Your new experience awaits. Try the new design now and help us make it even better

ORIGINAL RESEARCH article

Front. Sustain. Food Syst., 04 April 2024

Sec. Crop Biology and Sustainability

Volume 8 - 2024 | https://doi.org/10.3389/fsufs.2024.1352924

This article is part of the Research TopicInnovative Solutions For Next-Generation FertilizersView all 15 articles

Optimising nitrogen use efficiency of prilled urea through integrated use of nano-ZnO and green manuring for better productivity, quality and nutritional status of Basmati rice crop

  • 1Division of Agronomy, Indian Council of Agricultural Research (ICAR)-Indian Agricultural Research Institute, New Delhi, India
  • 2Division of Microbiology, ICAR-Indian Agricultural Research Institute, New Delhi, India
  • 3ICAR-National Academy of Agricultural Research Management, Hyderabad, India
  • 4Division of Natural Resource Management, ICAR-Indian Agricultural Research Institute, Dhemaji, India

In agricultural systems, significant nitrogen (N) losses from traditional fertilizers pose risks to food security and economic stability. An emerging approach to mitigate these losses involves nanoparticles (NPs) coatings onto urea, aiming to enhance N availability and consequently boost crop yields. To explore the most effective and sustainable N management strategies, a field experiment was carried out in Basmati rice at the ICAR-Indian Agricultural Research Institute, New Delhi, India over 2020–2021 in a split-plot design, with two summer green manure (GM) types-Sesbania (G2) and cowpea (G3) and fallow in the main plot and six nitrogen fertilization (NF) modules, i.e., 0 kg N + 5 kg Zn ha−1 through bulk ZnO (N1), N through prilled urea (PU) (N2), N through PU + 5 kg Zn ha−1 through bulk ZnO (N3), 1% bulk ZnO-coated urea (1% BZnCU) (N4), 0.1% nano ZnO-coated urea (0.1% NZnCU) (N5) and 0.2% nano ZnO-coated urea (0.2% NZnCU) (N6) in subplots replicated three times. The objectives of the study was to identify the optimal GM crops and the most effective NF modules on enhancing plant height, dry biomass, grain yield, milling quality, and N, P, K nutrition, as well as nitrogen use efficiency (NUE). Our findings demonstrated that, a significant enhancement in plant height (13.34%) and dry biomass (38.1%) at harvest was observed with the combined application of G2 and N6 when juxtaposed against G1 and N1. The pooled analysis revealed that GM enhanced grain yield by 12.75% in comparison to G1, irrespective of the NF modules employed. The Sesbania was identified as the top-performing GM, registering a yield 17.5% greater than fallow while it was 8.13% for cowpea. Among NF modules, there was a noted 10.03% yield increase when urea was zinc-coated compared to using only urea (N2), and a 33.75% increase against the N1. The application of N6 modules boosted hulling, milling, and head rice recovery by 3.73, 4.45, and 4.98%, respectively, compared to N1. Moreover, combining zinc with urea raised the N content in milled rice by approximately 9.1% and heightened the N, P, and K concentration in the straw by 22.8, 4.44, and 11.8%, and total N, P, and K uptake by 5.72, 3.33, and 11.7%, in comparison to the combined effect of N1 and N2. Considering the NUE metrics, such as partial factor productivity (PFP), agronomic efficiency (AE), recovery efficiency (RE), and physiological efficiency (PE), the application of GM showcased superior performance in PFP and RE against the G1, while AE and PE remained unaffected. The G2 as a GM, performed best in PFP and RE. The N5 module delineated the most substantial advancements in NUE indices, despite being comparable to N6. In conclusion, the adoption of Sesbania as a green manure crops, coupled with the 0.2% nano ZnO-coated urea module, is identified as an efficient method for maximizing growth, yield, milling attributes, nutrient assimilation, and overall NUE in the Basmati rice.

