Abstract
Background:
Cinnamomum camphora is a commercially important tree species in China, and it’s also a common native tree in the forests of southern China. However, literature on the impact of Cinnamomum camphora essential oil (CCEO) on human psychophysiological activity is scarce. Hence, the primary objective of this study was to examine the effect of exposure to CCEO on the functioning of the human autonomic nervous system, electroencephalographic (EEG) activity, and emotional state.
Methods:
Forty-three healthy university students participated. The data collected included heart rate (HR), blood pressure (BP), pulse rate, blood oxygen saturation (SpO2), electroencephalographic (EEG) activity, and the results of the Profile of Mood States (POMS) test.
Results:
A drop in diastolic pressure (DBP) and pulse rate was also noticed after participants inhaled CCEO. Furthermore, EEG studies have demonstrated notable reductions in absolute beta (AB), absolute gamma (AG), absolute high beta (AHB), and relative gamma (RG) power spectra during exposure to CCEO. Conversely, the relative theta (RT) and power spectra values showed a significant increase. Additionally, the finding from POMS indicated that the fragrance evoked positive emotions and suppressed negative feelings.
Conclusion:
The results suggest that exposure to CCEO may promote mental and physical relaxation, facilitate cognitive processes such as memory and attention, and enhance mood states.
1 Introduction
Essential oils (EOs) are traditionally secondary metabolites extracted from various natural plant tissues that still retain the distinctive characteristics of the raw material (Yu et al., 2022). They are complex mixed compounds with alcohols, aldehydes, ketones, ethers, esters, acids, and oxides (Kim et al., 2018). Aroma-therapy is a form of therapy that focuses on the psychological impacts of EO scents and the physiological effects of inhaling its volatile chemicals (Lin et al., 2022). Since the ancient era, EOs have been utilized to promote humans’ physiological and psychological well-being (Angelucci et al., 2014). EOs and fragrance compounds have been employed in traditional medicine, aromatherapy, and herbal medicine to address a range of psychological and physical ailments, including but not limited to headaches, pain, insomnia, eczema, stress-induced anxiety, depression, and digestive issues (Hedayat and Tsifansky, 2008; Sowndhararajan and Kim, 2016).
Electroencephalography (EEG) is widely used to examine spontaneous brain activities (Sowndhararajan and Kim, 2016). Exposure to fragrance has been reported to affect brain activity and cognitive function (Iijima et al., 2009; Lin et al., 2022). The EEG power spectrum bands often employed in the investigation of brain activity include delta (0–4 Hz), theta (4–8 Hz), alpha (8–13 Hz), beta (13–30 Hz), and gamma (>30 Hz) waves (Sowndhararajan and Kim, 2016). EEG is a non-invasive, uncomplicated technology that assesses the olfactory system objectively (Krbot Skorić et al., 2015). Hence, in this study, EEG is used to evaluate subjects’ brain activity during the inhalation of Cinnamomum camphora.
Many types of aroma EOs are used to reduce anxiety and regulate mood (Masuo et al., 2021). A previous study found that inhaling lavender oil led to an increase in alpha power in EEG analysis, indicating better relaxation and an improved mood (Diego et al., 1998). Moreover, a study among women found that olfactory stimulation by Japanese cedar (Cryptomeria japonica) EO regulates mood states and suppresses sympathetic nervous activity, which improves mental health (Matsubara and Ohira, 2018). Recent scientific investigations have revealed that EOs obtained from various plant species, including the Korean fir, Siberian fir tree, Inula helenium, Angelica gigas, and peppermint, significantly affect brain wave activities (Diego et al., 1998; Matsubara et al., 2011; Sayorwan et al., 2012; Seo et al., 2016; Sowndhararajan et al., 2016, 2017; Kim et al., 2020; Lin et al., 2022).
In recent years, essential oils are widely used in several delivery populations, including children (Tripathy et al., 2023), adults (Lee et al., 2017), patients (Johnson et al., 2016; Lee and Hur, 2022), women (Matsumoto et al., 2013; Hong et al., 2018), teachers (Liu et al., 2013), and students (Choi et al., 2022). Given that college students are a unique population particularly prone to experiencing high levels of stress, anxiety, depression, and other psychological problems (Granieri et al., 2021; Faisal et al., 2022), aromatherapy has garnered significant research interest concerning the student population. Wakui et al. (2023) conducted a clinical trial involving 48 Japanese university students to assess the effects of bergamot essential oil. The findings indicated that the bergamot essential oil can alleviate psychological stress, improve sleep quality, and enhance morning wakefulness in the short term. Similarly, Özer et al. (2022) evaluated the efficacy of lemon essential oil in reducing test anxiety among nursing students. Their study demonstrated that lemon essential oil effectively reduced test anxiety by 43.3%. Furthermore, Kim and Song (2022) investigated the physiological and psychological relaxing effects of fir essential oil among university students. They utilized heart rate variability (HRV) and heart rate (HR) as physiological indicators, and the Profile of Mood States (POMS) and State–Trait Anxiety Inventory (STAI) as psychological indicators. Participants inhaled fir essential oil for 3 min, which resulted in lower ln(LF/HF) ratios, improved positive mood (vigor), and decreased negative moods and anxiety levels.
Cinnamomum camphora, a member of the Lauraceae family, is a deciduous broad-leaf tree native to regions such as South China, East Asia, India, and South Korea (Lee et al., 2022). Since China’s urbanization began in 1978, the Cinnamomum camphora, a typical indigenous street and park species, has been widely cultivated across urban areas (Zhang and Song, 2003). It is particularly prevalent from coastal regions to inland areas, including Taiwan and Hainan Province. Renowned for its valuable timber and diverse ecosystem services, this species serves as a cornerstone of urban forestry. It contributes significantly to the economic prosperity and environmental sustainability of numerous cities (Xiang et al., 2020). In addition, camphor trees have been extensively used in traditional Chinese herbal medicine, as nutritional supplements, perfume, health care items, and incense (Zhou and Yan, 2016). Cinnamomum camphora essential oil (CCEO) refers to a collection of volatile oil-like chemicals found in C. camphora that possess a distinct odor. It is utilized mainly in food, chemical, health care, and other industries (du et al., 2022). Furthermore, it holds significant value as a primary source of fragrances (Lee et al., 2022). CCEO comprises terpenes and phenylpropenes (Pragadheesh et al., 2013; Shi et al., 2013; Guo et al., 2016). These compounds possess several antioxidant, antidiabetic, anti-inflammatory (Lee et al., 2006), antibacterial (Zhou et al., 2016), and analgesic qualities (Xiao et al., 2021).
Despite extensive research having been conducted on the EOs of traditional medicinal plants and some tree species (Matsubara et al., 2011; Ikei et al., 2015; Han et al., 2017; Matsubara et al., 2017; Kim et al., 2018; Kim and Song, 2022; Zhang et al., 2022), studies on other types of plants are still minimal. Additionally, and the research indicators used have not been comprehensive. Investigations of the effects of Cinnamomum camphora essential oil on brain wave activity, the autonomic activity, and mood responses have rarely conducted. Therefore, this study aims to investigate the potential effects of inhaling CCEO on students’ physiological and psychological activities. The objective is to comprehensively evaluate its suitability for use in aromatherapy and to develop commercial values and resource utilization strategies for Cinnamomum camphora.
2 Materials and methods
2.1 Participants
A total of 43 healthy university students (26 females and 17 males, aged 18–25 years) at Fujian Agriculture and Forestry University were enrolled. None of the subjects had mental health problems, asthma, nasal diseases, or allergies to EOs. The objectives and schedule of the studies were clarified in advance, and participants were required to provide written informed consent before participation. Prior to the experiment, they were told to avoid excessive exercise, drinks containing alcohol, caffeine, smoking, or using any form of drug within 24 h of the investigation. This study was approved by the Human Research Ethics Committee of Fujian Provincial Hospital (K2019-03-006).
