Abstract
This study investigates the representation and processing of written Chinese sentences subject to a semantic condition (i.e., “direction of change”) attached to the sentence-final particle (SFP) le in Mandarin Chinese. Three groups of bilingual speakers of Chinese and English who differ in their onset age of bilingualism and proficiency of English were studied. It was anticipated that there would be a positive cross-linguistic influence (CLI) from English due to similarities between the SFP le and the English adverb already in terms of direct semantic transfer. An acceptability judgment (AJ) task and a self-paced reading (SPR) task were conducted to elicit judgment and processing difficulty with and without semantic violations. The participants included English-dominant second language (L2) learners (n = 18) and heritage learners (n = 19) who had advanced proficiency in Chinese, as well as monolingually raised Mandarin speakers from China as a baseline control group (n = 18). The results indicated that sensitivity to violations of the semantic condition varied depending on factors such as the specific structure (noun vs. verb phrase), the task type (offline vs. online), and the type of bilingual speaker (early vs. late). Among the three groups of bilinguals, the heritage learners demonstrated a representation of the semantic condition that resembled the target language across different sentence structures, whereas the L2 learners did not. Furthermore, the heritage learners exhibited earlier sensitivity to violations during online processing compared to the baseline control group. These exceptional results can be attributed to the heritage learners’ early exposure to and positive CLI between the SFP le in Mandarin and the English adverb already.
1. Introduction
Cross-linguistic influence (CLI), in which grammatical properties of prior or simultaneously acquired language(s) influence those of subsequently acquired ones, is widely reported (see Lago et al., 2021 for a review). Moreover, first language (L1) properties, if transferred into the second language (L2), may persist into very advanced stages of L2 acquisition (Inagaki, 2001; Rankin, 2014; Bauke, 2020; among others). In sentence reading tasks which necessarily involve real-time information processing, coordination of grammatical properties from various linguistic domains such as syntax and semantics can be cognitively taxing (Hopp, 2006). Most studies on CLI have focused on the negative effects of CLI (Odlin, 2001; Yuan, 2004; Yuan and Zhao, 2005; Jackson and Dussias, 2009; among others). However, much less emphasis has been placed on its positive side, which should facilitate both the acquisition and processing of the target language (Odlin, 1989; Yip et al., 2018). Furthermore, for structures that pose similar constraints cross-linguistically, the syntactic differences between them, for example whether less embedded ones exert larger positive CLI effects, are unknown. For L2 learners (L2ers), online reading tasks are more challenging than offline ones as explicit knowledge is less accessible by the parser in online tasks due to time pressure (e.g., Jiang, 2004; Andersson et al., 2019; Mickan and Lemhöfer, 2020). However, for heritage language learners (HLers), early exposure to the target language might to some extent bring about advantages over adult L2 learners in terms of sensitivity to very subtle semantic features (e.g., Mai and Deng, 2017; Polinsky and Scontras, 2020). In this study, we examine whether and to what extent positive CLI takes place in establishing and maintaining a syntax-semantic condition in the L2 and heritage Mandarin Chinese using both offline and online reading tasks.
2. CLI in grammatical acquisition and sentence reading
2.1. Structural effects on CLI
When the target structure in the L2 does not have a close structural equivalent in the L1, or the L1 equivalent is substantially different from the L2 target (“L1-L2 different structures”), positive CLI from the L1 on the L2 is not expected. Nevertheless, L1-L2 similarity is by no means a necessary condition for native-like sentence processing in the L2. Frenck-Mestre and Pynte (1997) showed that in processing structurally ambiguous English sentences (i.e., subject/object ambiguities, non-ambiguous in French), adult French-L1 English-L2 bilinguals performed in a similar manner to English monolinguals despite temporary difficulties. In Hoover and Dwivedi (1998), French clitics in causative and non-causative sentences were successfully acquired by highly proficient adult English-L1 learners of French. Similarly, Jackson and Dussias (2009) revealed that L2 learners of German, when reading wh-extractions in German, were sensitive to morphological case-marking not instantiated in their L1 English (other studies see Hasegawa et al., 2002; Yokoyama et al., 2006).
Nevertheless, when the L2 target structure has a close equivalent in the L1 (“L1-L2 similar structures”), it is expected that structural similarity should lead to positive L1 transfer, facilitating the acquisition of the L2. However, the expected positive CLI is not always present (Bates and MacWhinney, 1989; Tokowicz and MacWhinney, 2005; Jing, 2008; Sabourin and Stowe, 2008, among others). For example, native speakers of Greek showed clear preferences in terms of high/low attachment in interpreting nouns in relative clauses, which is shared by a number of languages such as Spanish, German, and Russian, and are thus not expected to cause problems for Greek L2 learners whose L1 is any of these three languages. However, Papadopoulou and Clahsen (2003) found that L2 learners of Greek who were highly proficient in it, showed no preference for high/low attachment in the structure, suggesting the L1-L2 similarity might not play any facilitating role. Similar findings were reported with regard to the comprehension of non-local dependencies (Felser and Roberts, 2007; Omaki and Schulz, 2011).
Jeong et al. (2007) and Jeong et al. (2007) studied the processing of word order and related syntactic features (e.g., case-marking) by native speakers and L2 learners of SVO languages (Mandarin Chinese, English) and SOV languages (Korean, Japanese). Those learning an L2 with a word order similar to their L1 showed advantages in brain activities in processing the L2 compared with those learning an L2 with a word order different from their L1, but the advantage seems to be specific to the task adopted (i.e., a behavioral auditory sentence comprehension task), indicating task effects on the extent of positive CLI, which we will elaborate on in the next section.
2.2. Task effects on CLI
CLI, whether negative or positive, is extensively investigated in both online processing and offline comprehension and judgment tasks, and the findings are mixed. Jiang (2004) investigated subject-verb agreement marking in English by Chinese-L1 learners of L2 English. The L2 learners were quite accurate in an offline written test, yet insensitive to the same morphosyntactic manipulation in an online comprehension task. Elsewhere, Hopp (2006) showed that lower-proficient advanced German L2 speakers (whose L1s were English and Dutch) were able to utilize case-marking information as evidenced by comprehension accuracies, but were insensitive to the same information in online processing. However, in Turkish-L1 and German-L1 learners of L2 Dutch, CLI in pronoun resolution is observed in offline interpretation tasks yet absent in online reading tasks (Roberts et al., 2008). In Hopp and Grüter (2023), L1 effects were identified among German-L1 and Japanese-L1 L2 learners of English in offline comprehension of wh-questions rather than in online processing of the same questions (for more evidence on the online vs. offline asymmetry, see Kaan et al., 2015; Andersson et al., 2019; Mickan and Lemhöfer, 2020).
In bilingual processing, abundant evidence has supported co-activation of both languages in various types of bilinguals, even when the linguistic stimuli are presented monolingually (e.g., De Groot, 2011; Hopp and Grüter, 2023). Most studies have examined cross-linguistic co-activation at the lexical level, with a special focus on L1-L2 equivalents that are cognate words (Costa et al., 2000; Dijkstra, 2005). Processing these words in the L2 activates their L1 equivalents and facilitates lexical processing in the L2 (Dekydtspotter et al., 2006; Miller, 2014). However, less is known about the activation of syntactic structures in bilingual processing, except Hopp (2017) and Vaughan-Evans et al. (2020). Hopp (2017) touched upon syntactic co-activation in German-L1 learners of English through lexical co-activation in reading. Specifically, he investigated whether English relative clauses with different word orders that overlap with German-L1-embedded clauses activates the L1 grammars in online L2 sentence comprehension. His findings suggest the L1 word order was co-activated. Vaughan-Evans et al. (2020) examined Welsh-L1 English-L2 early bilinguals’ online reading of English sentences with manipulated morphosyntactic rules (i.e., the Welsh soft mutation rule) and proposed that co-activation of the L1 syntax may occur through syntactic rules. As for the processing of complex syntactic features, such as syntax-semantic relationships investigated in the current study, much work is still needed.