1 Introduction

To meet the food demands of a projected global population nearing 9.7 billion, a considerable 119% increase in edible crop production is anticipated. Essential macronutrients such as nitrogen (N), phosphorus (P), and potassium (K) are fundamental to plant growth, with nitrogen being most crucial. However, insufficient N levels impede plant growth and productivity. Notably, synthetic N fertilizer, primarily urea, is instrumental in half of the global food production, witnessing a significant surge in usage over recent decades (Beig et al., 2020). However, a substantial N from urea is lost, posing environmental and economic challenges. This inefficiency in N utilization jeopardizes crop development and yields, potentially heightening the risks of food insecurity. Hence, an urgent call for efficient N management strategies echoes, aiming to bolster nitrogen use efficiency (NUE) and overall crop quality and yield (Prasad and Hobbs, 2018). Innovative strategies, such as controlled-release fertilizers, have surfaced as promising alternatives (Hou et al., 2019; Sun et al., 2020; Qiong et al., 2021; Liu et al., 2023). The integration of organic and inorganic nutrients, with an emphasis on green manure (GM), has been spotlighted within sustainable agricultural practices, enhancing the availability and efficiency of essential nutrients. The inclusion of critical micronutrients, specifically zinc (Zn), in nitrogenous fertilizers emerges as a beneficial strategy to enhance NUE. Zn holds a significant place in plant nutrition, with its deficiency notably affecting rice production across various Asian regions, causing a decline in yields (Farooq et al., 2018; Zulfiqar et al., 2021; Kandil et al., 2022; Khampuang et al., 2022). Considering rice’s substantial contribution to global dietary energy and protein, and with a particular nod to India’s remarkable US $ 3.54 billion revenue from Basmati rice exports in 2021–2022 (APEDA, 2023), an efficient management of N and Zn becomes essential to sustain and optimize Basmati rice productivity.

The type of Zn introduced to the plant environment can markedly influence plant responses. ZnO nanoparticles (NPs) are particularly notable due to their enhanced reactivity, attributed to their nano size, which facilitates improved nutrient delivery (Baral et al., 2019, 2020; Al-Khayri et al., 2023). These NPs swiftly dissolve into ions in soil systems, potentially enabling the reduction of nutrient application rates without diminishing yields, thereby promoting cost-efficiency and a minimized environmental impact (Sadhukhan et al., 2021; Akhtar et al., 2022; Nongbet et al., 2022; Kumar et al., 2023; Yadav et al., 2023). Earlier findings suggest that ZnO NPs contribute to improved nutrient uptake and yields in rice compared to traditional approaches (Adhikary et al., 2022; Sheikhnazari et al., 2023). Furthermore, a study by Yang et al. (2021) demonstrated that ZnO NPs could enrich rice with elevated levels of essential nutrients such as N, P, and K. However, the practical application of NPs in field crop production presents challenges, mainly due to the complexities involved in administering smaller doses effectively. In this context, the concept of nano-coating on conventional fertilizers, like urea, has emerged as a promising solution, leading to the creation of ‘nano-enabled fertilizers’ (Dimkpa and Bindraban, 2018). This strategy is perceived as a practical advancement for efficient nutrient delivery to crops (Shivay et al., 2019). Specifically, zinc-coated urea has been identified as a potent nutrient source, catering to the essential growth requirements of plants and promoting enhanced NUE (Shivay et al., 2019; Beig et al., 2022).

Despite existing research, a comprehensive understanding of how ZnO NPs coated urea influences plant performance, especially within the context of Basmati rice cultivation, remains to be fully explored. Hence, the investigation was motivated by various research gaps, including enquiries into the potential of nano zinc to improve Basmati rice growth, quality, and yield at a lower rate, serving as a feasible substitute for bulk Zn fertilizer in the Northwestern Indo-Gangetic Plains (NW IGP) of India. Additionally, the study sought to determine whether the nitrogen use efficiency of Basmati rice could be improved through the simultaneous application of nano zinc and urea. Another focus was on identifying the optimal rate of nano zinc and determining which green manuring options would establish the most effective and agronomically efficient strategy for nitrogen management. These questions formed the basis for the experimental design and exploration within the research framework. Thus, this study hypothesizes a potential synergistic interaction between nano-zinc and green manure, aiming to elucidate their collective impact on Basmati rice with the following objective, e.g., to evaluate the performance of different green manure sources and ZnO-NPs on Basmati rice yield, quality, nutrient uptake and NUE.