2.2 Olfactory stimulation
The CCEO was provided by the Department of Wood-Based Materials and Design, National Chiayi University. The essential oil was extracted from the leaves of Cinnamomu camphora using the steam distillation extraction method. For sensory evaluation, 1% of dilute CCEO was prepared using a colorless and odorless dipropylene glycol (DPG) solvent. This study employed a specialized incense diffuser capable of atomizing EOs and regulating the release duration. Specifically, the incense diffuser atomized the 1% CCEO solution, which was then further diluted with air before being provided to the subjects. CCEO was used as the olfactory stimulus, with normal room air as the control. The odor was administered for 5 min. Odors were presented to each subject by means of a funnel-shaped supplier fixed on the table, situated approximately 10 cm under the nose (Figure 1A).
Figure 1

Experiment: (A) An incense diffuser; (B) EEG electrode placement locations using the international 10–20 system.
A consistent temperature of 26°C and a humidity level of 50% was maintained in the experimental chamber (4 × 2.5 × 2.8 m). Participants were instructed to remain seated, close their eyes, and breathe regularly during the assessment. The EEG data were obtained 5 min before and throughout the five-minute inhaling process. The participants were not provided any prior information on the scent used in the studies.
2.3 GC–MS analysis of Cinnamomum camphora essential oil
The volatile aromatic components in the essential oil of C. camphora were identified by gas chromatography and mass spectrometry (GC–MS) analysis. GC–MS analysis was carried out with a Agilent 8,890-7000E equipped with a DB-WAX column (60 m × 320 μm × 0.25 μm). The GC oven temperature was kept at 50°C for 2 min, then heated to 250°C at a rate of 3°C/min, and maintained for 14 min. One μL of the sample was injected, and helium was used as a carrier gas at the rate of 1 mL/min. The injector temperature was set at 220°C and the ion source temperature was set at 230°C. The components of the oil were identified by the mass spectral library (NIST 20).
2.4 Experimental design
This study employed a single-group pretest–posttest research design to investigate the effects of inhalation of CCEO. The participants were provided with the goal and procedure of the study before the experiment. During the EEG measurement, they were instructed to maintain a state of stillness without any movement.
The experimental procedure (Figure 2) was conducted in the following sequence: (1) the participants were initially given 10 min to adapt to the environment and provide their informed consent, after which the EEG cap was placed on their heads (20 min). (2) Each participant’s EEG was recorded for 5 min with eyes closed and while breathing normally; then, the baseline physiological parameters were measured, which included heart rate (HR), blood pressure (BP), pulse rate, blood oxygen saturation (SpO2). A POMS questionnaire was also administered and collected. (3) The CCEO was dispersed into the chamber using an incense diffuser without informing the participant for 5 min. The relevant physiological parameters and the POMS evaluation of the participants were once again measured. (4) After this, the EEG cap was removed. The entire experimental process lasted approximately 50 min.
Figure 2

Experimental procedure.
2.5 Data analysis
The average power values [microvolt (μv2/Hz)] were computed for a total of 25 EEG analysis indicators (Table 1). The topographical mapping (t-mapping) of EEG wave was constructed by using the EEGLAB12.0 software program. T-maps can clearly illustrate the differences in EEG power spectra. Data were shown as mean ± SEM. The measurements were taken before and after the CCEO inhalation. All of the data were analyzed using SPSS version 26.0, and the results’ significance was determined using paired t-tests (p < 0.05) to examine trends.
Table 1
| No. | Indices | EEG power spectrum indicators | EEG power spectrum indicators (Hz) |
|---|---|---|---|
| 1 | AT | Absolute theta power spectrum | 4 ∼ 8 |
| 2 | AA | Absolute alpha power spectrum | 8 ∼ 13 |
| 3 | AB | Absolute beta power spectrum | 13 ∼ 30 |
| 4 | AG | Absolute gamma power spectrum | 30 ∼ 50 |
| 5 | ASA | Absolute slow alpha power spectrum | 8 ∼ 11 |
| 6 | AFA | Absolute fast alpha power spectrum | 11 ∼ 13 |
| 7 | ALB | Absolute low beta power spectrum | 12 ∼ 15 |
| 8 | AMB | Absolute mid beta power spectrum | 15 ∼ 20 |
| 9 | AHB | Absolute high beta power spectrum | 20 ∼ 30 |
| 10 | RT | Relative theta power spectrum | (4 ∼ 8)/(4 ∼ 50) |
| 11 | RA | Relative alpha power spectrum | (8 ∼ 13)/(4 ∼ 50) |
| 12 | RB | Relative beta power spectrum | (13 ∼ 30)/(4 ∼ 50) |
| 13 | RG | Relative gamma power spectrum | (30 ∼ 50)/(4 ∼ 50) |
| 14 | RSA | Relative slow alpha power spectrum | (8 ∼ 11)/(4 ∼ 50) |
| 15 | RFA | Relative fast alpha power spectrum | (11 ∼ 13)/(4 ∼ 50) |
| 16 | RLB | Relative low beta power spectrum | (12 ∼ 15)/(4 ∼ 50) |
| 17 | RMB | Relative mid beta power spectrum | (15 ∼ 20)/(4 ∼ 50) |
| 18 | RHB | Relative high beta power spectrum | (20 ∼ 30)/(4 ∼ 50) |
| 19 | RST | Ratio of SMR to theta | (12 ∼ 15)/(4 ∼ 8) |
| 20 | RMT | Ratio of mid beta to theta | (15 ∼ 20)/(4 ∼ 8) |
| 21 | RSMT | Ratio of (SMR ~ mid beta) to theta | (12 ∼ 20)/(4 ∼ 8) |
| 22 | RAHB | Ratio of alpha to high beta | (8 ∼ 13)/(20 ∼ 30) |
| 23 | SEF50 | Spectral edge frequency 50% | 4 ∼ 50 |
| 24 | SEF90 | Spectral edge frequency 90% | 4 ∼ 50 |
| 25 | ASEF | Spectral edge frequency 50% of alpha spectrum band | 8 ∼ 13 |
The abbreviations, full names, and wavelength ranges of the EEG power spectrum indices.
2.6 Physiological measurements
2.6.1 EEG recording
According to the International 10–20 System, the EEG recordings were made using a SMARTING 24-channels electrode cap. The electrodes were positioned on the scalp at Fp1, Fp2, F3, F4, C3, C4, P3, P4, O1, O2, M1, M2, F7, F8, T7, T8, P7, P8, Fz, Cz, Pz, AFz, CPz, POz (Figure 1B). The electrodes were referenced to the ipsilateral earlobe electrodes, and M1 and M2 channels were used as reference electrodes. The EEG data was consistently captured at a sample frequency of 500 Hz, completing band-pass filtering within the frequency range of 0.5 to 50 Hz, followed by applying a 50 Hz notch filter. The EEG raw data was filtered and removed eye-blink or motor artifacts for each channel using MATLAB R2013b software. Power spectral data were analyzed using Fast-Fourier transform method (FFT). The EEG wave t-mapping was generated using the EEGLAB12.0 software program. The electrode gel (Wuhan Greentek Pty. Ltd., China) is applied into each electrode to connect with the surface of the scalp in order to drop the electric resistance of the scalp below 5 kΩ. The mean power values (μv2/Hz) are calculated, and the frequency bands such as alpha, beta, theta, gamma (25 indices) are recorded. EEG data will be compared between, before and during inhalation. The average power values were established to evaluate the effects of CCEO inhalation on the whole-brain area.
2.6.2 HR, BP, pulse, and SpO2
A BP monitor (HEM-92200 L, Omron DALIAN, Co., Ltd., China) was used to measure HR, BP, and pulse. SpO2 was measured by a finger monitor (Philips DB18). Each participant’s BP and HR were recorded thrice, consecutively, and the mean value of these measurements was computed. Systolic blood pressure (SBP) and diastolic blood pressure (DBP) are the two fundamental constituents of BP. These values and HR were used to assess how stress affects the cardiovascular system (Rajoo et al., 2019), with higher values indicating greater stress.