2.3. Learner effects on CLI
It has been shown that bilingual co-activation may boost the processing of relevant syntactic units. However, this positive effect is not found across types of bilinguals. For instance, Canseco-Gonzalez et al. (2010) compared three groups of Spanish-English bilinguals with various onset ages of bilingualism and proficiency in Spanish: the early bilinguals (with an onset age of both languages before 6 years) and the English-L2 group (onset age after 6 years) co-activated Spanish in word recognition tasks in English, whereas the Spanish-L2 group (onset age after 6 years) did not reveal any co-activation effect. The authors argued that the more proficient the early bilinguals are, the more successful and accustomed the learners are in terms of co-activation. This leads to an interesting prediction: early bilinguals of Languages A and B may be more efficient than late bilinguals (e.g., L2 learners of Language A) in co-activating Language B in reading in Language A. Moreover, early bilinguals may even outperform monolingually raised speakers of Language A, who are late bilinguals of the same languages. Our study follows up on this line of research and investigates learner effects in three types of proficient bilinguals in Chinese and English.
Heritage language speakers (HLers) are typically early bilinguals who acquire the HL as their L1 (or one of their L1s alongside the societal majority language) through interaction with parents who are native speakers of the language in naturalistic settings (Polinsky and Scontras, 2020). Because an HL is by definition a minority language in the larger community, adult HL speakers usually (but not always) develop stronger abilities in the societal majority language through mainstream schooling and possess varying proficiency in the HL (Montrul, 2016). Some HL speakers are able to develop literacy in the HL through bilingual education programs, community schools, or language courses. L2 learners (L2ers) are typically late bilinguals who acquire their L1 at early childhood and are raised in the L1 context. Their L2 was mostly learned through formal instruction after puberty. HLers, on the one hand, can display substantial differences from L2ers in many acquisition and processing aspects across linguistic domains (Montrul, 2016); on the other hand, they are also different from monolingually raised speakers of that language (“baseline”) in judging and processing complex grammatical properties of the HL (e.g., Mai and Deng, 2017; Polinsky and Scontras, 2020). For HLers, it is likely that the experience of developing both the HL and the majority language concurrently in childhood gives rise to more accurate and accessible mapping between corresponding structures in the two languages and bring advantages over L2 and monolingual baselines in L1-L2 similar structures. In this sense, it might be possible that the CLI is modulated by learner effect, and we further explore this in the current study. In comparing English-dominant L2 and HL Spanish speakers, Regulez and Montrul (2023) found great learner variations regarding acceptability, production, and online comprehension in Spanish differential object marking, reporting the presence of task effects. This study tests L1-L2 similar structures involving complex syntax-semantics coordination, the sentence-final particle (SFP) le in Mandarin Chinese and the adverb already in English through both offline and online tasks.
3. The SFP le in Mandarin Chinese and the adverb already in English
3.1. The SFP le
Mandarin Chinese has a rich set of SFPs, among which le denotes a newly obtained state or “change of state” (Chao, 1968; Li and Thompson, 1981; Paul, 2015; Paul and Yan, 2022) and entails that the current state does not hold before speech time (Soh, 2009).1 When the change is associated with a naturally occurring or commonly perceived ordered scale (e.g., numbers in ascending order, or stages of human development), the SFP le imposes, among other conditions, a semantic constraint on the direction of change encoded, as outlined in (1):
-
The change must take place from an earlier/lower point to a later/higher point along the associated scale, rather than vice versa (Xiang, 1998; Xing, 2001).
For example, in stative [be-NP] structures as presented in (2) and (3), when the NP identifies a point which is straightforwardly interpretable as a high point on the ordered scale, entailing at least one lower point on the scale (termed as “higher NP,” e.g., where dà-háizi (‘big child’) is a point higher than xiǎo-háizi (‘little child’) on the scale of human development), [be-NP] is naturally compatible with the SFP le, as shown in (4). However, when the NP denotes a low point on the scale without the entailment of an even lower point (termed as “lower NP,” e.g., xiǎo-háizi (‘little child’)), [be-NP] is less compatible with the SFP le, as in (5). Notice that both types of NP are natural without the SFP le, as illustrated in (2) and (3).
-
(2) Higher NP in [be-NP]
Xiǎowáng shìdàháizi.
Xiaowang COPbigchild
‘Xiaowang is a big child.’
-
(3) Lower NP in [be-NP]
Xiǎowáng shìxiǎoháizi.
Xiaowang COPsmallchild
‘Xiaowang is a small child.’
-
(4) Higher NP in [be-NP-leSFP]
Xiǎowáng shì dà háizi le.
Xiaowang be big child LE
‘Xiaowang is a big child already’.
-
(5) */?Lower NP in [be-NP-leSFP]
*/?Xiǎowáng shì xiǎo háizi le.
Xiaowang be small child LE
*/?‘Xiaowang is a small child already.’
Another manifestation of (1) can be found regarding the SFP le with upward/downward-entailing duration phrases in [V-leASP-duration-leSFP] structures. Upward-entailing contexts identify, on a scale, the lowest possible value that is true for the relevant proposition and entail values higher than this point [e.g., zhìshǎo wǔnián (‘at least 5 years’), or chāoguò sāntiān (‘exceeding 3 days’)]; they are natural with the SFP le, for the direction of the entailment aligns with the direction of change as stipulated by the SFP le above, as illustrated in (8). In sharp contrast, downward-entailing contexts identify the highest point that holds for the relevant proposition [e.g., búdào wǔnián (‘less than 5 years’), or zuìduō sāntiān (‘at most 3 days’)] and are thus not compatible with the SFP le, as depicted in (9). Notice here that both upward and downward elements are possible in sentences without the SFP le, as demonstrated in (6) and (7).2
-
(6) Upward-entailing duration in [V-leASP-duration]
Wǒ zài zhèr[VP zhù lezhìshǎo wǔ nián].
1SG at herelive PERF at-least five CL
‘I lived here for at least 5 years.’
-
(7) Downward-entailing duration in [V-leASP-duration]
Wǒ zài zhèr[VP zhù lebúdàowǔ nián].
1SG at herelive PERF less-than five CL
‘I lived here for less than 5 years.’
-
(8) Upward-entailing duration in [V-leASP-duration-leSFP]
Wǒ zài zhèr[VP zhù lezhìshǎo wǔ nián] le.
1SG at herelive PERF at-least five CL LE
‘I have lived here for at least 5 years already (which was not the case before).’
-
(9) */?Downward-entailing in [V-leASP-duration-leSFP]
*/?Wǒ zài zhèr[VP zhù lebúdàowǔ nián] le.
1SG at herelive PERF less-than five CL LE
*/?‘I have lived here for less than 5 years already.’
[slightly modified examples from Soh (2009, p. 638–641)].
3.2. The adverb Already in English
Lacking SFPs, English has an adverb already, which is also subject to a “change of state” interpretation and is considered a semantic counterpart of the SFP le in Mandarin in many contexts (Traugott and Waterhouse, 1969; Soh, 2009). It has been argued that the English adverb already entails a “cognitive modeling of event sequence” including canonical courses of development (Michaelis, 1992, 1996). As shown in the translations in (4), (5), (8), and (9), the acceptability of already in English is subject to the same restrictions as the SFP le in contexts with scalar inferences: upward-entailing contexts (e.g., at least) and higher NPs (e.g., big child) are clearly more acceptable than downward-entailing contexts and lower NPs (e.g., less than, or small child).
In the absence of literature on cross-linguistic mapping between the SFP le and the English adverb already in Mandarin-English bilinguals, we searched the literature for evidence in Chinese-English bilinguals in general. Szeto et al. (2017) found that Cantonese-English bilinguals associated the English adverb already with the Cantonese SFP laa3 and aspect marker zo2, which are well-established counterparts of the SFP le and aspect marker le in Mandarin.
4. This study
4.1. Research questions and predictions
As reviewed above, L1-L2 similarity facilitates both acquisition and processing due to positive CLI and bilingual co-activation, but whether positive CLI happens in different types of bilingual speakers and in complex grammatical processing involving semantic computation is an empirical question that has been raised only recently in studies. To fill this gap, this study looked into the acquisition and processing of higher/lower NPs in [be-NP-leSFP] and upward/downward-entailing duration phrases in the [V-leASP-duration-leSFP]. The following two research questions guided this study:
-
Given cross-linguistic similarities between the SFP le in Mandarin and the adverb already in English, will English-L1 learners of L2 Mandarin (L2ers) succeed in differentiating, in the SFP le sentences, the acceptability between higher and lower NPs such as in (4) and (5) and between upward- and downward-entailing duration phrases such as in (8) and (9) in both offline judgment and online reading?
-
Will adult HLers, who have acquired both Chinese and English at a young age, outperform proficiency-matched L2ers and pattern with monolingually raised Chinese L1 speakers in China (baseline controls), due to the early onset of Chinese-English bilingualism?
