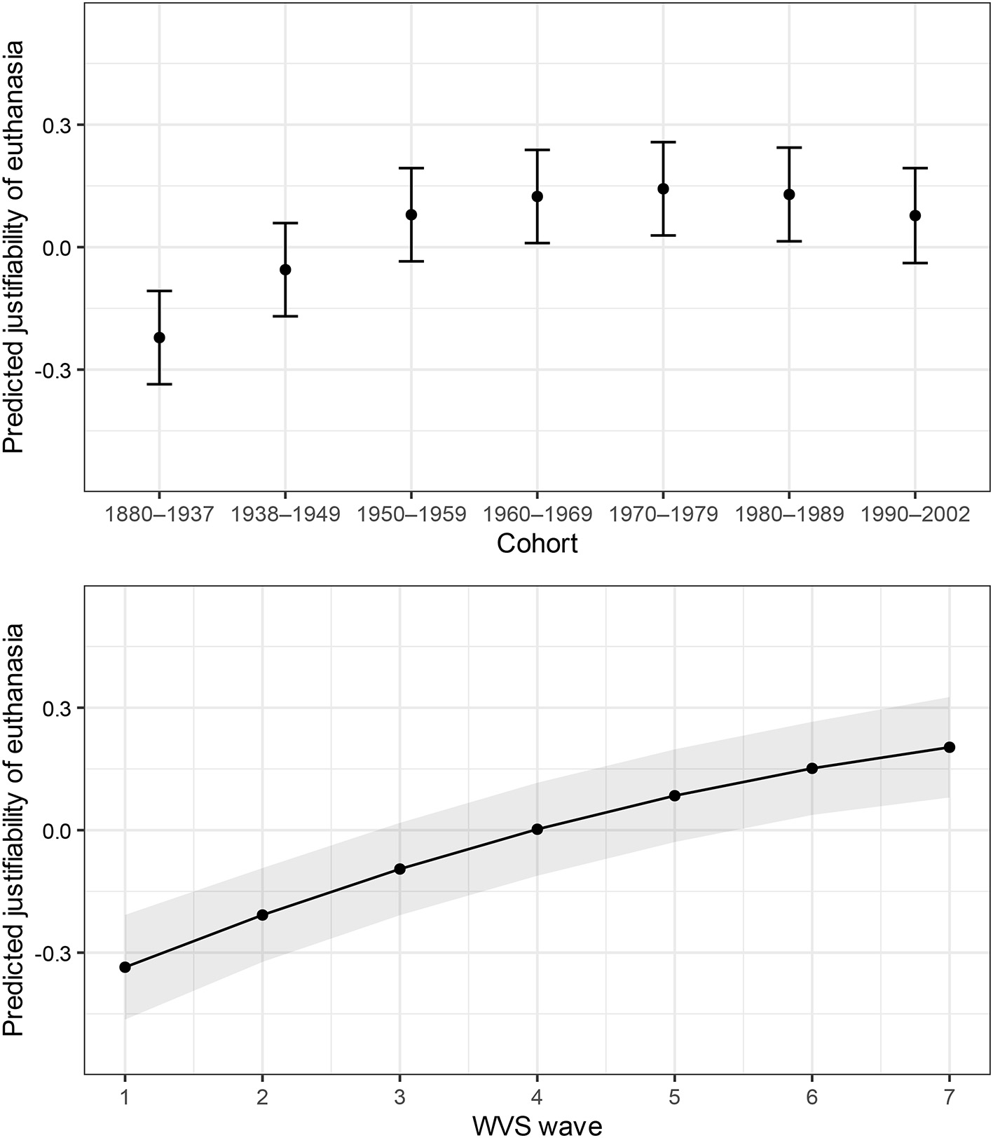
Table 1 presents the results of three DCML models. In model 1, non-centered age in years and its quadratic term are included as fixed effects at the individual level, along with the seven cohort groups and year of survey, as well as their squared terms. Cohort effects here appeared rather small: as depicted in the table, the standardized regression coefficients were < 0.15 for each cohort, with the oldest one used as a reference category. The levels of justification among the youngest and second youngest cohorts cannot be considered different from those of the oldest cohort, as the coefficients were non-significant. This points to a ∩-shaped (negative squared) cohort effect. Age had a small negative linear effect. However, the age and cohort effects were collinear (with a variance inflation factor for cohorts of 20.5). Therefore, models 2 and 3 included age centered within cohorts, which effectively eliminated multicollinearity. Models 2 and 3 showed slightly less quadratic and more linear effects of cohorts: younger cohorts justified euthanasia more or at least to the same degree. The upper panel of Figure 5 indicates that the main differences were due to the two oldest cohorts (born before 1950), whereas all the other cohorts demonstrated similar levels of euthanasia justification.