2.6.3 Psychological measurements
The Profile of Mood State (POMS) test, created by Grove and Prapavessis (1992) and simplified by Beili (1995) for Chinese people, was employed to measure the psychological impacts of olfactory stimulation. It is a self-reporting questionnaire consisting of 40 items designed to assess mood states across the following 7 dimensions: “tension,” “depression,” “anger,” “fatigue,” “panic,” “energy,” and “self-esteem.” High scores in the positive subscale (energy and self-esteem) and low scores in all the other subscales reflect a positive mood or feeling (Yoshihara et al., 2011). The total mood disturbance (TMD) score was calculated as follows: [(tension +depression + anger + fatigue + panic – energy – self-esteem) +100] (Lin et al., 2019). An improved emotional state indicates a lower TMD score (McNair et al., 1992). A higher TMD score indicates a more significant level of mood disturbance (Yoshihara et al., 2011).
3 Results
3.1 Chemicals in Cinnamomum camphora
The volatile aromatic components in the essential oil of Cinnamomum camphora were identified by gas chromatography and mass spectrometry (GC–MS) analysis. Nine major substances were identified with a search similarity of over 90% and a relative content exceeding 1%, accounting for approximately 94.88% of the total components. CCEO is mainly composed of monoterpenes hydrocarbons (Table 2). The primary constituents in CCEO are camphor (32.28%), followed by α-pinene (13.74%), p-cymene (13.63%), β-pinene (11.89%), γ-terpinene (9.29%), 1,8-cineole (5.31%), α-terpinene (3.79%), terpinen-4-ol (2.64%), and terpinolene (2.31%).
Table 2
| S. number | Component | Retention time (min) | Formula | Peak area (%) |
|---|---|---|---|---|
| 1 | α-Pinene | 8.53 | C₁₀H₁₆ | 13.74 |
| 2 | β-Pinene | 9.98 | C₁₀H₁₆ | 11.89 |
| 3 | α-Terpinene | 11.43 | C₁₀H₁₆ | 3.79 |
| 4 | p-Cymene | 11.72 | C₁₀H14 | 13.63 |
| 5 | 1,8-Cineole | 11.96 | C10H18O | 5.31 |
| 6 | γ-Terpinene | 12.97 | C₁₀H₁₆ | 9.29 |
| 7 | Terpinolene | 14.03 | C₁₀H₁₆ | 2.31 |
| 8 | Camphor | 16.07 | C₁₀H₁₆O | 32.28 |
| 9 | Terpinen-4-ol | 17.25 | C₁₀H18O | 2.64 |
The main chemical composition of the essential oil from the Cinnamomum camphora.
3.2 Physiological responses
3.2.1 Inhalation of CCEO on EEG power spectrum values
Table 3 depicts the significant changes in EEG power spectrum values before and during the CCEO inhalation. Among the 25 EEG indices analyzed, statistically significant differences were observed in 5. Figure 3 depicts the t-mapping of considerable EEG power spectrum value changes.
Table 3
| Indice | Site | Before inhalation (μv2/Hz) | During inhalation (μv2/Hz) | t test | p value* |
|---|---|---|---|---|---|
| AB | P7 | 1.051 ± 0.549 | 0.313 ± 0.194 | 2.381 | 0.022* |
| AG | Fp1 | 0.577 ± 0.292 | 0.448 ± 0.344 | 2.206 | 0.033* |
| Fp2 | 0.462 ± 0.326 | 0.316 ± 0.183 | 2.402 | 0.021* | |
| F3 | 0.501 ± 0.562 | 0.311 ± 0.176 | 2.1 | 0.042* | |
| F4 | 0.473 ± 0.470 | 0.298 ± 0.179 | 2.305 | 0.027* | |
| C3 | 0.566 ± 0.672 | 0.312 ± 0.175 | 2.392 | 0.022* | |
| C4 | 0.461 ± 0.326 | 0.305 ± 0.178 | 2.911 | 0.006** | |
| P3 | 0.501 ± 0.341 | 0.363 ± 0.259 | 2.065 | 0.046* | |
| P4 | 0.479 ± 0.321 | 0.330 ± 0.226 | 2.6 | 0.013* | |
| P7 | 0.544 ± 0.437 | 0.316 ± 0.197 | 3.13 | 0.003** | |
| P8 | 0.483 ± 0.337 | 0.346 ± 0.248 | 2.393 | 0.022* | |
| Fz | 0.400 ± 0.283 | 0.289 ± 0.163 | 2.313 | 0.026* | |
| Cz | 0.420 ± 0.288 | 0.297 ± 0.173 | 2.503 | 0.017* | |
| Pz | 0.489 ± 0.327 | 0.327 ± 0.208 | 2.75 | 0.009** | |
| AFz | 0.378 ± 0.274 | 0.271 ± 0.164 | 2.228 | 0.032* | |
| CPz | 0.426 ± 0.291 | 0.294 ± 0.174 | 2.601 | 0.013* | |
| POz | 0.627 ± 0.533 | 0.399 ± 0.359 | 2.236 | 0.031* | |
| AHB | Fp1 | 0.771 ± 0.447 | 0.599 ± 0.291 | 2.237 | 0.031* |
| Fp2 | 0.794 ± 0.430 | 0.600 ± 0.260 | 2.508 | 0.016* | |
| F3 | 0.870 ± 0.594 | 0.668 ± 0.296 | 2.274 | 0.029* | |
| F4 | 0.875 ± 0.529 | 0.673 ± 0.317 | 2.206 | 0.033* | |
| C3 | 1.009 ± 0.731 | 0.728 ± 0.346 | 2.321 | 0.026* | |
| C4 | 0.925 ± 0.469 | 0.734 ± 0.350 | 2.267 | 0.029* | |
| P3 | 0.998 ± 0.512 | 0.802 ± 0.384 | 2.065 | 0.046* | |
| F7 | 0.771 ± 0.567 | 0.564 ± 0.315 | 2.145 | 0.038* | |
| T7 | 1.708 ± 2.017 | 1.212 ± 1.401 | 1.244 | 0.221 | |
| P7 | 0.891 ± 0.595 | 0.605 ± 0.303 | 2.57 | 0.014* | |
| P8 | 0.857 ± 0.495 | 0.674 ± 0.424 | 2.098 | 0.042* | |
| Fz | 0.876 ± 0.446 | 0.710 ± 0.325 | 2.132 | 0.039* | |
| Cz | 0.932 ± 0.466 | 0.756 ± 0.368 | 2.111 | 0.041* | |
| AFz | 0.766 ± 0.416 | 0.618 ± 0.297 | 2.065 | 0.046* | |
| POz | 1.084 ± 0.625 | 0.823 ± 0.446 | 2.25 | 0.03* | |
| RT | Fp1 | 0.771 ± 0.447 | 2.115 ± 0.917 | −9.01 | 0.000*** |
| Fp2 | 0.793 ± 0.430 | 2.167 ± 0.931 | −8.672 | 0.000*** | |
| F3 | 0.890 ± 0.594 | 2.317 ± 0.875 | −8.733 | 0.000*** | |
| F4 | 0.875 ± 0.528 | 2.327 ± 0.893 | −9.106 | 0.000*** | |
| C3 | 1.009 ± 0.730 | 2.081 ± 0.827 | −6.049 | 0.000*** | |
| C4 | 0.924 ± 0.468 | 2.058 ± 0.836 | −7.595 | 0.000*** | |
| P3 | 0.997 ± 0.511 | 1.659 ± 0.747 | −4.863 | 0.000*** | |
| P4 | 0.985 ± 0.511 | 1.658 ± 0.716 | −5.415 | 0.000*** | |
| O1 | 1.912 ± 1.594 | 0.942 ± 0.518 | 3.731 | 0.001** | |
| O2 | 2.065 ± 0.842 | 0.990 ± 0.564 | 6.175 | 0.000*** | |
| Fz | 1.495 ± 0.577 | 2.529 ± 0.577 | −5.268 | 0.000*** | |
| Cz | 0.817 ± 0.398 | 2.373 ± 0.871 | −9.621 | 0.000*** | |
| Pz | 0.811 ± 0.448 | 1.818 ± 0.793 | −6.287 | 0.000*** | |
| AFz | 1.779 ± 0.761 | 2.392 ± 0.924 | −2.781 | 0.008** | |
| RG | C3 | 0.295 ± 0.202 | 0.219 ± 0.147 | 2.049 | 0.047* |
| C4 | 0.288 ± 0.181 | 0.213 ± 0.144 | 2.208 | 0.033* |
Effect of inhalation of C. camphora on EEG power spectrum values.