For English-L1 L2ers, consistent differentiation between the more acceptable and the less acceptable sentences hinges upon the mental representation of the semantic condition regulating the use of the SFP le in (1), which may be formed based on absorbing patterns in the input and profiting from positive transfer from already, if the mapping between the SFP le and already is established. We predict that L2ers will be able to make the differentiation, but they may be more successful in recognizing violations caused by lower NPs in [be-NP-leSFP] than downward-entailing duration phrases in [V-leASP-duration-leSFP], because the NPs in the former structure are less embedded, linearly closer to the SFP le, and semantically more concrete than the duration phrases in the latter. For HLers, we predict that they will outperform their L2 peers due to the early onset of bilingualism and likely early mapping between the SFP le in Mandarin and the adverb already in English and subsequently stronger facilitative effects. To test these predictions, we conducted an experiment consisting of an offline acceptability judgment task and an online self-paced reading task.
4.2. Participants
The data of this study are from a larger project investigating the acquisition and processing of several grammatical structures by adult L2 and HL learners of Mandarin. The participants were recruited from Beijing, Shanghai, and Hangzhou in China, and Cambridge in the United Kingdom. A language background questionnaire was administered to collect information about each participant’s language experience. The original sample consists of data from 150 participants. Given the research goals of this study and the complexity of the grammatical construction under investigation, we selected from the original sample participants who self-reported having intermediate or above-intermediate proficiency in written Chinese. Other criteria included: to qualify as L2ers, the participant must have reported English as their native language, and started to learn Chinese after puberty (average onset age 18 years, see Table 1); and to qualify as HLers, the participants must have reported early and substantial exposure to both Chinese and English in an English-speaking country and self-rated English as their dominant language at time of data collection. Ultimately, 18 L2ers (6 females) and 19 HLers (13 females) satisfied the above criteria and were included in this study.
Table 1
| Groups | N | Age | Onset age | Months studying Chinese | Months in China | Cloze test |
|---|---|---|---|---|---|---|
| L2 | 18 | 23 (2.2) | 18 (4.6) | 60 (37.8) | 38.1 (47.4) | 31.3 (1.8) |
| HL | 19 | 22 (2.9) | 0 | 187 (102.3) | 23.2 (28.9) | 33.2 (2.4) |
| Baseline | 18 | 23 (4.5) | 0 | N/A | N/A | 38.8 (1.1) |
Participant information (SD in brackets).
The HLers had been exposed to Mandarin Chinese (n = 15) or Cantonese and Min Chinese3 (n = 4) through everyday interactions with family members from birth, with at least one parent being a native speaker of Chinese. They were either born and raised in an English-dominant country (UK, US, etc., n = 14) or had immigrated with their family to an English-dominant country before the age of 5 (see Supplementary material for each HLer’s language exposure). The baseline controls (n = 18) were undergraduate or graduate students at universities in Beijing (12 females), majoring in liberal arts (n = 10) or science (n = 8). They were all born and raised in northern China; none had visited an English-speaking country by the time of data collection.
An established cloze test (Zhao, 2006; Yuan, 2010; Mai and Yuan, 2016; etc.) was adopted to gauge the learners’ reading proficiency in Chinese. The test included two short passages with 40 blanks and participants were required to fill in each blank with a Chinese character. No Pinyin (romanized form of Chinese) was provided. ANOVA and post hoc Tukey tests indicated that both the L2ers and HLers were significantly different from the baseline controls [F(2, 52) = 78.24, all p < 0.000], but they were not significantly different from each other (p = 0.921), suggesting comparable proficiency between the L2ers and the HLers. Information on the participants (n = 55) is summarized in Table 1.
4.3. Tasks
4.3.1. Acceptability judgment (AJ) task
In the AJ task, the participants judged the acceptability of four types of sentences on a four-point Likert scale (ranging from ‘completely unacceptable,’ to ‘probably unacceptable,’ to ‘probably acceptable,’ and to ‘completely acceptable’):
Higher and lower NPs in sentences with and without the SFP le:
Type 1 (n = 4): [be-NPHIGHER-leSFP], as in (4),
Type 2 (n = 4): */?[be-NPLOWER-leSFP], as in (5),
Type 3 (n = 4): [be-NPHIGHER], as in (2), and
Type 4 (n = 4): [be-NPLOWER], as in (3).
Upward/downward-entailing duration phrases with and without the SFP le:
Type 5 (n = 4): [V-leASP-DurationUP-leSFP], as in (8),
Type 6 (n = 4): */?[V-leASP-DurationDOWN-leSFP], as in (9),
Type 7 (n = 4): [V-leASP-DurationUP], as (6), and
Type 8 (n = 4): [V-leASP-DurationDOWN], as in (7).
Four tokens were constructed for each type, rendering a total of 32 tokens. These critical items were mixed with 128 other items testing other grammatical structures such as wh-questions in the larger study. The sentences were randomized and presented one-by-one on a computer screen. The participants pressed one of five designated keys on the keyboard to indicate their rating on the scale (the four-point scale plus a separate “I do not know” option), and the program was designed such that once the testing has started, the participant could see only one sentence on the screen and they could not return to a pervious item or change their answers. Six additional training items were provided before the critical items.
4.3.2. Self-paced reading (SPR) task
In this “read and judge” task, the participants read a critical sentence with the SFP le and provided a binary truth-value judgment (“correct” or “incorrect”) on a follow-up comprehension sentence based on their understanding of the previous SFP le-sentence. Unlike previous studies in which participants were required to read the sentences as quickly as possible, in this task we asked them to read the sentences at a natural and comfortable pace. This is because participants in pilot studies reported considerable anxiety and fatigue when they had to read the sentences as quickly as possible. The test items were presented segment by segment on a computer monitor. Thereafter, participants had to press a key to see the next segment of the SFP le-sentence. Upon reaching the end of the SFP le-sentence, the comprehension sentence was presented in full for the participants’ judgment.
Four conditions, as shown in (10), (11), (12), and (13), were created to test the two structures, with six or eight trails in each condition. The SFP le-sentences in the SPR task were longer than those in the AJ task, with an additional clause following the SFP le-clause to allow for spill-over effects and potentially delayed processing of the critical element (the SFP le). The sentences were segmented into seven windows for [be-NP-leSFP] and nine for [V-leASP-duration-leSFP] so that only one word (mostly disyllabic, bimorphemic with only a few systematic exceptional cases) was presented to the reader in a window. Note that in [be-NP-leSFP] conditions, the monosyllabic SFP le [the critical window, W4 in (10) and (11)] was presented separately from the other words; in [V-leASP-duration-leSFP] conditions, the upward/downward quantifiers were presented in a single time window without the temporal nouns, which were presented together with the SFP le in the subsequent window [the critical window, W5 in (12) and (13)]. Half of the comprehension sentences were directly related to the SFP le-clause and the other half to the additional clause. In addition, half of them were expected to elicit “correct” responses and the other half “incorrect” ones.
-
(10) [be-NPHIGHER-leSFP] (n = 6)
| pre-critical | critical | 1st post-critical | 2nd post-critical | |||
| W1 | W2 | W3 | W4 | W5 | W6 | W7 |
| Xiǎomíng | /shì | /dànánhái | /le | /,yīnggāi | /hǎohǎo | /xuéxí. |
| Xiaoming | COP | big boy | LE | should | well | study |
| ‘Xiaoming is a big boy already; he should study hard.’ | ||||||
| Comprehension sentence: Xiǎomíng bùyīnggāi hǎohǎo xuéxí (‘Xiaoming should not study hard’) Expected response: Incorrect |
||||||
-
(11) */?[be-NPLOWER-leSFP] (n = 6)
| pre-critical | critical | 1st post-critical | 2nd post-critical | |||
| W1 | W2 | W3 | W4 | W5 | W6 | W7 |
| Xiǎomíng | /shì | /xiǎonánhái | /le | /,yīnggāi | /hǎohǎo | /xuéxí. |
| Xiaoming | COP | small boy | LE | should | well | study |
| Intended: ‘Xiaoming is a small boy, and he should study hard.’ | ||||||
| Comprehension sentence: Xiǎomíng búshì xiǎonánhái (‘Xiaoming is not a small boy’) Expected response: Incorrect |
||||||
The 28 SPR items were randomized and mixed with 44 items testing other structures such as aspect markers, negation markers in the larger study using the Latin square design (Dean and Voss, 1999). Two lists (Lists A and B) were generated manually to ensure that the SPF le-sentences that were minimally different were not included in the same list. Half of the participants completed List A and the other half List B. In both cases, the test items were divided into two blocks evenly, with an obligatory break between them to reduce the impact of fatigue. Six training items were provided to ensure that the participants understood the instructions.