Table 1
| Model 1 | Model 2 | Model 3 | |
|---|---|---|---|
| Level 1 | |||
| Cohorts | |||
| 1881-1937 | ref. | ref. | ref. |
| 1938-1949 | 0.07 (0.01)*** | 0.17 (0.01)*** | 0.17 (0.01)*** |
| 1950-1959 | 0.13 (0.01)*** | 0.30 (0.01)*** | 0.30 (0.01)*** |
| 1960-1969 | 0.11 (0.02)*** | 0.35 (0.01)*** | 0.35 (0.01)*** |
| 1970-1979 | 0.07 (0.02)*** | 0.36 (0.01)*** | 0.36 (0.01)*** |
| 1980-1989 | 0.02 (0.03) | 0.35 (0.01)*** | 0.35 (0.01)*** |
| 1990-2002 | −0.07 (0.03)* | 0.30 (0.01)*** | 0.30 (0.01)*** |
| Age | −0.13 (0.01)*** | ||
| Age2 | −0.00 (0.00) | ||
| Age (centered within cohorts) | −0.06 (0.00)*** | −0.06 (0.00)*** | |
| Age2 (centered within cohorts) | −0.00 (0.00) | −0.00 (0.00) | |
| Level 2 | |||
| Year of survey | 0.17 (0.01)*** | 0.15 (0.01)*** | |
| Year of survey2 | −0.04 (0.01)*** | −0.04 (0.01)** | |
| Wave of survey | 0.17 (0.01)*** | ||
| Wave of survey2 | −0.03 (0.01)* | ||
| Variances of random intercepts | |||
| Country | 0.03 | 0.03 | 0.03 |
| Country–wave | 0.11 | 0.11 | 0.11 |
| Residual | 0.83 | 0.83 | 0.83 |
| AIC | 653,155 | 653,273 | 653,265 |
| BIC | 653,301 | 653,419 | 653,411 |
Dynamic comparative multilevel models of euthanasia justification across 35 OECD countries, 1981–2021; standardized coefficients.
*** p < 0.001; **p < 0.01; *p < 0.05.
ICCcountry = 0.11; ICCwaves = 0.04. N = 246,516 respondents, 35 countries, 169 country–waves.
Figure 5

Predicted cohort and period effects from model 3 in Table 1. Error bars and the gray ribbon are 95% confidence intervals.
The linear effect of age appeared again negative and small. The older individuals justified euthanasia less than younger ones; there was no quadratic effect of age.
Period effects were operationalized by the year (model 1) or wave of survey (model 2 and 3). Compared to age and cohort, period effects showed stronger effects. In each of the three models, both positive linear and negative quadratic period effects were significant. The lower panel of Figure 5 illustrates this positive trend, with some slowdown at more recent time points.
As mentioned, the arbitrary decisions we made regarding the specifications of the model may have affected the results. Therefore, to check the robustness of our conclusions, we tested seven additional model specifications (listed in Appendix D). Models A1–A5 manipulated the cohort splits, the number, and their regularity (i.e., how equal the splits are). The effects of cohorts differed across these manipulations; however, the general trend remained similar: the oldest cohort(s) justified euthanasia the least, the middle cohorts justified it the most, and the youngest were similar or slightly less positive about euthanasia compared to the middle age groups. All this concurs with the pattern described previously. Moreover, age effects decreased when the number of cohorts in the analysis was higher but remained highly significant, regardless of the model specification. This indicates that the age effect estimates were reliable. Finally, the effects of the survey wave or year were stable across cohort manipulation, and additional model A7, which added “wave” as a categorical variable, confirmed a positive period effect, with a slowdown in the later waves.