AB, high beta; AG, absolute gamma; AHB, absolute high beta; RT, relative theta; RG, relative gamma. Values represent the mean ± SEM. *Significant difference (*p < 0.05, **p < 0.01, ***p < 0.001).
Figure 3

The t-mapping of EEG changes before and during the inhalation of CCEO. AB, absolute beta; AG, absolute gamma; AHB, absolute high beta; RT, relative theta; RG, relative gamma.
During exposure to CCEO, a decrease in AB (13–30 Hz) was observed in the left temporal region (P7). In addition, a notable reduction in absolute gamma (30–50 Hz) occurred in frontal (Fp1, Fp2, F3, F4, C3, C4, Fz, AFz), central (Cz, CPz), and parietal (P3, P4, P7, P8, Pz, POz) regions, while relative gamma decreased in the central region (C3, C4). A significant reduction of absolute high beta (20-30 Hz) was also observed in all the regions (Fp1, Fp2, F3, F4, F7, Fz, AFz, C3, C4, CZ, P3, POz, T7, P7, P8). It was also noteworthy that except for the obvious decreasing trend in the occipital region (O1, O2), a notable increase was identified in relative gamma waves over other regions (Fp1, Fp2, F3, F4, C3, C4, P3, P4, Fz, CZ, Pz).
3.2.2 Impact of the inhalation of CCEO on brain regions
We separated the recording electrodes into five sections based on the corresponding cortex beneath the skull to study the brain activities of each specified region: the frontal, temporal, central, parietal, and occipital areas (Liu et al., 2013). Single-channel analysis revealed that the CCEO could induce notable changes in 5 out of 25 EEG indices. We established distinct electrode groups dedicated to specific brain regions to investigate the activities associated with each of them. The frontal area comprises the following electrode placements: Fp1, Fp2, F3, F4, F7, F8, FZ, and AFz; T7 and T8 make up the temporal area of the brain; the central region comprises C3, C4, CZ, and CPz; the parietal area comprises P3, P4, P7, P8, and POz; and O1, and O2 make up the occipital area.
Following the CCEO inhalation, as shown in Figure 4, there was a significant decrease in absolute gamma (AG, 30–50 Hz) in frontal (3.62 to 2.48 μv2/ Hz), central (1.87 to 1.20 μv2/ Hz), and parietal (3.12 to 2.08 μv2/Hz) regions. Simultaneously, significant changes in absolute high beta (AHB, 20-30 Hz) wave power were observed in frontal (6.46 to 4.99 μv2/ Hz), central (3.77 to 2.96 μv2/ Hz), and parietal (5.76 to 4.48 μv2/Hz) regions. The overall results indicate that CCEO inhalation significantly affects the frontal, central, and parietal areas.
Figure 4

Representative brain wave power after inhaling C. camphora essential oil. AG, absolute gamma; AHB, absolute high beta. *Significant difference (*p < 0.05, **p < 0.01, ***p < 0.001).
3.2.3 Effect of CCEO inhalation on HR, BP, pulse, and SpO2
CCEO inhalation had no statistically significant impact on participants’ HR, SBP, or SpO2 (Table 4). Nevertheless, it seemed to considerably affect the DBP and pulse rate. After inhaling CCEO for 5 min, participants’ DBP significantly decreased from 68.19 mmHg to 65.95 mmHg (p < 0.05), although the SBP remained unaffected. On the other hand, the pulse exhibited a significantly decreasing trend compared to the baseline session (p < 0.05), from 76.63 bpm to 72.02 bpm.
Table 4
| Parameters | Before inhalation | During inhalation | t test | p value* |
|---|---|---|---|---|
| HR (beats/min) | 74.25 ± 10.81 | 72.15 ± 14.23 | 1.292 | 0.204 |
| SBP (mm Hg) | 103.98 ± 12.11 | 102.57 ± 12.68 | 1.663 | 0.103 |
| DBP (mm Hg) | 68.19 ± 9.35 | 65.95 ± 8.29 | 2.497 | 0.016* |
| Pulse (bpm) | 76.63 ± 12.02 | 72.02 ± 9.91 | 4.265 | 0.000*** |
| SpO2 (%) | 97.34 ± 0.90 | 97.48 ± 1.03 | −1.000 | 0.322 |
Changes in HR, BP, pulse, and SpO2 after the CCEO intervention.
Heart rate (HR); Systolic blood pressure (SBP); Diastolic blood pressure (DBP); Blood oxygen saturation (SpO2). Values represent the mean ± SEM. *Significant difference (*p < 0.05, ***p < 0.001).
3.3 Psychological responses
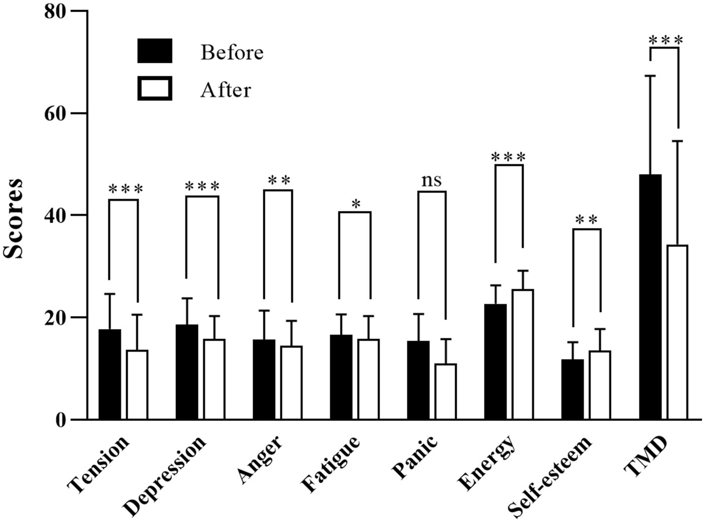
The findings from POMS revealed statistically significant impacts on the subjects, indicating that the CCEO inhalation could reduce anxiety levels and improve mood. As shown in Figure 5, the changes considerably decreased the mean scores of tension from 17.77 to 13.72 (p < 0.001), depression from 18.65 to 15.85 (p < 0.001), anger from 15.72 to 14.42 (p < 0.05), and confusion from 15.45 to 10.95 (p < 0.001). The average score for these negative mood subscales demonstrates a statistically significant decline following exposure to the aroma of CCEO. Besides, energy and self-esteem (passive indicator) scores improved greatly, with energy from 22.67 to 25.55 (p < 0.001), and self-esteem from 11.77 to 13.47 (p < 0.01), following the inhalation of CCEO. Further, the TMD scores after stimulation were significantly lower than baseline (p < 0.01). The POMS thus revealed many positive findings indicating that CCEO inhalation significantly enhances mood and increases positive emotion.
Figure 5

Changes in POMS scores after the CCEO intervention. TMD, Total Mood Disturbance, N = 43, values represent the mean ± SEM. *Significant difference (ns > 0.05, *p < 0.05, **p < 0.01, ***p < 0.001).