4.4. Procedures
The participants completed both tasks individually in a quiet classroom in one meeting with the first author. Test materials were presented using E-Prime 2.0. Meanwhile, test instructions were given to L2ers and HLers in English, and to Chinese baseline controls in Chinese. An “I do not know” option was available across items throughout the test. The SPR task was administered before the AJ task so that the latter, which activates explicit and metalinguistic knowledge to a larger extent than SPR, did not impact on the SPR results.
5. Results
5.1. Data coding, trimming, and statistical tools
Judgments in the AJ task were transformed into numerical scores of 1, 2, 3, and 4 for “completely unacceptable,” “probably unacceptable,” “probably acceptable,” and “completely acceptable” respectively. Reading times and responses to comprehension sentences in the SPR task were trimmed and transformed following several steps: (i) responses in the comprehension sentences were checked to screen out participants who did not reach 75% accuracy (following Jiang, 2004; Keating and Jegerski, 2015) – no participant was eliminated in this procedure; (ii) reading times were screened to identify outlying values falling outside an absolute cutoff (shorter than 100 ms or longer than 2000 ms for baseline controls, shorter than 200 ms or higher than 4,000 ms for learners) or a variable cutoff (i.e., three standard deviations above mean reading times of the relevant group), which were then replaced with the absolute cutoff value of the relevant group in statistical analysis (following Keating and Jegerski, 2015); and (iii) to reduce confounding inter-participant differences due to general reading strategies, raw reading times (after adjusting for outlying values as described above) were transformed into residual reading times, which reflect differences between the actual raw reading times and the predicted reading times based on the regression equation, with word length as the predictor and raw reading times as the response variable (following Keating and Jegerski, 2015; also known as “deviations from regressions”). After the transformation, positive values indicate longer reading times than predicted by the regression, whereas negative ones mean they are shorter than predicted.
Linear mixed-effects models (LMMs) were performed for both tasks in R (version 4.1.1, R Core Team, 2014; lme4, Bates et al., 2013). The ratings in the AJ task and reaction times in the SPR task were dependent variables in the respective models. Fixed factors included condition (acceptable vs. less acceptable), group (baseline, L2, and HL), and interactions between condition and group. Random factors included intercepts for subjects and items, as well as by-subject and by-item random slopes. Factors were removed if they did not significantly improve the model according to the maximum likelihood ratio tests. Due to convergence issues, the random slopes for items were removed. Values t > |2| were considered statistically significant (following Gelman and Hill, 2007). The results are reported in the following sub-sections.
-
(12) [V-leASP-DurationUP-leSFP] (n = 8)
| pre-critical | critical | 1st post-critical | 2nd post-critical | |||||
| W1 | W2 | W3 | W4 | W5 | W6 | W7 | W8 | W9 |
| Xiǎowáng | /zài zhèr | /zhù le | /zhìshǎo | /wǔnián le | /, tā | /fēicháng | /xǐhuān | / zhèr. |
| Xiaowang | PREP here | live PERF | at least | 5 years LE | 3SG | very | like | here |
| ‘Xiaowang has lived here for at least 5 years, he likes it here very much.’ | ||||||||
| Comprehension sentence: Xiǎowáng xǐhuān zhèr (‘Xiaowang likes it here’) Expected response: Correct |
||||||||
-
(13) */?[V-leASP-DurationDOWN-leSFP] (n = 8)
| pre-critical | critical | 1st post-critical | 2nd post-critical | |||||
| W1 | W2 | W3 | W4 | W5 | W6 | W7 | W8 | W9 |
| *Xiǎowáng | /zài zhèr | /zhù le | /búdào | /wǔnián le | /, tā | /fēicháng | /xǐhuān | / zhèr. |
| Xiaowang | PREP here | live PERF | less than | 5 years LE | 3SG | very | like | here |
| ‘Xiaowang has lived here for less than 5 years, he likes it here very much.’ | ||||||||
| Comprehension sentence: Xiǎowáng méi zài zhèr zhù (‘Xiaowang does not live here’) Expected response: Incorrect |
||||||||
5.2. AJ task
5.2.1. Higher/lower NP conditions
As shown in Figure 1; Table 2, all groups rated the [be-NPHIGHER] and [be-NPLOWER] sentences at ceiling (means above 3.5), indicating the [be-NP] structure is well represented in their Chinese grammars. All groups also rated the [be-NPHIGHER-leSFP] sentences higher than minimally different */?[be-NPLOWER-leSFP] sentences (p < 0.001 for baseline, post hoc power = 100%; and p < 0.05 for both HL and L2 groups, post hoc power for HL = 95.91%, for L2 = 100%).
Figure 1

Mean ratings of the higher/lower NP conditions in the acceptability judgment (AJ) task.
Table 2
| Fixed effects | |||
|---|---|---|---|
| Predictors | Estimates | SE | t |
| L2 learners | |||
| (Intercept) | 2.76 | 0.12 | 22.91*** |
| Condition [be-higher NP-leSFP] | 0.53 | 0.13 | 4.22*** |
| Group Baseline | −0.53 | 0.16 | −3.31** |
| Group HL | 0.83 | 0.16 | 5.27*** |
| Condition [be-higher NP-leSFP]: Baseline | 1.18 | 0.15 | 7.66*** |
| Condition [be-higher NP-leSFP]: HL | −0.20 | 0.15 | −1.31 |
| HL learners | |||
| (Intercept) | 3.59 | 0.12 | 30.48*** |
| Condition [be-higher NP-leSFP] | 0.33 | 0.12 | 2.69* |
| Group Baseline | −1.36 | 0.16 | −8.63*** |
| Group L2 | −0.82 | 0.16 | −5.27*** |
| Condition [be-higher NP-leSFP]: Baseline | 1.38 | 0.15 | 9.07*** |
| Condition [be-higher NP-leSFP]: L2 | 0.20 | 0.15 | 1.31 |
| Baseline | |||
| (Intercept) | 2.24 | 0.12 | 18.53*** |
| Condition [be-higher NP-leSFP] | 1.71 | 0.13 | 13.66*** |
| Group HL | 1.36 | 0.16 | 8.63*** |
| Group L2 | 0.53 | 0.16 | 3.31** |
| Condition [be-higher NP-leSFP]: HL | −1.38 | 0.15 | −9.07*** |
| Condition [be-higher NP-leSFP]: L2 | −1.18 | 0.15 | −7.66*** |
Mixed-effects models on [be-NPHIGHER-leSFP] and */?[be-NPLOWER-leSFP] in the acceptability judgment (AJ) task.
Reference level for condition = */?[be-lower NP-leSFP], Model formula for baseline group: ratings ~ condition + group + condition:group + (1 | subject) + (1 | item), Model formula for HL group: ratings ~ condition + group + condition:group + (1 | subject) + (1 | item), Model formula for L2 group: ratings ~ condition + group + condition:group + (1 | subject) + (1 | item); ***p < 0.001, **p < 0.01, *p < 0.05.