The alternative modeling strategy was C-CCREM and can also be understood as a robustness check. The regression coefficients are listed in Table 2. Since this modeling strategy treats period and cohort effects as random, only their variances were estimated, whereas the specific values for each cohort and wave could only be predicted from the model. Figures 6, 7 present these predicted wave and cohort values based on models 4–7.
Table 2
| Model 4 | Model 5 | Model 6 | Model 7 | |
|---|---|---|---|---|
| Level 1 | ||||
| Age (centered within cohorts) | −0.05 (0.00)*** | −0.05 (0.00)*** | −0.06 (0.00)*** | −0.05 (0.00)*** |
| Age2 (centered within cohorts) | −0.00 (0.00)* | −0.00 (0.00) | −0.00 (0.00)* | −0.00 (0.00) |
| Level 2a | ||||
| Average age by cohort | 0.02 (0.00)*** | 0.02 (0.00)*** | ||
| Average age by cohort, squared | −0.001 (0.00)*** | −0.001 (0.00)*** | ||
| Level 2b | ||||
| Average birth year by wave | 1.40 (0.76) | 1.50 (0.75)* | ||
| Average birth year by wave, squared | −0.001 (0.00) | −0.001 (0.00)* | ||
| Variances of random intercepts | ||||
| Country | 0.08 | 0.09 | 0.09 | 0.10 |
| Country–wave | 0.06 | 0.06 | 0.03 | 0.03 |
| Country–cohort | 0.02 | 0.00 | 0.02 | 0.00 |
| Residual | 0.82 | 0.82 | 0.82 | 0.82 |
| AIC | 653,110 | 652,852 | 653,024 | 652,775 |
| BIC | 653,182 | 652,945 | 653,118 | 652,889 |
Results of the comparative cross-classified random effects models of justification of euthanasia across 35 OECD countries, 1981–2021; standardized coefficients.
*** p < 0.001; **p < 0.01; *p < 0.05. N = 246,516 respondents, 35 countries, 169 country–waves, 186 country–years, 245 country–cohorts.
Figure 6

Average of the cohort random effects estimates from C-CCREM models 4 and 5 across countries (dots) with their standard deviations (bars). The columns are an average age in each cohort.
Figure 7

Average of the period random effects estimates from C-CCREM models 4 and 6 across countries. Error bars are ±1 standard deviation. The columns are an average birth year at each time point.
The patterns predicted by model 4 appear similar to those of the DCML (left panels of Figures 6, 7). The cohort effects followed the same ∩-shaped pattern, and period effects also pointed to a trend toward an increase in justifiability with time. However, cohorts strongly differed by average age, even across all the measurement points. Likewise, birth year (i.e., cohort composition) differed across survey waves (see the left panels in Figures 6, 7). This implies that the effects of cohorts may have been confounded by age, and period effects may be biased by differences in average birth year across time points. To mitigate these problems, we fit models 5–7, which introduced average age by cohort, average birth year by wave, as well as two of these effects simultaneously. The results demonstrated that these effects were highly significant and explained about a half of the wave's and cohort's random intercept variances. The coefficients paralleled the confounder's effects: average age by cohort had a negative effect (as did age), and average birth year by wave had a positive effect (as did cohorts). The squared terms of these effects resembled the corresponding effects of the confounders as well. The right panel of Figure 6 demonstrates what happened to the predicted values of the cohort after controlling for confounders. After adding these controls, the differences in justifiability of euthanasia were no longer present, pointing to the possibility that previously found cohort effects may, in fact, be a function of age differences across the observed cohorts.