4 Discussion
Numerous authors have previously reported the influence of the inhalation of EOs (lavender, rose, and agarwood oils), as well as aromatic components, on the psychological and physiological states of humans (Masago et al., 2000; Kober et al., 2013; Angelucci et al., 2014; Sowndhararajan and Kim, 2016). This current experiment revealed several possible benefits associated with exposure to C. camphora, eliciting multiple physiological and psychological responses, based on EEG and autonomous system assessments.
Regarding the chemical composition, the primary constituents of the CCEO are camphor (32.68%), α-pinene (13.74%), p-cymene (13.63%), and β-pinene (11.89%), which may be responsible for its aromatic properties and potential impacts on humans. It is widely recognized that EOs or aromatic compounds create a positive atmosphere (Seo et al., 2016). Many studies have proved that inhalation of α-pinene and p-cymene can produce a specific anxiolytic effect (Balahbib et al., 2021; Donelli et al., 2023). A survey conducted by Harumi Ike (Ikei et al., 2016) revealed that olfactory stimulation using α-pinene resulted in a considerable reduction in heart rate, induced physiological relaxation, and increased parasympathetic nervous activity. Another study by Kim et al. (2018) demonstrated the positive effects of α-pinene and β-pinene on increasing the brain’s relaxation and alertness states. Zhou et al. (2021) reported that volatile organic compounds released from Cinnamomum camphora forests have therapeutic properties for older people. Although numerous variables, including production methods, location, plant age, harvest time, and meteorological conditions may impact variations in EO yield and composition (Dhouioui et al., 2016).
Physiologically, the alterations in BP and pulse are associated with stress (Zhang et al., 2022). Heart rate and blood pressure are commonly utilized to measure the psychophysiological effects of fragrances. An increase in these physiological activities may indicate anxiety, stress, or a stimulating effect, whereas a decrease generally signifies relaxation (Hongratanaworakit, 2004; Watanuki and Kim, 2005; Angelucci et al., 2014). According to earlier research, a pleasant smell or inhalation of EOs such as lavender, ylang-ylang, and bitter orange may induce a decrease in HR, indicating a relaxing effect (Bensafi, 2002; Zhang and Yao, 2019). Notably, the inhalation of essential oils or aromatic plant volatile oils can directly stimulate the olfactory system, prompting the brain to produce neurotransmitters (Watanuki and Kim, 2005). Consequently, this activation stimulates the autonomic nervous system, which modulates physiological functions such as heart rate, blood pressure, pulse, breathing, memory, and stress response (Sayorwan et al., 2012; Kim et al., 2018). After the CCEO intervention, a significant decrease was observed in DBP and the pulse rate showed a downward trend. These findings suggest that the inhalation of CCEO could beneficially alleviate stress levels.
With regard to the impact of aroma on EEG activity, a significant reduction in AB (13–30 Hz) and AHB (20–30 Hz) were observed during inhalation of CCEO. High beta wave activity is mostly associated with the brain’s high awareness/alertness state (Kim et al., 2018). A study reported that the inhalation of peppermint fragrance may stimulate the brain to remain active (Lin et al., 2022). Similarly, a reduction in beta wave activities is mostly linked to slower brain function (Lee et al., 2014; Kim et al., 2018). Consequently, this study indicates that the inhalation of CCEO leads to a reduction in beta activity, which in turn may decrease the level of alertness.
In this study, RT waves significantly increased in 12 out of 24 electrodes due to the inhalation of CCEO. It has been suggested that theta wave activity may help maintain attention when engaging in challenging tasks (Razumnikova, 2007; Greenberg et al., 2015). In addition, the process of creating memories is greatly influenced by theta waves (Sowndhararajan and Kim, 2016). Matsubara et al. (2011) reported that inhalation of the EO of A. sibirica during a visual display terminal task increased theta wave activities, indicating that the EO of A. sibirica may help in recovery from mental fatigue and prevent mental health disturbances. Our finding is in agreement with previous studies. CCEO may, therefore, have the potential to maintain attention, improve memory, and prevent certain mental health problems.
In addition, AG and RG waves also decreased during exposure to CCEO. Gamma waves are thought to enhance feature binding in sensory processing since they are observed during working-memory matching and several early sensory responses (Skinner et al., 2000; Wang et al., 2013). RG was utilized as a stress evaluation marker in the prefrontal brain (Minguillon et al., 2016). Yerin et al. (2021) reported that mixed EOs with sweet orange, lavender, and amyris could relax the brain and confirm a state of mental immersion through an increase in RG. This finding is similar to the effects of CCEO on human brain activity. Hence, CCEO exposure may help relieve stress and improve positive emotions.
In summary, CCEO seems to positively impact brain activities, leading to improved attention and cognitive abilities. Regarding brain regions, the findings suggest that CCEO inhalation significantly impacts the frontal, central, and parietal areas to a greater extent compared to other regions, which are in charge of movement, attention, and cognition/memory functions, respectively (Sowndhararajan and Kim, 2016). Thus, experiencing a floral scent such as CCEO can potentially foster brain functions such as memory, attention, and cognition and evoke a physiological effect similar to relaxation.
Psychologically, CCEO may be beneficial to enhance the emotional state of individuals (Morfeld et al., 2007). This helps explain the shared experience of EO benefiting mood and emotions. This study also supports previous research on the benefits of CCEO in terms of improving mood (Du et al., 2022; Lee et al., 2022; Ueda et al., 2023). Ueda et al. (2023) evaluate the effects of inhaling CCEO on human brain and memory function using EEG and a working memory task. The study revealed that participants exhibited a preference for CCEO, and an enhancement in positive mood. These findings may be attributed to the specific concentration of CCEO and the duration of inhalation time. The POMS has been used to assess the effects of EO, such as yuzu (Matsumoto et al., 2016), lavender (Matsumoto et al., 2013), Japanese plum blossom (Jo et al., 2013), and white jasmine (Xiong et al., 2023), which have been proven to reduce the POMS score. In the present study, the POMS scores revealed a significant decrease in four negative themes and TMD values after inhaling CCPO, while the positive theme scores (energy, self-esteem) exhibited a significant increase. These findings suggest that, compared to odorless treatment, aromatherapy using CCPO may not only alleviate negative emotions such as anxiety, anger, and depression but also promote positive emotions.
However, this study has several potential limitations. Firstly, our research employs a brief duration of stimulation of Cinnamomum camphora essential oil. In subsequent times, obtaining extensive data spanning several days, months, and years will be vital. Secondly, the EEG recordings were adjusted to account for subjects’ eye movements, which may introduce some deviations. Thirdly, it was conducted with university students in their 20s. To enhance the generalizability of the findings, further studies should be predicated upon more expansive sample size, including diverse age ranges and demographic groupings.
5 Conclusion
In brief, the CCEO appears to have physiologically and psychologically positive stimulatory effects. These significant findings regarding the impact of inhaling CCEO on university students can be summarized as follows: (1) reduced sympathetic nervous activity; (2) improved energy and depressed negative feelings, such as tension and depression; (3) decreased alertness, improved attention, and memory, primarily affecting the brain’s frontal, central, and parietal areas. Thus, short-term inhalation of CCEO can cause physiological and psychological relaxation in university students. This study offers a valuable insight into the new value and function of Cinnamomum camphora essential oil, as it supports students’ well-being and can be used in aromatherapy for positive psychophysiological conditions, thereby fostering the development of complementary approaches and ecosystem service value of Cinnamomum camphora, especially in natural education, natural therapy and ecotourism.
Statements
Data availability statement
The datasets presented in the study are included in the article/supplementary material, further inquiries can be directed to the corresponding author.
Ethics statement
The studies involving humans were approved by Ethics Committee of Fujian Provincial Hospital (K2019-03-006), China. The studies were conducted in accordance with the local legislation and institutional requirements. The participants provided their written informed consent to participate in this study.