5.2.2. Upward/downward-entailing duration conditions
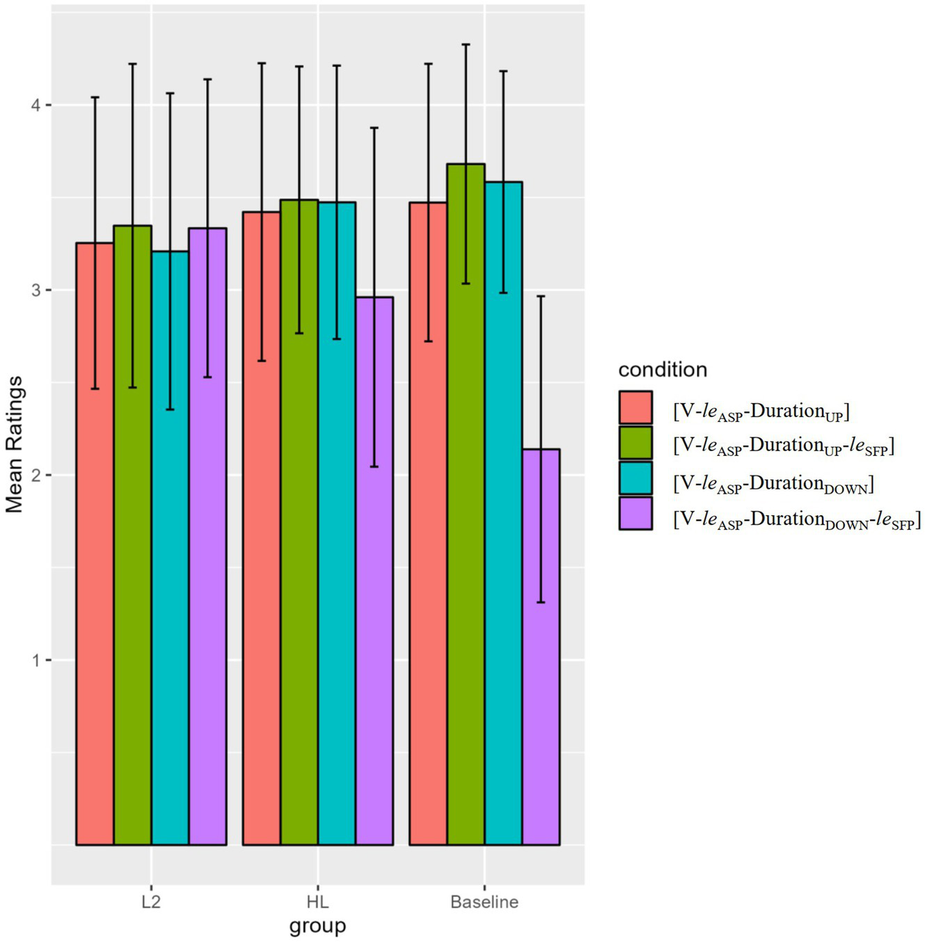
As shown in Figure 2; Table 3, the baseline and HL groups were able to rate [V-leASP-DurationUP-leSFP] sentences higher than */?[V-leASP-DurationDOWN-leSFP] sentences (p < 0.001 for baseline, post hoc power = 100%; p < 0.01 for HLers, post hoc power = 96.14%). However, the L2 group showed no such sensitivity. In addition, all groups rated the [V-leASP-DurationUP] and [V-leASP-DurationDOWN] sentences high (means above 3), suggesting their acceptance of the basic upward/downward-entailing duration structures.
Figure 2

Mean ratings of the upward/downward-entailing duration phrase conditions in the acceptability judgment (AJ) task.
Table 3
| Fixed effects | |||
|---|---|---|---|
| Predictors | Estimates | SE | t |
| HL learners | |||
| (Intercept) | 2.96 | 0.16 | 18.03*** |
| Condition [V-leASP-DurationUP-leSFP] | 0.53 | 0.20 | 2.57* |
| Group Baseline | −0.82 | 0.20 | −4.18*** |
| Group L2 | 0.37 | 0.20 | 1.90# |
| Condition [V-leASP-DurationUP-leSFP]: Baseline | 1.02 | 0.23 | 4.23*** |
| Condition [V-leASP-DurationUP-leSFP]: L2 | −0.51 | 0.23 | −2.23* |
| Baseline | |||
| (Intercept) | 2.14 | 0.17 | 12.78*** |
| Condition [V-leASP-DurationUP-leSFP] | 1.54 | 0.21 | 7.40*** |
| Group HL | 0.82 | 0.20 | 4.18*** |
| Group L2 | 1.19 | 0.20 | 6.00*** |
| Condition [V-leASP-DurationUP-leSFP]: HL | −1.02 | 0.23 | −4.42*** |
| Condition [V-leASP-DurationUP-leSFP]: L2 | −1.53 | 0.23 | −6.57*** |
Mixed-effects models on [V-leASP-DurationUP-leSFP] and */?[V-leASP-DurationDOWN-leSFP] in the acceptability judgment (AJ) task.
Reference level for condition = */?[V-leASP-DurationDOWN-leSFP], Model formula for baseline group: ratings ~ condition + group + condition:group + (1 + condition | subject) + (1 | item), Model formula for HL group: ratings ~ condition + group + condition:group + (1 + condition | subject) + (1 | item); ***p < 0.001, *p < 0.05, #p < 0.1.
To sum up, the AJ task results indicate that like the baseline controls, both HL and L2 learner groups were sensitive to the incompatibility between lower NPs and the SFP le. However, only the HLers were able to show sensitivity to the incompatibility between downward-entailing duration phrases and the SFP le, patterning with the baseline controls.
5.3. SPR task
5.3.1. Higher/lower NP conditions
Figure 3 presents the reading times at each time window in each condition by each group in three panels. LMM analyses reveal that the three groups of participants showed a similar reading time pattern: no significant differences were found between the two conditions across groups from the pre-critical window (W3) to the first post-critical window (W5); and between-condition differences first showed up in the second post-critical window (W6, baseline controls: p < 0.05, post hoc power = 68.52%; HLers: p < 0.1, post hoc power = 52.63%; L2: p < 0.1, post hoc power = 42.59%). Table 4 presents the LMM results of the second post-critical window.
Figure 3

L2, HL, and baseline groups’ residual reading times at each window between [be-NPHIGHER-leSFP] and */?[be-NPLOWER-leSFP].
Table 4
| Fixed effects | |||
|---|---|---|---|
| Predictors | Estimates | SE | t |
| L2 learners | |||
| (Intercept) | −105.21 | 73.94 | −1.42 |
| Condition [be-NPHIGHER-leSFP] | −82.69 | 46.16 | −1.79# |
| HL learners | |||
| (Intercept) | −82.14 | 29.75 | −2.76** |
| Condition [be-NPHIGHER-leSFP] | −80.68 | 42.07 | −1.92# |
| Baseline | |||
| (Intercept) | −53.81 | 19.48 | −2.76* |
| Condition [be-NPHIGHER-leSFP] | −46.50 | 18.65 | −2.49* |
Mixed-effects models (dependent variable: residual reading time at the 2nd post-critical window [W6]).
Reference level for condition = */?[be-NPLOWER-leSFP], Model formula for baseline group: RT ~ condition + (1 | subject), Model formula for HL group: RT ~ condition, Model formula for L2 group: RT ~ condition + (1 | subject) + (1 | item); **p < 0.01, *p < 0.05, #p < 0.1.
5.3.2. Upward/downward-entailing duration conditions
Figure 4 presents the residual reading times at each time window in each condition by each group in three panels. Unlike the NP conditions, the three groups displayed three different patterns. As expected, baseline controls showed statistical (though borderline) differences between the upward and downward conditions in the first post-critical window (W6, p < 0.1, post hoc power = 59.72%). What is surprising is that the HLers showed statistical differences (though also borderline) earlier than the baseline controls in the critical window (W5, p < 0.1, post hoc power = 42.11%), suggesting heightened sensitivity to violations caused by the downward-entailing contexts. The L2ers showed a third pattern and did not reveal any statistical differences in reading times in any window. Table 5 presents the LMM results.
Figure 4

L2, HL, and baseline groups’ residual reading times at each window between [V-leASP-DurationUP-leSFP] and */?[V-leASP-DurationDOWN-leSFP].
Table 5
| Fixed effects | |||
|---|---|---|---|
| Predictors | Estimates | SE | t |
| HL learners | |||
| (Intercept) | 68.76 | 48.01 | 1.43 |
| Condition [V-leASP-DurationUP-leSFP] | −102.97 | 61.97 | −1.66# |
| Baseline | |||
| (Intercept) | 110.67 | 36.98 | 2.99** |
| Condition [V-leASP-DurationUP-leSFP] | −100.92 | 52.29 | −1.93# |
Mixed-effects models (dependent variable: residual reading time at the first post-critical window (W6) for baseline, and at critical window (W5) for HLers).
Reference level for condition = */?[V-leASP-DurationDOWN-leSFP], Model formula for baseline group: RT ~ condition, Model formula for HL group: RT ~ condition + (1 | subject); **p < 0.01, #p < 0.1.
To sum up, in reading the [be-NPHIGHER-leSFP] structures, both HL and L2 groups demonstrated sensitivity to violations of the semantic constraint in (1) caused by lower NPs in online sentence reading. Their sensitivity was evidenced in the same time window (second post-critical) as that of the baseline controls. By contrast, in reading the [V-leASP-duration-leSFP] structures, both the HLers and the baseline controls, but not the L2ers, were sensitive to violations of the semantic constraint in (1) caused by downward-entailing duration phrases. Crucially, the HLers’ sensitivity emerged very early in the critical time window during which the target SPF le was presented, earlier than that of the baseline controls at the first post-critical window after the target particle was presented.