Likewise, control of an average birth year per survey eliminated period effects. As the right panel of Figure 7 illustrates, the predicted justifiability of euthanasia barely differed by survey wave, with a spike in wave 3. This implies that the strong positive trend described previously may be an artifact confounded by differences in cohort composition. Substantively, it would also imply that most of the dynamics may be due to cohort replacement rather than to a zeitgeist.
Finally, the age effect was negative linear with a weak negative quadratic curving, which is similar to the effects estimated previously across all models.
Another robustness test was related to the idea that the attitude change was not specific to euthanasia but, rather, followed a general pattern of increasing permissiveness, which may imply that nearly every issue has become more justifiable. To test if the effects found were specific to euthanasia, we repeated the models with control for homosexuality justifiability, an attitude that is highly indicative of permissiveness but not directly associated with euthanasia. The results, as presented in Appendix E, demonstrate that controlling for homosexuality justifiability and its squared term reduced all the age, period, and cohort effects, but a general pattern of effects did not substantially change, implying that the effects as described previously cannot be explained solely by a change in overall permissibility, as indicated by attitudes toward homosexuality.
5. Discussion and conclusion
The current study aimed to describe patterns of change in the justification of euthanasia in OECD countries. More precisely, we focused on analyzing and comparing the overall change, as well as the effects of period and cohorts, using international survey data and two types of dynamic multilevel regression models. In general, the hypotheses anticipated positive period effects and a greater degree of justifiability among younger cohorts.
The descriptive analysis demonstrated that an overall change was almost universally positive, with the exceptions of Greece and Turkey, where the degree of justification for euthanasia decreased. This finding is consistent with the modernization of human development. The exception of Turkey can be tied to a recent growth in levels of religiosity in that context. The unexpected trajectory of Greece may be due to a series of economic crises, which undermined its population's self-expression values. The magnitude of change in the degree of justification of euthanasia varied across countries, apparently due to the diverse stages of modernization in each of these countries. Younger cohorts demonstrated a higher degree of justifiability of euthanasia, universally. Between–cohort differences varied in shape across countries. Most nations followed a clear linear pattern, in which younger cohorts displayed consistently higher degrees of justification than older cohorts, but in some cases, this trend followed a curvilinear pattern, in which the second youngest cohort showed the greatest degree of euthanasia justification. Moreover, countries that, on average, portrayed greater degrees of justifiability revealed stronger quadratic effects: that is, the youngest cohorts did not justify euthanasia more than middle age groups. This interesting finding can be attributed to a postmodernization effect, indicating that the youngest cohorts experienced modernization to a lesser extent. If this is the case, then, in the future, growth in the justifiability of euthanasia among more advanced countries may slow down.
Additionally, a change was observed within cohorts, with levels of justification increasing over time. Thus, the overall descriptive picture supported our hypotheses.
Our attempt to separate cohort and period effects analytically showed mixed results. On one hand, two alternative approaches to modeling cohort and period effects—DCML and comparative CCREM—pointed to similar patterns of attitude change. They showed positive period effects with a slight decrease in intensity in more recent years and positive effects for younger cohorts, with a certain peak in the degree of justifiability for the middle cohorts. Controlling for an overall permissiveness, as indicated by attitudes toward homosexuality, reduced all effects but did not impact the overall pattern of effects. Moreover, alternative groupings of the cohorts did not change these basic conclusions.
On the other hand, controlling for an overlap between cohort and age, and between period and cohort effects revealed a dramatic decrease in the respective effects. This undermines the distinction between cohort, age, and period effects. The results can be interpreted in a way that eliminates the distinction between period and cohort, but we opted for a more substantive interpretation. The dynamics of attitudes such as the justification of euthanasia can be influenced by changes in contextual factors like the socioeconomic development of nations. Since we know that here was a trend toward increasing levels of prosperity, this tendency likely translates into a corresponding trend in the justification of euthanasia. In terms of the age-period-cohort analysis framework, we could simultaneously observe a trend in both period and cohort effects in the same direction. This is because both share a common cause except cohort effects happen when individuals are in their formative years and period effects take place during their entire lives (Tormos, 2019). In aggregate terms, a trend in cohort effects would imply a gradual shift toward increasing societal acceptance of euthanasia. However, this shift would be slow as it is operated through demographic cohort replacement. Whenever we observe rapid aggregate change, such as in the case of attitudes to euthanasia, odds are that period effects are playing a role, as most of our tests apparently indicate.