Author contributions
XG: Conceptualization, Data curation, Formal analysis, Investigation, Methodology, Project administration, Resources, Software, Supervision, Validation, Visualization, Writing – original draft, Writing – review & editing. YY: Data curation, Investigation, Methodology, Project administration, Software, Validation, Visualization, Writing – original draft, Writing – review & editing. TX: Conceptualization, Data curation, Project administration, Visualization, Writing – original draft. DY: Conceptualization, Software, Supervision, Visualization, Writing – original draft. SL: Project administration, Visualization, Writing – original draft. WC: Conceptualization, Funding acquisition, Supervision, Writing – review & editing.
Funding
The author(s) declare that financial support was received for the research, authorship, and/or publication of this article. This research was funded by the Teaching Reform Project of Fujian Province (FBJG20210076), the Forestry discipline innovation team of Fujian Agriculture and Forestry University (72202200205), and Laboratory of Virtual Teaching and Research on Forest Therapy Specialty of Taiwan Strait, Fujian Agriculture and Forestry University (111TD2104).
Acknowledgments
We express our gratitude to Dr. Lin of the Department of Wood Based Materials and Design, National Chiayi University, for providing us with CCEO, and the Environmental Education and Forest Therapy Laboratory of Fujian Agriculture and Forestry University for their support in the resource preparation phase and for providing the financial resources for this study.
Conflict of interest
The authors declare that the research was conducted in the absence of any commercial or financial relationships that could be construed as a potential conflict of interest.
Publisher’s note
All claims expressed in this article are solely those of the authors and do not necessarily represent those of their affiliated organizations, or those of the publisher, the editors and the reviewers. Any product that may be evaluated in this article, or claim that may be made by its manufacturer, is not guaranteed or endorsed by the publisher.
References
1
Angelucci F. L. Silva V. V. Dal Pizzol C. Spir L. G. Praes C. E. O. Maibach H. (2014). Physiological effect of olfactory stimuli inhalation in humans: an overview. Int. J. Cosmet. Sci.36, 117–123. doi: 10.1111/ics.12096
2
Balahbib A. el Omari N. Hachlafi N. E. L. Lakhdar F. El Menyiy N. Salhi N. et al . (2021). Health beneficial and pharmacological properties of p-cymene. Food Chem. Toxicol.153:112259. doi: 10.1016/j.fct.2021.112259
3
Beili Z. (1995). Brief introduction of POMS scale and its model for China. J. Tianjin Inst. Phys. Educ.1, 35–37.
4
Bensafi M. (2002). Autonomic nervous system responses to Odours: the role of pleasantness and arousal. Chem. Senses27, 703–709. doi: 10.1093/chemse/27.8.703
5
Choi N. Yamanaka T. Takemura A. Kobayashi T. Eto A. Hirano M. (2022). Impact of indoor aroma on students’ mood and learning performance. Build. Environ.223:109490. doi: 10.1016/j.buildenv.2022.109490
6
Dhouioui M. Boulila A. Chaabane H. Zina M. S. Casabianca H. (2016). Seasonal changes in essential oil composition of Aristolochia longa L. ssp. paucinervis batt. (Aristolochiaceae) roots and its antimicrobial activity. Ind. Crop. Prod.83, 301–306. doi: 10.1016/j.indcrop.2016.01.025
7
Diego M. A. Jones N. A. Field T. Hernandez-reif M. Schanberg S. Kuhn C. et al . (1998). Aromatherapy positively affects mood, Eeg patterns of alertness and math computations. Int. J. Neurosci.96, 217–224. doi: 10.3109/00207459808986469
8
Donelli D. Meneguzzo F. Antonelli M. Ardissino D. Niccoli G. Gronchi G. et al . (2023). Effects of plant-emitted monoterpenes on anxiety symptoms: a propensity-matched observational cohort study. Int. J. Environ. Res. Public Health20:2773. doi: 10.3390/ijerph20042773
9
Du Y. Zhou H. Yang L. Jiang L. Chen D. Qiu D. et al . (2022). Advances in biosynthesis and pharmacological effects of Cinnamomum camphora (L.) Presl essential oil. Forests13:1020. doi: 10.3390/f13071020
10
Faisal R. A. Jobe M. C. Ahmed O. Sharker T. (2022). Mental health status, anxiety, and depression levels of Bangladeshi university students during the COVID-19 pandemic. Int. J. Ment. Health Addict.20, 1500–1515. doi: 10.1007/s11469-020-00458-y
11
Granieri A. Franzoi I. G. Chung M. C. (2021). Editorial: psychological distress among university students. Front. Psychol.12:647940. doi: 10.3389/fpsyg.2021.647940
12
Greenberg J. A. Burke J. F. Haque R. Kahana M. J. Zaghloul K. A. (2015). Decreases in theta and increases in high frequency activity underlie associative memory encoding. Neuroimage114, 257–263. doi: 10.1016/j.neuroimage.2015.03.077
13
Grove J. R. Prapavessis H. (1992). Preliminary evidence for the reliability and validity of an abbreviated profile of mood states. Int. J. Sport Psychol.23, 93–109.
14
Guo S. Geng Z. Zhang W. Liang J. Wang C. Deng Z. et al . (2016). The chemical composition of essential oils from Cinnamomum camphora and their insecticidal activity against the stored product pests. Int. J. Mol. Sci.17:1836. doi: 10.3390/ijms17111836
15
Han X. Gibson J. Eggett D. L. Parker T. L. (2017). Bergamot (Citrus bergamia) essential oil inhalation improves positive feelings in the waiting room of a mental health treatment center: a pilot study. Phytother. Res.31, 812–816. doi: 10.1002/ptr.5806
16
Hedayat K. M. Tsifansky M. (2008). Olfactory influences on mood and autonomic, endocrine, and immune function. Psychoneuroendocrinology33, 1302–1303. doi: 10.1016/j.psyneuen.2008.06.011
17
Hong J.-S. Kim W.-Y. Koo C. D. (2018). Effects of the aromatherapy program using fir needle essential oil on stress, sleep quality and fatigue in middle-aged women. J. People Plants Environ.21, 433–443. doi: 10.11628/ksppe.2018.21.5.433
18
Hongratanaworakit T. (2004). Physiological effects in aromatherapy. Songklanakarin J. Sci. Technol.26, 117–125.