6. Discussion
6.1. Summary of findings
Our research questions investigated the acquisition and processing of Mandarin SFP le-sentences through comparisons along the following three dimensions: (i) structure effect – whether learners of Mandarin are equally sensitive to violations of the semantics of the SFP le caused by lower-NPs in [be-NP-leSFP] as presented in (5) and downward-entailing elements in [V-leASP-duration-leSFP] as demonstrated in (9); (ii) task effect - whether learners of Mandarin are equally successful in offline and online reading tasks; and (iii) learner effect – whether L2ers and HLers with matched proficiency in written Chinese are equally successful in recognizing such violations.
Our findings revealed structure, task, and the learner and their interactions all had an effect, albeit to different extents, as summarized in Table 6. In terms of structure, the L2ers were able to provide higher ratings for [be-NP-leSFP] with higher NPs than those with lower NPs in the AJ task and displayed marginally longer processing times in reading [be-NP-leSFP] with lower NPs than those with higher NPs; but they did not show signs of sensitivity to violations caused by the downward-entailing duration in [V-leASP-Duration-leSFP]. The advantage of [be-NP-leSFP] over [V-leASP-Duration-leSFP] in eliciting sensitivity to violations is less clear in the other two groups, who recognized violations of both structures in both tasks. With respect to task effects, the offline AJ task elicited either stronger or equal (but never weaker) responses to violations compared with the online SPR task. This pattern holds across groups and structures. Finally, for different types of learners, the HLers outperformed the proficiency-matched L2ers in that the former recognized violations in both structures and in both online and offline tasks, whereas the latter only showed target-like sensitivity to the higher/lower NPs. Most strikingly, the HLers even outperformed the baseline controls, recognizing the violation earlier during the critical time window containing the critical SFP le, rather than in the post-critical window.
Table 6
| [be-NP-leSFP] | [V-leASP-DurationUP-leSFP] | |||
|---|---|---|---|---|
| Offline AJ | Online SPR | Offline AJ | Online SPR | |
| L2 | √√ | √ | X | X |
| HL | √√ | √ | √√ | √% |
| Baseline | √√ | √√ | √√ | √ |
Summary of findings: sensitivity to violations of the semantics of the SFP le.
√√ and √ = significant results at and under 0.05 and 0.10 levels respectively; X = non-significant results; % = earlier sensitivity than baseline.
6.2. Conditions on positive cross-linguistic influence (CLI)
Given the similarities between the SFP le and already, it is expected that the English-dominant learners of Chinese (HLers and L2ers) would benefit from this cross-linguistic similarity and should not experience difficulty in acquiring the semantic constraint attached to the SFP le. Our findings revealed that this positive CLI is not always present, which is consistent with previous findings in the existing literature on the absence of positive CLI in acquiring L1-L2 similar structures (Bates and MacWhinney, 1989; Papadopoulou and Clahsen, 2003; Tokowicz and MacWhinney, 2005; Jing, 2008; Sabourin and Stowe, 2008). Our findings add new evidence to the conditional nature of CLI. The structure being tested obviously played a role, as shown by our L2 learners, who demonstrated little sensitivity to the violations caused by downward-entailing duration phrases, yet performed target-like with the lower NP conditions in both online and offline tasks. Note that violations caused by the two types of structures tested in this study are subject to the same semantic constraint in (1). The L2 learners’ differential performance patterns clearly indicate that different structures under the same semantic condition in theoretical analyses could cause different problems for learners. Specifically, violations caused by the less embedded (linearly close to the target element) and semantically more transparent structures are more easily detected. This echoes the findings of Regulez and Montrul (2023) that L2 and HL acquisition are more sensitive to structural differences in the test stimuli.
So what prevents CLI from happening in this case? Despite similarities in terms of semantic meanings and conditions, the SFP le in Chinese and the adverb already in English lack apparent morphosyntactic similarity and correspondence. This adds to the difficulty for adult L2 learners to establish the necessary cross-linguistic mapping that would allow CLI to happen. In this light, positive CLI should not be taken for granted even when the L1 and L2 are similar. Furthermore, apparent morphosyntactic distance can prevent the desirable positive CLI from taking place. Pertinently, establishing the required mapping is not difficult for all Chinese-English bilinguals, which we return to in the next section.
6.3. Processing advantages of heritage bilinguals
The three groups of Chinese speakers in our study were all bilingual speakers of Chinese and English. On the one hand, the HLers and the baseline controls were both native and L1 speakers of Chinese; they differed in the onset age and context in which they acquired English and almost certainly in their proficiency in English, which was not tested in our study, representing a limitation. On the other, the HLers and the L2ers were both dominant in English; they also differed in the onset age and context in which they acquired Chinese. Although our cloze test, as a rapid and effective test for general proficiency in written Chinese, did not capture any difference between them, the HLers and L2ers did display considerable differences in the more challenging structure in our study (i.e., downward-entailing contexts).
We attribute the fast and accurate performance of the HLers to the advantage of co-activation of the SFP le and the adverb already in their bilingual representation. Conceivably, co-activation of Language A when processing Language B in bilinguals will either boost or compete with Language B. Since the L1-L2 structures in this study are subject to the same constraints, co-activating the English structure when processing the Chinese structure was more likely to boost and enhance, rather than damage or delay the processing. In our study, the HLers were early bilinguals who had been exposed to input in Chinese provided by native speakers of Chinese (from at least one of their parents) since birth as well as input in English provided by presumably native speakers of English in English-dominant contexts (UK, US, etc.). Among the three groups, the HLers stand out as the group that had the earliest and longest exposure to both languages and were probably the most balanced between the two languages. Crucially, English was added to the HLer’s linguistic repertoire at a time when their Chinese was still rapidly developing and highly dynamic and fluid. It is possible that cross-linguistic mapping between the SFP le and the adverb already was established during this early stage and remained stable and accessible in the early bilinguals.
The L2ers were late bilinguals with an onset age for Chinese of 18 years on average. They did not seem to reliably and consistently co-activate the similar L1 structure while reading the L2. This is consistent with the findings of Canseco-Gonzalez et al. (2010) in terms of the effects of type of bilingualism in bilingual co-activation. This further explains why the L2 learners had problems in the more complex downward-entailing contexts even in offline tasks. The baseline controls were monolingually raised in Chinese and late bilinguals of Chinese and English. Given that already is a high-frequency adverb in English (regardless of variety of English), they must have been exposed to this usage in the English input they had received in China. Nevertheless, they did not seem to benefit from the knowledge of the adverb already. Our findings provide further evidence of the learner factor in modulating positive CLI, contributing to the ongoing discussion on bilingualism co-activation. As a reviewer suggested, the individual learner’s processing strategies may also impact on their performance. We await further research to follow up on this issue.
7. Conclusion
This study has investigated potential positive CLI in judging and processing two grammatical structures with the SFP le by L2 and heritage Chinese bilinguals. Results of an offline judgment task and an online reading task show that positive CLI, though widely documented in the literature and desirable in this case, is not prevailing and is instead conditioned by the structure being tested (noun vs. verb phrase), the type of task administered (online vs. offline), and the type of the bilingual learner (early vs. late). Once in place, positive CLI and co-activation of L1 and L2 structures boost online processing proficiency, as evidenced in the superior performance of the heritage bilinguals in our study. Significantly, this study contributes to the discussion on CLI, particularly on the constraints affecting positive CLI, as well as early bilingual processing advantages.
Funding
This work was supported by the National Social Sciences Project “Application of Chinese Proficiency Grading Standards and Strategies of Textbook Research and Development (21STA032)”.
Publisher’s note
All claims expressed in this article are solely those of the authors and do not necessarily represent those of their affiliated organizations, or those of the publisher, the editors and the reviewers. Any product that may be evaluated in this article, or claim that may be made by its manufacturer, is not guaranteed or endorsed by the publisher.
Statements
Data availability statement
The raw data supporting the conclusions of this article will be made available by the authors, without undue reservation.
Ethics statement
The studies involving human participants were reviewed and approved by the Ethics Committee, Academic Committe, School of Chinese as a Second Language, Peking University. Written informed consent for participation was not required for this study in accordance with the national legislation and the institutional requirements.
Author contributions
SY designed the study and collected the experimental data. SY and ZM analysed the data and wrote up the manuscript. YZ provided funding, advised on the design and analysis, and revised the manuscript with SY and ZM. All authors approved the submitted version.