As for the effects of age, these were established as negative in all models, showing a surprising robustness and indicating that older individuals were universally less prone to justify euthanasia. This is likely due to the increasing perception of proximity of death. In any case, age effects are individual effects par excellence, and therefore of a lesser importance in aggregate terms. In a situation of demographic stability in births and deaths, a negative age effect in euthanasia justification would cancel out at the societal level. As individuals become older and less tolerant, they are replaced by younger, more tolerant individuals. This creates a parallel process of generational turnover.
Overall, we believe that our results are suggestive of the two-route change in attitudes: (1) the fast route of period effects, and (2) the slow or gradual pace of generational replacement. The dynamics of change in these attitudes coincides with what Tormos (2019) defined as modernization in real-time, challenging the gradual pace predicted by Inglehart (1997) and his socialization hypothesis.
The current study has many limitations. First, the caveats of the age–period–cohort analysis are well known; we conducted this research realizing that it may be biased. Nevertheless, combining formal data analysis with substantive theory, our speculations about differences in various components of attitude change proved to be likely. Second, we did not consider any covariates of attitude change, focusing exclusively on patterns of change. Further research can attempt to explain the mechanisms of intra- and inter-cohort changes and determine whether the self-actualization of beliefs influences the evolution of attitudes toward euthanasia. Moreover, more attention should be paid to the differences between countries, particularly in their degree of modernization, the culture-specific divisions of generations, and so on. Likewise, period effects may differ by country, and age effects may differ across cohorts. All this should be accounted for in future studies. Finally, a serious limitation of our study is the use of a single item as a measure of euthanasia justifiability, which could have underestimated the real attitude levels (Remizova and Rudnev, 2020) or could be understood differently across different nations. Nevertheless, the WVS/EVS is a unique source of data with such a limitation; thus, although we realize it could be somewhat biased, it is the only choice so far.
Despite all these limitations, the current study disclosed the dynamics of the justifiability of euthanasia across OECD countries and suggested a plausible theory regarding its period and cohort counterparts.
Statements
Data availability statement
Publicly available datasets were analyzed in this study. This data can be found here: https://worldvaluessurvey.org and https://europeanvaluesstudy.eu/.
Ethics statement
Ethical review and approval was not required for the study on human participants in accordance with the local legislation and institutional requirements. Written informed consent for participation was not required for this study in accordance with the national legislation and the institutional requirements.
Author contributions
RT wrote the first draft and ran initial analysis. MR re-ran analysis in R and made a major revision to the paper. EB contributed to theoretical parts of the paper. All authors contributed to the article and approved the submitted version.
Funding
This work was supported by the Spanish Ministry of Science and Innovation under Grant PID2019-106882RB-I00 and by the DFG-German Research Foundation under Grant BE 4267/2-1, and under the grant for mobility of PhD staff by the Basque Government (2022).
Conflict of interest
The authors declare that the research was conducted in the absence of any commercial or financial relationships that could be construed as a potential conflict of interest.
Publisher’s note
All claims expressed in this article are solely those of the authors and do not necessarily represent those of their affiliated organizations, or those of the publisher, the editors and the reviewers. Any product that may be evaluated in this article, or claim that may be made by its manufacturer, is not guaranteed or endorsed by the publisher.