19
Iijima M. Osawa M. Nishitani N. Iwata M. (2009). Effects of incense on brain function: evaluation using electroencephalograms and event-related potentials. Neuropsychobiology59, 80–86. doi: 10.1159/000209859
20
Ikei H. Song C. Miyazaki Y. (2015). Physiological effect of olfactory stimulation by Hinoki cypress (Chamaecyparis obtusa) leaf oil. J. Physiol. Anthropol.34:44. doi: 10.1186/s40101-015-0082-2
21
Ikei H. Song C. Miyazaki Y. (2016). Effects of olfactory stimulation by α-pinene on autonomic nervous activity. J. Wood Sci.62, 568–572. doi: 10.1007/s10086-016-1576-1
22
Jo H. Rodiek S. Fujii E. Miyazaki Y. Park B. J. Ann S. W. (2013). Physiological and psychological response to floral scent. HortScience48, 82–88. doi: 10.21273/HORTSCI.48.1.82
23
Johnson J. R. Rivard R. L. Griffin K. H. Kolste A. K. Joswiak D. Kinney M. E. et al . (2016). The effectiveness of nurse-delivered aromatherapy in an acute care setting. Complement. Ther. Med.25, 164–169. doi: 10.1016/j.ctim.2016.03.006
24
Kim M. Chhoeun T. B. Kim T. Sowndhararajan K. Kim S. (2020). The gender variation on the electroencephalographic activity in response to the exposure of black pepper essential oil from Kampong Cham, Cambodia. Flavour Fragr. J.35, 284–293. doi: 10.1002/ffj.3560
25
Kim D.-S. Goo Y. M. Cho J. Lee J. Lee D. Y. Sin S. M. et al . (2018). Effect of volatile organic chemicals in Chrysanthemum indicum Linné on blood pressure and electroencephalogram. Molecules23:2063. doi: 10.3390/molecules23082063
26
Kim C. Song C. (2022). Physiological and psychological relaxation effects of fir essential oil on university students. Int. J. Environ. Res. Public Health19:5063. doi: 10.3390/ijerph19095063
27
Kim M. Sowndhararajan K. Park S. J. Kim S. (2018). Effect of inhalation of isomers, (+)-alpha-pinene and (+)-ss-pinene on human electroencephalographic activity according to gender difference. Eur. J. Integr. Med.17, 33–39. doi: 10.1016/j.eujim.2017.11.005
28
Kober S. E. Witte M. Ninaus M. Neuper C. Wood G. (2013). Learning to modulate one’s own brain activity: the effect of spontaneous mental strategies. Front. Hum. Neurosci.7:695. doi: 10.3389/fnhum.2013.00695
29
Krbot Skorić M. Adamec I. Jerbić A. B. Gabelić T. Hajnšek S. Habek M. (2015). Electroencephalographic response to different odors in healthy individuals: a promising tool for objective assessment of olfactory disorders. Clin. EEG Neurosci.46, 370–376. doi: 10.1177/1550059414545649
30
Lee J. Hur M.-H. (2022). The effects of aroma essential oil inhalation on stress, pain, and sleep quality in laparoscopic cholecystectomy patients: a randomized controlled trial. Asian Nurs. Res.16, 1–8. doi: 10.1016/j.anr.2021.11.002
31
Lee H. J. Hyun E. A. Yoon W. J. Kim B. H. Rhee M. H. Kang H. K. et al . (2006). In vitro anti-inflammatory and anti-oxidative effects of Cinnamomum camphora extracts. J. Ethnopharmacol.103, 208–216. doi: 10.1016/j.jep.2005.08.009
32
Lee S.-H. Kim D.-S. Park S.-H. Park H. (2022). Phytochemistry and applications of Cinnamomum camphora essential oils. Molecules27:2695. doi: 10.3390/molecules27092695
33
Lee B.-G. Lee B.-L. Chung W.-Y. (2014). Mobile healthcare for automatic driving sleep-onset detection using wavelet-based EEG and respiration signals. Sensors14, 17915–17936. doi: 10.3390/s141017915
34
Lee M.-K. Lim S. Ji-Ah S. Kim M.-E. Hur M.-H. (2017). The effects of aromatherapy essential oil inhalation on stress, sleep quality and immunity in healthy adults: randomized controlled trial. Eur. J. Integr. Med.12, 79–86. doi: 10.1016/j.eujim.2017.04.009
35
Lin W. Chen Q. Jiang M. Zhang X. Liu Z. Tao J. et al . (2019). The effect of green space behaviour and per capita area in small urban green spaces on psychophysiological responses. Landsc. Urban Plan.192:103637. doi: 10.1016/j.landurbplan.2019.103637
36
Lin S. Wang Y. Wu K. Yu G. Liu C. Su C. et al . (2022). Study on the effect of Mentha × piperita L. essential oil on electroencephalography upon stimulation with different visual effects. Molecules27:4059. doi: 10.3390/molecules27134059
37
Liu S.-H. Lin T.-H. Chang K.-M. (2013). The physical effects of aromatherapy in alleviating work-related stress on elementary school teachers in Taiwan. Evid. Based Complement. Alternat. Med.2013:853809, 1–7. doi: 10.1155/2013/853809
38
Liu C. W. Wang C. S. Chuang K. J. Lo C. C. Chen C. T. (2013). Electroencephalographic study of essential oils for stress relief. Appl. Mech. Mater.437, 1085–1088. doi: 10.4028/www.scientific.net/AMM.437.1085
39
Masago R. Matsuda T. Kikuchi Y. Miyazaki Y. Iwanaga K. Harada H. et al . (2000). Effects of inhalation of essential oils on EEG activity and sensory evaluation. J. Physiol. Anthropol.19, 35–42. doi: 10.2114/jpa.19.35
40
Masuo Y. Satou T. Takemoto H. Koike K. (2021). Smell and stress response in the brain: review of the connection between chemistry and neuropharmacology. Molecules26:2571. doi: 10.3390/molecules26092571
41
Matsubara E. Fukagawa M. Okamoto T. Ohnuki K. Shimizu K. Kondo R. (2011). The essential oil ofAbies sibirica (Pinaceae) reduces arousal levels after visual display terminal work. Flavour Fragr. J.26, 204–210. doi: 10.1002/ffj.2056
42
Matsubara E. Ohira T. (2018). Inhalation of Japanese cedar (Cryptomeria japonica) wood odor causes psychological relaxation after monotonous work among female participants. Biomed. Res.39, 241–249. doi: 10.2220/biomedres.39.241
43
Matsubara E. Tsunetsugu Y. Ohira T. Sugiyama M. (2017). Essential oil of Japanese cedar (Cryptomeria japonica) Wood increases salivary Dehydroepiandrosterone sulfate levels after monotonous work. Int. J. Environ. Res. Public Health14:97. doi: 10.3390/ijerph14010097
44
Matsumoto T. Asakura H. Hayashi T. (2013). Does lavender aromatherapy alleviate premenstrual emotional symptoms?: a randomized crossover trial. Biopsychosoc. Med.7:12. doi: 10.1186/1751-0759-7-12
45
Matsumoto T. Kimura T. Hayashi T. (2016). Aromatic effects of a Japanese citrus fruit—yuzu (Citrus junos Sieb. Ex Tanaka)—on psychoemotional states and autonomic nervous system activity during the menstrual cycle: a single-blind randomized controlled crossover study. Biopsychosoc. Med.10:11. doi: 10.1186/s13030-016-0063-7
46
McNair D. M. Lorr M. Droppleman L. F. (1992). Revised manual for the profile of mood states. San Diego, CA: Educational and Industrial Testing Services.
47
Minguillon J. Lopez-Gordo M. A. Pelayo F. (2016). Stress assessment by prefrontal relative gamma. Front. Comput. Neurosci.10:101. doi: 10.3389/fncom.2016.00101
48
Morfeld M. Petersen C. Krüger-Bödeker A. von Mackensen S. Bullinger M. (2007). The assessment of mood at workplace-psychometric analyses of the revised profile of mood states (POMS) questionnaire. Psychosoc. Med.4:Doc06.
49
Özer Z. Teke N. Turan G. B. Bahçecik A. N. (2022). Effectiveness of lemon essential oil in reducing test anxiety in nursing students. Explore18, 526–532. doi: 10.1016/j.explore.2022.02.003
50
Pragadheesh V. S. Saroj A. Yadav A. Chanotiya C. S. Alam M. Samad A. (2013). Chemical characterization and antifungal activity of Cinnamomum camphora essential oil. Ind. Crop. Prod.49, 628–633. doi: 10.1016/j.indcrop.2013.06.023
51
Rajoo K. S. Karam D. S. Abdul Aziz N. A. (2019). Developing an effective forest therapy program to manage academic stress in conservative societies: a multi-disciplinary approach. Urban For. Urban Green.43:126353. doi: 10.1016/j.ufug.2019.05.015
52
Razumnikova O. M. (2007). Creativity related cortex activity in the remote associates task. Brain Res. Bull.73, 96–102. doi: 10.1016/j.brainresbull.2007.02.008
53
Sayorwan W. Siripornpanich V. Piriyapunyaporn T. Hongratanaworakit T. Kotchabhakdi N. Ruangrungsi N. (2012). The effects of lavender oil inhalation on emotional states, autonomic nervous system, and brain electrical activity. J. Med. Assoc. Thai.95, 598–606.