Acknowledgments
We are grateful to our mentors Boping Yuan and Waltraud Paul, the editor and reviewers for their kind comments and suggestions on this study, and Jiangling Zhou and Jingying Hu for their sharing and guidance on statistical R application. We also want to thank all participants who were generous with their time to make this study possible.
Conflict of interest
The authors declare that the research was conducted in the absence of any commercial or financial relationships that could be construed as a potential conflict of interest.
Supplementary material
The Supplementary material for this article can be found online at: https://www.frontiersin.org/articles/10.3389/fpsyg.2023.1145493/full#supplementary-material
Footnotes
1.^ Mandarin has a perfective aspect marker le, which is homomorphous to the SFP le (Huang et al., 2009; Yan, 2023; among others). Aspect le follows a verb and appears before the object of the verb, if any (e.g., Wŏ chī le píngguŏ ‘I have eaten an apple’), whereas the SFP le occurs after the object at the clause-final position. Aspect le and the SFP le can co-occur and appear in [V-leASP-O-leSFP]. In cases where the object is grammatically omitted, the distinction is less straightforward. Therefore, in our experimental stimuli to be introduced below, the SFP le always follows an overt object of the verb [e.g., Wŏ chī píngguŏ le ‘I have eaten apples, (which is not the case before)’].
2.^ As suggested by a reviewer, we consulted the Center for Chinese Linguistics corpus at Peking University to evaluate the semantic restrictions in (1) in native naturalistic speech samples. We used the upward/downward-entailing elements (zhìshăo, búdào) and higher/lower NPs (dà-NP, xiăo-NP) as target words and identified 99 tokens zhìshăo + SFP le (out of 2,487 tokens including the target words) and 114 tokens of dà ~ + SFP le (out of 1,135 tokens including the target words). By contrast, no downward-entailing *búdào + SFP le was found. We also found 49 cases of lower NPs xiăo ~ + SFP le. Nevertheless, the lower NPs were all within the scope of negators (e.g., búshì xiăo háizi, ‘NEG-be a small child’), which identifies a higher point on the scale and is thus consistent with the generalization in (1).
3.^ Our own informants, who were monolingual speakers of Min from Zhangzhou, Xiamen, and Taiwan, identified liau in Min Chinese as the equivalent of the Mandarin SFP le.
References
1
Andersson A. Sayehli S. Gullberg M. (2019). Language background affects online word order processing in a second language but not offline. Biling. Lang. Congn.22, 802–825. doi: 10.1017/S1366728918000573
2
Bates D. Mächler M. Bolker B. M. Walker M. C. (2013). lme4: linear mixed-effects models using Eigen and S4. R package. Available at: https://cran.r-project.org/web/packages/lme4/index.html
3
Bates E. MacWhinney B. (1989). “Functionalism and the competition model” in The crosslinguistic study of sentence processing. eds. MacWhinneyB.BatesE. (New York, US: Cambridge University Press), 3–73.
4
Bauke L. S. (2020). “The role of verb-second word order for L1 German, Dutch and Norwegian L2 English learners: a grammar competition analysis,” in German and Dutch in contrast: Synchronic, diachronic and psycholinguistic perspectives (11th edition). eds. VogelaerG.DeKosterD.LeuschnerT. (Berlin, Germany: De Gruyter), 241–270.
5
Canseco-Gonzalez E. Brehm L. Brick C. A. Brown-Schmidt S. Fischer K. Wagner K. (2010). Carpet or carcel: the effect of age of acquisition and language mode on bilingual lexical access. Lang. Cogn. Processes.25, 669–705. doi: 10.1080/01690960903474912
6
Chao Y. R. (1968). A grammar of spoken Chinese. Berkeley, CA: University of California Press.
7
Costa A. Caramazza A. Sebastian-Galles N. (2000). The cognate facilitation effect: implications for models of lexical access. J. Exp. Psychol. Learn. Mem. Cogn.26, 1283–1296. doi: 10.1037/0278-7393.26.5.1283
8
De Groot A. M. B. (2011). Language and cognition in bilinguals and multilinguals: an introduction. New York: Psychology Press.
9
Dean A. Voss D. (1999). Design and analysis of experiments (pp. 649–657). New York: Springer-Verlag.
10
Dekydtspotter L. Schwartz B. D. Sprouse R. A. (2006). “The comparative fallacy in L2 processing research,” in Proceedings of the 8th Generative Approaches to Second Language Acquisition Conference (GASLA 2006): The Banff Conference). Eds. O’BrienM. GranthamSheaC.ArchibaldJ. (Somerville, MA: Cascadilla Press), 33–40.
11
Dijkstra T. (2005). “Bilingual visual word recognition and lexical access,” in Handbook of bilingualism: Psycholinguistic approaches. Eds. KrollJ. F.GrootA. M. B.De (Oxford: Oxford University Press), 179–201.
12
Felser C. Roberts L. (2007). Processing wh-dependencies in a second language: a cross-modal priming study. Second. Lang. Res.23, 9–36. doi: 10.1177/0267658307071600
13
Frenck-Mestre C. Pynte J. (1997). Syntactic ambiguity resolution while reading in second and native languages. Q. J. Exp. Psychol. A Hum. Exp. Psychol.50, 119–148. doi: 10.1080/027249897392251
14
Gelman A. Hill J. (2007). Data analysis using regression and multilevel/hierarchical models (analytical methods for social research). Cambridge: Cambridge University Press.
15
Hasegawa M. Carpenter P. A. Just M. A. (2002). An fMRI study of bilingual sentence comprehension and workload. Neuroimage15, 647–660. doi: 10.1006/nimg.2001.1001
16
Hoover M. L. Dwivedi V. D. (1998). Syntactic processing in skilled bilinguals. Lang. Learn.48, 1–29. doi: 10.1111/1467-9922.00031
17
Hopp H. (2006). Syntactic features and reanalysis in near-native processing. Second. Lang. Res.22, 369–397. doi: 10.1191/0267658306sr272oa
18
Hopp H. (2017). Cross-linguistic lexical and syntactic co-activation in L2 sentence processing. Linguist. Approach. Bilingualism7, 96–130. doi: 10.1075/lab.14027.hop
19
Hopp H. Grüter T. (2023). The time-course of competition from the L1 grammar in L2 sentence processing: evidence from cross-linguistic structural priming. Second. Lang. Res.39, 133–159. doi: 10.1177/02676583211009586
20
Huang C. Li Y. Li Y. (2009). The syntax of Chinese (Cambridge syntax guides). Cambridge: Cambridge University Press.
21
Inagaki S. (2001). Motion verbs with goal PPs in the L2 acquisition of English and Japanese. Stud. Second. Lang. Acquis.23, 153–170. doi: 10.1017/S0272263101002029
22
Jackson C. N. Dussias P. E. (2009). Cross-linguistic differences and their impact on L2 sentence processing. Biling. Lang. Congn.12, 65–82. doi: 10.1017/S1366728908003908
23
Jeong H. Sugiura M. Sassa Y. Haji T. Usui N. Taira M. et al . (2007). Effect of syntactic similarity on cortical activation during second language processing: a comparison of English and Japanese among native Korean trilinguals. Hum. Brain Mapp.28, 194–204. doi: 10.1002/hbm.20269
24
Jeong H. Sugiura M. Sassa Y. Yokoyama S. Horie K. Sato S. et al . (2007). Crosslinguistic influence on brain activation during second language processing: an fMRI study. Biling. Lang. Congn.10, 175–187. doi: 10.1017/S1366728907002921
25
Jiang N. (2004). Morphological insensitivity in second language processing. Appl. Psycholinguist.25, 603–634. doi: 10.1017/S0142716404001298
26
Jing M. (2008). Erroneous collocations caused by language transfer in Chinese EFL writing. US-China Foreign Language6, 57–61. doi: 10.17265/1539-8080/2008.09.013
27
Kaan E. Ballantyne J. C. Wijnen F. (2015). Effects of reading speed on second-language sentence processing. Appl. Psycholinguist.36, 799–830. doi: 10.1017/S0142716413000519
28
Keating G. D. Jegerski J. (2015). Experimental designs in sentence processing research: a methodological review and user’s guide. Stud. Second. Lang. Acquis.37, 1–32. doi: 10.1017/S0272263114000187
29
Lago S. Mosca M. Stutter Garcia A. G. (2021). The role of crosslinguistic influence in multilingual processing: lexicon versus syntax. Lang. Learn.71, 163–192. doi: 10.1111/lang.12412
30
Li C. N. Thompson S. A. (1981). Mandarin Chinese: a functional reference grammar. Berkeley: University of California Press.