Supplementary material
The Supplementary Material for this article can be found online at: https://www.frontiersin.org/articles/10.3389/fpos.2023.1036447/full#supplementary-material
References
1
Abramson P. Inglehart (1992). Generational replacement and value change in eight West European societies. Br. J. Polit. Sci.22, 183–228. 10.1017/S0007123400006335
2
Adamczyk A. (2019). Cross-National Public Opinion About Homosexuality: Examining Attitudes Across the Globe. Oakland, CA: University of California Press. 10.1515/9780520963597
3
Álvarez Del Rio A Marván M. L. (2011). On euthanasia: exploring psychological meaning and attitudes in a sample of mexican physicians and medical students. Dev. World Bioeth.11, 146–153. 10.1111/j.1471-8847.2011.00308.x
4
Alwin D. F. Krosnick J. A. (1991). Aging, cohorts, and the stability of sociopolitical orientations over the life span. Am. J. Sociol.97, 169–195. 10.1086/229744
5
Bardi A. Goodwin R . (2011): The dual route to value change: individual processes cultural moderators, J. Cross-Cult. Psychol. 42, 271–287. 10.1177/0022022110396916
6
Barnett M. D. Cantu C. Galvez A. M. (2020). Attitudes toward Euthanasia among hospice nurses: political ideology or religious commitment?. Death Stud.44, 194–200. 10.1080/07481187.2018.1539050
7
Bates D. Maechler M. Bolker B. Walker S. (2015). Fitting linear mixed-effects models using lme4. J. Stat. Softw.67, 1–48. 10.18637/jss.v067.i01
8
Bell A. Jones K. (2013). The impossibility of separating age, period and cohort effects. Soc. Sci. Med.93, 163–165. 10.1016/j.socscimed.2013.04.029
9
Bell A. Jones K. (2014). Don't birth cohorts matter? A commentary and simulation exercise on Reither, Hauser, and Yang's (2009) age–period–cohort study of obesity. Soc. Sci. Med.101, 176–180. 10.1016/j.socscimed.2013.09.004
10
Bell A. Jones K. (2015). Should age-period-cohort analysts accept innovation without scrutiny? A response to Reither, Masters, Yang, Powers, Zheng and Land. Soc. Sci. Med.128, 331–333. 10.1016/j.socscimed.2015.01.040
11
Boehnke K. Hadjar A. Baier D. (2007). Parent-child value similarity: the role of Zeitgeist. J. Marr. Family69, 778–792. 10.1111/j.1741-3737.2007.00405.x
12
Chong A. M. L. Fok S. Y. (2005) Attitudes toward euthanasia in Hong Kong: a comparison between physicians the general public. Death Stud. 29, 29–54. 10.1080/07481180590519769
13
Cohen J. Marcoux I. Bilsen J. Deboosere P. Van Der Wal G. Deliens L. et al . (2006). Trends in acceptance of euthanasia among the general public in 12 European countries (1981–1999). Eu. J. Public Health16, 663–669. 10.1093/eurpub/ckl042
14
Cohen J. Van Landeghem P. Carpentier N. Deliens L. (2014). Public acceptance of euthanasia in Europe: a survey study in 47 countries. Int. J. Public Health59, 143–156. 10.1007/s00038-013-0461-6
15
Dobewall H. Tormos R. Vauclair C-. M. (2017). Normative Value change across the human life cycle: similarities and differences across Europe. J Adult Develop. 24, 263–276. 10.1007/s10804-017-9264-y
16
Dülmer H. (2014). “Modernization, culture and morality in Europe: universalism, contextualism or relativism?” in Value Contrasts and Consensus in Present-Day Europe (pp. 251–276). Brill. 10.1163/9789004261662_013
17
European Values Study . (2021). EVS Trend File 1981-2017. GESIS Data Archive, Cologne. ZA7503 Data file Version 3, 0.0.
18
Fairbrother M. (2014). Two multilevel modeling techniques for analyzing comparative longitudinal survey datasets. Polit.l Sci. Res. Methods, 2, 199–140. 10.1017/psrm.2013.24
19
Glenn N. D. (Ed.). (2005). Cohort Analysis. (2nd ed.). Thousand Oaks, CA: SAGE Publication, Inc.
20
Haerpfer C. Inglehart R. Moreno A. Welzel C. Kizilova K. Diez-Medrano J. et al (eds.). (2022). World Values Survey Trend File (1981-2022) Cross-National Data-Set. Madrid, Spain and Vienna, Austria: JD Systems Institute and WVSA Secretariat. Data File Version 2, 0.0.