54
Seo M. Sowndhararajan K. Kim S. (2016). Influence of Binasal and Uninasal inhalations of essential oil of Abies koreana twigs on electroencephalographic activity of human. Behav. Neurol.2016:e9250935. doi: 10.1155/2016/9250935
55
Shi S. Wu Q. Su J. Li C. Zhao X. Xie J. et al . (2013). Composition analysis of volatile oils from flowers, leaves and branches of Cinnamomum camphora chvar. Borneol in China. J. Essent. Oil Res.25, 395–401. doi: 10.1080/10412905.2013.809323
56
Skinner J. E. Molnar M. Kowalik Z. J. (2000). The role of the thalamic reticular neurons in alpha-and gamma-oscillations in neocortex: a mechanism for selective perception and stimulus binding. Acta Neurobiol. Exp.60, 123–142. doi: 10.55782/ane-2000-1330
57
Sowndhararajan K. Cho H. Yu B. Song J. Kim S. (2016). Effect of inhalation of essential oil from Inula helenium L. root on electroencephalographic (EEG) activity of the human brain. Eur. J. Integr. Med.8, 453–457. doi: 10.1016/j.eujim.2016.01.005
58
Sowndhararajan K. Kim S. (2016). Influence of fragrances on human psychophysiological activity: with special reference to human electroencephalographic response. Sci. Pharm.84, 724–751. doi: 10.3390/scipharm84040724
59
Sowndhararajan K. Seo M. Kim M. Kim H. Kim S. (2017). Effect of essential oil and supercritical carbon dioxide extract from the root of Angelica gigas on human EEG activity. Complement. Ther. Clin. Pract.28, 161–168. doi: 10.1016/j.ctcp.2017.05.010
60
Tripathy S. Kohli A. Sharma K. Katyayan R. Bhatnagar P. Sahar N. (2023). Comparative evaluation between lavender essential oil and patchouli essential oil in aromatherapy and its effect on dental anxiety in children. Int. J. Clin. Pediatr. Dent.16, 681–685. doi: 10.5005/jp-journals-10005-2674
61
Ueda K. Horita T. Suzuki T. (2023). Effects of inhaling essential oils of citrus limonum L., santalum album, and cinnamomum camphora on human brain activity. Brain Behav.13:e2889. doi: 10.1002/brb3.2889
62
Wakui N. Togawa C. Ichikawa K. Matsuoka R. Watanabe M. Okami A. et al . (2023). Relieving psychological stress and improving sleep quality by bergamot essential oil use before bedtime and upon awakening: a randomized crossover trial. Complement. Ther. Med.77:102976. doi: 10.1016/j.ctim.2023.102976
63
Wang J. Barstein J. Ethridge L. E. Mosconi M. W. Takarae Y. Sweeney J. A. (2013). Resting state EEG abnormalities in autism spectrum disorders. J. Neurodev. Disord.5:24. doi: 10.1186/1866-1955-5-24
64
Watanuki S. Kim Y.-K. (2005). Physiological responses induced by pleasant stimuli. J. Physiol. Anthropol. Appl. Hum. Sci.24, 135–138. doi: 10.2114/jpa.24.135
65
Xiang Z. Zhao M. Ogbodo U. S. (2020). Accumulation of urban insect pests in China: 50 years’ observations on camphor tree (Cinnamomum camphora). Sustain. For.12:1582. doi: 10.3390/su12041582
66
Xiao S. Yu H. Xie Y. Guo Y. Fan J. Yao W. (2021). Evaluation of the analgesic potential and safety of Cinnamomum camphora chvar. Borneol essential oil. Bioengineered12, 9860–9871. doi: 10.1080/21655979.2021.1996149
67
Xiong X. Jin H. Hu W. Zeng C. Huang Q. Cui X. et al . (2023). Benefits of Jasminum polyanthum’s natural aromas on human emotions and moods. Urban For. Urban Green.86:128010. doi: 10.1016/j.ufug.2023.128010
68
Yerin J. Sungkwan A. Hyangseon R. Jawun C. Seunghee B. (2021). Effects of the essential oils of sweet Orange, lavender and Amyris on EEG activity. Asian J. Beauty Cosmetol.19, 651–664. doi: 10.20402/ajbc.2021.0235
69
Yoshihara K. Hiramoto T. Sudo N. Kubo C. (2011). Profile of mood states and stress-related biochemical indices in long-term yoga practitioners. Biopsychosoc. Med.5:6. doi: 10.1186/1751-0759-5-6
70
Yu C.-P. Weng W. C. Ramanpong J. Wu C. D. Tsai M. J. Spengler J. D. (2022). Physiological and psychological responses to olfactory simulation by Taiwania (Taiwania cryptomerioides) essential oil and the influence of cognitive bias. J. Wood Sci.68:12. doi: 10.1186/s10086-022-02021-w
71
Zhang N. Chen J. Dong W. Yao L. (2022). The effect of copaiba oil odor on anxiety relief in adults under mental workload: a randomized controlled trial. Evid. Based Complement. Alternat. Med.2022, 1–9. doi: 10.1155/2022/3874745
72
Zhang K. H. Song S. (2003). Rural–urban migration and urbanization in China: evidence from time-series and cross-section analyses. China Econ. Rev.14, 386–400. doi: 10.1016/j.chieco.2003.09.018
73
Zhang N. Yao L. (2019). Anxiolytic effect of essential oils and their constituents: a review. J. Agric. Food Chem.67, 13790–13808. doi: 10.1021/acs.jafc.9b00433
74
Zhou H. X. Li Z. H. Fu X. J. Zhang H. (2016). Study on subcritical fluid extraction of essential oil from Cinnamomum camphora and its antibacterial activity. Zhong Yao Cai39, 1357–1360.
75
Zhou Q. Wang J. Wu Q. Chen Z. Wang G. (2021). Seasonal dynamics of VOCs released from Cinnamomun camphora forests and the associated adjuvant therapy for geriatric hypertension. Ind. Crop. Prod.174:114131. doi: 10.1016/j.indcrop.2021.114131
76
Zhou Y. Yan W. (2016). Conservation and applications of camphor tree (Cinnamomum camphora) in China: ethnobotany and genetic resources. Genet. Resour. Crop. Evol.63, 1049–1061. doi: 10.1007/s10722-015-0300-0
Summary
Keywords
Cinnamomum camphora , essential oil, aromatherapy, electroencephalogram, natural therapy
Citation
Gong X, Yang Y, Xu T, Yao D, Lin S and Chang W (2024) Assessing the Anxiolytic and Relaxation Effects of Cinnamomum camphora Essential Oil in University Students: A Comparative Study of EEG, Physiological Measures, and Psychological Responses. Front. Psychol. 15:1423870. doi: 10.3389/fpsyg.2024.1423870
Received
26 April 2024
Accepted
17 July 2024
Published
26 July 2024
Volume
15 - 2024
Edited by
Abdullah Akpinar, Adnan Menderes University, Türkiye
Reviewed by
Zhe-an Shen, Zhejiang University, China
Nan Zhang, Shanghai Jiao Tong University, China
Updates
Copyright
© 2024 Gong, Yang, Xu, Yao, Lin and Chang.
This is an open-access article distributed under the terms of the Creative Commons Attribution License (CC BY). The use, distribution or reproduction in other forums is permitted, provided the original author(s) and the copyright owner(s) are credited and that the original publication in this journal is cited, in accordance with accepted academic practice. No use, distribution or reproduction is permitted which does not comply with these terms.
*Correspondence: Weiyin Chang, 000q821019@fafu.edu.cn
Disclaimer
All claims expressed in this article are solely those of the authors and do not necessarily represent those of their affiliated organizations, or those of the publisher, the editors and the reviewers. Any product that may be evaluated in this article or claim that may be made by its manufacturer is not guaranteed or endorsed by the publisher.