31
Mai Z. Deng X. (2017). Selective vulnerability and dominant language transfer in the acquisition of the Chinese cleft construction by heritage speakers. Linguist. Approach. Bilingualism.9, 202–227. doi: 10.1075/lab.16040.mai
32
Mai Z. Yuan B. (2016). Uneven reassembly of tense, telicity and discourse features in L2 acquisition of the Chinese shì … de cleft construction by adult English speakers. Second. Lang. Res.32, 247–276. doi: 10.1177/0267658315623323
33
Michaelis L. A. (1992). Aspect and the semantics-pragmatics interface: the case of already. Lingua87, 321–339. doi: 10.1016/0024-3841(92)90015-B
34
Michaelis L. A. (1996). On the use and meaning of “already”. Linguist. Philos.19, 477–502. doi: 10.1007/BF00632778
35
Mickan A. Lemhöfer K. (2020). Tracking syntactic conflict between languages over the course of L2 acquisition: a cross-sectional event-related potential study. J. Cogn. Neurosci.32, 822–846. doi: 10.1162/jocn_a_01528
36
Miller K. A. (2014). Accessing and maintaining referents in L2 processing of wh-dependencies. Linguist. Approach. Bilingualism4, 167–191. doi: 10.1075/lab.4.2.02mil
37
Montrul S. (2016). The acquisition of heritage languages. Cambridge: Cambridge University Press.
38
Odlin T. (1989). Language transfer: cross-linguistic influence in language learning. Cambridge: Cambridge University Press.
39
Odlin T. (2001). Cross-linguistic influence in language learning. Shanghai: Shanghai Foreign Language Education Press.
40
Omaki A. Schulz B. (2011). Filler-gap dependencies and island constraints in second language sentence processing. Stud. Second. Lang. Acquis.33, 563–588. doi: 10.1017/S0272263111000313
41
Papadopoulou D. Clahsen H. (2003). Parsing strategies in L1 and L2 sentence processing: a study of relative clause attachment in Greek. Stud. Second. Lang. Acquis.25, 501–528. doi: 10.1017/S0272263103000214
42
Paul W. (2015). New perspectives on Chinese syntax. Berlin: De Gruyter Mouton.
43
Paul W. Yan S. (2022). “Sentence-final particles in mandarin Chinese: syntax, semantics and acquisition” in Discourse particles: syntactic, semantic, pragmatic and historical aspects, Linguistik Aktuell 276 (linguistics today). eds. ArtiagoitiaX.ElordietaA.MonforteS. (Amsterdam: John Benjamins Publishing Company), 179–206.
44
Polinsky M. Scontras G. (2020). Understanding heritage languages. Biling. Lang. Congn.23, 4–20. doi: 10.1017/S1366728919000245
45
R Core Team . (2014). R: A language and environment for statistical computing. Vienna, Austria: R Foundation for Statistical Computing.
46
Rankin T. (2014). Variational learning in L2: the transfer of L1 syntax and parsing strategies in the interpretation of wh-questions by L1 German learners of L2 English. Linguist. Approach. Bilingualism4, 432–461. doi: 10.1075/lab.4.4.02ran
47
Regulez A. B. Montrul S. (2023). Production, acceptability, and online comprehension of Spanish differential object marking by heritage speakers and L2 learners. Front. Psychol.14:1106613. doi: 10.3389/fpsyg.2023.1106613
48
Roberts L. Gullberg M. Indefrey P. (2008). Online pronoun resolution in L2 discourse: L1 influence and general learner effects. Stud. Second. Lang. Acquis.30, 333–357. doi: 10.1017/S0272263108080480
49
Sabourin L. Stowe L. A. (2008). Second language processing: when are first and second languages processed similarly?Second. Lang. Res.24, 397–430. doi: 10.1177/0267658308090186
50
Soh H. L. (2009). Speaker presupwindow and mandarin Chinese sentence-final-le: a unified analysis of the ‘change of state’ and the ‘contrary to expectation’ reading. Nat. Lang. Linguist. Theory27, 623–657. doi: 10.1007/s11049-009-9074-4
51
Szeto P. Y. Matthews S. Yip V. (2017). Multiple correspondence and typological convergence in contact-induced grammaticalization. J. Lang. Contact10, 485–518. doi: 10.1163/19552629-01002014
52
Tokowicz N. MacWhinney B. (2005). Implicit and explicit measures of sensitivity to violations in second language grammars: an event-related potential investigation. Stud. Second. Lang. Acquis.27, 173–204. doi: 10.1017/S0272263105050102
53
Traugott E. C. Waterhouse J. (1969). ‘Already’ and ‘yet’: a suppletive set of aspect-markers?J. Linguist.5, 193–320.
54
Vaughan-Evans A. Paul S. Fitzsimmons G. Manon W. J. (2020). Syntactic co-activation in natural reading. Vis. Cogn.28, 541–556. doi: 10.1080/13506285.2020.1841866
55
Xiang K. (1998). On the prominence of entities and the marker da. Hanyu Xuexi1, 12–16.
56
Xing F. (2001). A study of Chinese complex sentences. Beijing: Shangwu yinshuguan.
57
Yan S. (2023). The right periphery in L2 Chinese: How sentence-final particles are represented in English-Chinese interlanguages. Oxon/New York: Routledge.
58
Yip V. Mai Z. Matthews S. (2018). “CHILDES for bilingualism” in Bilingual cognition and language: The state of the science across its subfields. eds. MillerD.BayramF.RothmanJ.SerratriceL. (Amsterdam/Philadelphia: John Benjamins Publishing Company), 183–201.
59
Yokoyama S. Okamoto H. Miyamoto T. Yoshimoto K. Kim J. Iwata K. et al . (2006). Cortical activation in the processing of passive sentences in L1 and L2: an fMRI study. Neuroimage30, 570–579. doi: 10.1016/j.neuroimage.2005.09.066
60
Yuan B. (2004). Negation in French–Chinese, German–Chinese and English–Chinese interlanguages. Trans. Philol. Soc.102, 169–197. doi: 10.1111/j.0079-1636.2004.00134.x
61
Yuan B. (2010). Domain-wide or variable-dependent vulnerability of the semantics-syntax interface in L2 acquisition? Evidence from wh-words used as existential polarity words in L2 Chinese grammars. Second. Lang. Res.26, 219–260. doi: 10.1177/0267658309349421
62
Yuan B. Zhao Y. (2005). Resumptive pronouns in English-Chinese and Arabic-Chinese interlanguages. Int. Rev. Appl. Linguist. Lang. Teach.43, 219–237. doi: 10.1515/iral.2005.43.3.219
63
Zhao Y. (2006). Causativity in Chinese and its representations in English, Japanese and Korean speakers’ L2 Chinese grammars. Beijing: Peking University Press.
Summary
Keywords
positive cross-linguistic influence, bilingual co-activation, SFP le, L2 learners, heritage learners
Citation
Yan S, Mai Z and Zhao Y (2023) Positive cross-linguistic influence in the representation and processing of sentence-final particle le by L2 and heritage learners of Chinese. Front. Psychol. 14:1145493. doi: 10.3389/fpsyg.2023.1145493
Received
16 January 2023
Accepted
05 July 2023
Published
25 July 2023
Volume
14 - 2023
Edited by
Yang Zhang, University of Minnesota, Twin Cities, United States
Reviewed by
Vittorio Tantucci, Lancaster University, United Kingdom; Jing Yang, Zhejiang University, China
Updates
Copyright
© 2023 Yan, Mai and Zhao.
This is an open-access article distributed under the terms of the Creative Commons Attribution License (CC BY). The use, distribution or reproduction in other forums is permitted, provided the original author(s) and the copyright owner(s) are credited and that the original publication in this journal is cited, in accordance with accepted academic practice. No use, distribution or reproduction is permitted which does not comply with these terms.
*Correspondence: Yang Zhao, zhaoyang@pku.edu.cn
Disclaimer
All claims expressed in this article are solely those of the authors and do not necessarily represent those of their affiliated organizations, or those of the publisher, the editors and the reviewers. Any product that may be evaluated in this article or claim that may be made by its manufacturer is not guaranteed or endorsed by the publisher.