21
Halman L. Van Ingen E. (2015). Secularization and changing moral views: european trends in church attendance and views on homosexuality, divorce, abortion, and euthanasia. Eur. Sociol. Rev.31, 616–627. 10.1093/esr/jcv064
22
Hausmann E. (2004). How press discourse justifies euthanasia. Mortality, 9, 207–221. 10.1080/13576270412331272798
23
Inglehart R. (1990). Culture Shift in Advanced Industrial Society. Princeton, NJ: Princeton University Press10.1515/9780691186740
24
Inglehart R. (1997). Modernization and Post-modernization: Cultural, Economic, and Political Change In 43 Societies. Princeton, NJ: Princeton University Press. 10.1515/9780691214429
25
Inglehart R. Welzel C. (2005). Modernization, Cultural Change, and Democracy: The Human Development Sequence.Cambridge, UK: Cambridge University Press.
26
Inglehart R. Welzel C. (2010). Changing mass priorities: the link between modernization and democracy. Perspect. Polit.8, 551–567. 10.1017/S1537592710001258
27
Inglehart R. C. Nash R. Hassan Q. N. Schwartzbaum J. (2021). Attitudes toward euthanasia: a longitudinal analysis of the role of economic, cultural, and health-related factors. J. Pain Symptom Manage.62, 559–569. 10.1016/j.jpainsymman.2021.01.009
28
Keown J. (1992). The Law and Practice of Euthanasia in the Netherlands. Law Quart. 3, 6. 10.1017/CBO9780511527067.006
29
Kiley K. Vaisey S. (2020). Measuring stability and change in personal culture using. Am. Sociol. Rev. 85:477–506. 10.31235/osf.io/8za35
30
Köneke V. (2014). Trust increases euthanasia acceptance: a multilevel analysis using the European Values Study. BMC Med. Ethics4, 15–86. 10.1186/1472-6939-15-86
31
Krosnick J. A. Alwin D. F. (1989). Aging and susceptibility to attitude change. J. Pers. Soc. Psychol.57, 416–425. 10.1037/0022-3514.57.3.416
32
Lindblad A. Löfmark R. Lynøe N. (2008). Physician-assisted suicide: a survey of attitudes among Swedish physicians. Scand. J. Public Health36, 720–727. 10.1177/1403494808090163
33
Lynøe N. Lindblad A. Engström I. Sandlund M. Juth N. (2021). Trends in Swedish physicians' attitudes toward physician-assisted suicide: a cross-sectional study. BMC Med. Ethics22, 1–9. 10.1186/s12910-021-00652-0
34
Mannheim K. (1952). The problem of generations' in Essays on the Sociology of Knowledge, ed Mannheim. K. (First Published 1923).
35
Mason K. O. Mason W. M. Winsborough H. H. Poole K. W. (1973). Some methodological issues in the cohort analysis of archival data. Am. Sociol. Rev.38, 242–258. 10.2307/2094398
36
Mishler W. Rose R. (2007). Generation, age, and time: the dynamics of political learning during Russia's transformation. Am. J. Pol. Sci.51, 822–834. 10.1111/j.1540-5907.2007.00283.x
37
Norris P. Inglehart R. (2011). Sacred and Secular: Religion and Politics Worldwide. Cambridge: Cambridge University Press. 10.1017/CBO9780511894862
38
R Core Team. (2022). R: A Language and Environment for Statistical Computing. R Foundation for Statistical Computing: Vienna, Austria. Available online at: https://www.R-project.org/
39
Reither E. N. Hauser R. M. Yang Y. (2009). Do birth cohorts matter? Age-period-cohort analyses of the obesity epidemic in the United States. Soc. Sci. Med.69, 1439–1448. 10.1016/j.socscimed.2009.08.040
40
Reither E. N. Masters R. K. Yang Y. C. Powers D. A. Zheng H. Land K. C. et al . (2015). Should age-period-cohort studies return to the methodologies of the 1970's?Soc. Sci. Med.128, 356–365. 10.1016/j.socscimed.2015.01.011
41
Remizova A. Rudnev M. (2020). Understanding the justifiability scale in international surveys: an exploratory study. Int. J. Soc. Res. Methodol.23, 291–309. 10.1080/13645579.2019.1683135
42
Rietjens J. A. Raijmakers N. J. Kouwenhoven P. S. Seale C. van Thiel G. J. Trappenburg M. et al . (2013). News media coverage of euthanasia: a content analysis of Dutch national newspapers. BMC Med. Ethics14, 11. 10.1186/1472-6939-14-11
43
Rose N. (2007). The Politics of Life Itself: Biomedicine, Power, and Subjectivity in the Twenty-First Century. Princeton, NJ: Princeton University Press. 10.1515/9781400827503
44
Rudnev M. Savelkaeva A. (2018). Public support for the right to euthanasia: Impact of traditional religiosity and autonomy values across 37 nations. Int. J. Comp. Sociol.59, 301–318. 10.1177/0020715218787582
45
Tormos R. (2012). Postmaterialist values and adult political learning. intracohort value change in Western Europe. Revista Española de Investigaciones Sociol.140, 89–120. 10.5477/cis/reis.140.201
46
Tormos R. (2013). The Rhythm of Modernization. Contextual Effects and Within-Cohort Value Change. Dissertation thesis. Universitat Autònoma de Barcelona. Barcelona
47
Tormos R. (2019). The Rhythm of Modernization. How Values Change Over Time.Brill: Leiden-Boston. 10.1163/9789004411913
48
Trope Y. Liberman N. (2010). Construal-level theory of psychological distance. Psychol. Rev., 117, 440. 10.1037/a0018963
49
Vauclair C. M. Fischer R. (2011). Do cultural values predict individuals' moral attitudes? A cross-cultural multilevel approach. Eur. J. Soc. Psychol.41, 645–657. 10.1002/ejsp.794
50
Verbakel E. Jaspers E. (2010). A comparative study on permissiveness toward euthanasia. Religiosity, slippery slope, autonomy, and death with dignity. Public Opin. Quart.74, 109–139. 10.1093/poq/nfp074
51
WVS Questionnaire (2005). Available online at: http://www.worldvaluessurvey.org/WVSDocumentationWV5.jsp (accessed January 20, 2016).
52
Yang Y. Land K. C. (2006). A mixed models approach to the age-period-cohort analysis of repeated cross-section surveys, with an application to data on trends in verbal test scores. Sociol. Methodol.36, 75–97. 10.1111/j.1467-9531.2006.00175.x
53
Yang Y. Land K. C. (2008). Age-period-cohort analysis of repeated cross-section surveys: fixed or random effects. Sociol. Meth. Res.36, 297–326. 10.1177/0049124106292360
Summary
Keywords
euthanasia, values, age-period-cohort analysis, modernization, socialization
Citation
Tormos R, Rudnev M and Bartolomé Peral E (2023) Patterns of change in the justifiability of euthanasia across OECD countries. Front. Polit. Sci. 5:1036447. doi: 10.3389/fpos.2023.1036447
Received
04 September 2022
Accepted
02 June 2023
Published
16 June 2023
Volume
5 - 2023
Edited by
Andrzej Klimczuk, Warsaw School of Economics, Poland
Reviewed by
Veljko Turanjanin, University of Kragujevac, Serbia; Tianyuan Li, The Chinese University of Hong Kong, China
Updates
Copyright
© 2023 Tormos, Rudnev and Bartolomé Peral.
This is an open-access article distributed under the terms of the Creative Commons Attribution License (CC BY). The use, distribution or reproduction in other forums is permitted, provided the original author(s) and the copyright owner(s) are credited and that the original publication in this journal is cited, in accordance with accepted academic practice. No use, distribution or reproduction is permitted which does not comply with these terms.
*Correspondence: Maksim Rudnev maksim.rudnev@gmail.com
Disclaimer
All claims expressed in this article are solely those of the authors and do not necessarily represent those of their affiliated organizations, or those of the publisher, the editors and the reviewers. Any product that may be evaluated in this article or claim that may be made by its manufacturer is not guaranteed or endorsed by the publisher.