2 Materials and methods

2.1 Study area and soil analysis

Over two consecutive years, research was conducted at the ICAR-Indian Agricultural Research Institute in New Delhi, India. These studies took place during 2020–2021 on sandy clay-loam soil. Initial soil tests showed the presence of 171 kg ha−1 of alkaline permanganate oxidizable N (Subbiah and Asija, 1956), 15.9 kg ha−1 of available P (Olsen et al., 1954), 309 kg ha−1 of exchangeable K (Hanway and Heidel, 1952), an organic carbon content of 0.65%, Zn content of 0.67 mg kg−1 (DTPA extractable) and pH of 7.68 (soil: water) (Prasad et al., 2006). The weather parameters observed during the crop growth period has been provided in Supplementary Table S2.

2.2 Details of experimental treatment

In the conducted experiment, diverse treatments were applied to evaluate their effects, categorized into two main segments: green manuring (GM) in the main plot and nitrogen fertilization (NF) modules in subplots. For the GM, three strategies were implemented. The control/fallow group (G1) had no green manuring. In the Sesbania (Sesbania aculeata) treatment (G2), the plant was integrated into the soil 45 days post-sowing. Similarly, in the Cowpea (Vigna unguiculata) treatment (G3), incorporation into the soil was done at 45 days after sowing. The addition of Sesbania (G2) and cowpea (G3) green manures resulted in the incorporation of dry biomass at around 5.2 and 3.43 t ha−1, and 4.98 and 3.24 t ha−1 during the first and second years of the investigation, respectively. In the subplot consisting of NF modules, varied fertilization strategies were applied. Module N1 involved the application of 5 kg Zn ha−1 through bulk ZnO. For N2, nitrogen was administered at a rate of 120 kg N ha−1 through prilled urea (PU). Module N3 combined 120 kg N ha−1 of nitrogen through PU and 5 kg Zn ha−1 through bulk ZnO. In module N4 (1% bulk ZnO-coated urea) (1% BZnCU); N was applied at a rate of 120 kg N ha−1 as PU, in conjunction with 2.08 kg Zn ha−1 as bulk ZnO. Module N5 entailed the application of 0.1% nano ZnO-coated urea (0.1% NZnCU) with N at 120 kg N ha−1 as PU, supplemented by 0.208 kg Zn ha−1 as nano ZnO. Lastly, module N6 comprised of 0.2% nano ZnO-coated urea (0.2% NZnCU) at an N rate of 120 kg N ha−1 as PU, alongside 0.416 kg Zn ha−1 as nano ZnO. The urea used in our experiment was obtained from KRIBHCO, Noida, India. We obtained both nano and bulk ZnO for our experiment from Sigma Aldrich, Mumbai, India. To characterize the particles, both forms underwent particle size analysis using the Zetatrac particle size analyzer, utilizing Dynamic Light Scattering (DLS). The analysis indicated that 95% of the nano ZnO particles have a diameter of less than 74 nm, confirming their nanoscale dimensions. In contrast, the bulk ZnO has dimensions exceeding 100 nm, with a diameter less than 3,430 nm.

2.3 Coating protocol

In a controlled lab setting, both nano-structured ZnO and bulk ZnO were added to PU. A mixture of water and gum-acacia, in a 1:1 ratio, was used as the adhesive. This natural binder is derived from the Acacia tree. The urea coating was carried out in parts using a hand-operated rotary device for seed treatment. Initially, a specific volume of PU was added to the drum. Then, the gum-acacia solution was introduced, and the drum was rotated for 15 min to ensure the urea granules were uniformly coated with the adhesive (Pooniya et al., 2018; Shivay et al., 2019). Following this, the designated amount of ZnO was added, and the contents were mixed for another 15 min. The zinc-coated urea was spread on plastic trays and dried at room temperature (around 25 ± 5°C) with air circulation systems. It’s worth noting that the volume of gum-acacia used remained the same as in the zinc-coated urea process. This urea coating process was typically done 3–4 days before being used in the field.

2.4 Crop management

The GM crops, aged 45 days, were mixed into the experimental field according to specific treatment needs using a tractor-operated disc harrow. The field was heavily irrigated with 10 cm of water before incorporating the GM crops. During the last puddling round, P and K were added in the form of single superphosphate (26 kg P ha−1) and muriate of potash (33 kg K ha−1), respectively. The N was applied in Basmati rice using PU and zinc-coated urea, into three parts. One-third of the N was used initially, another one-third at the 50% tillering phase, and the last portion at the panicle initiation phase. The variety used was “Pusa Basmati 6” with plant geometry being 20 cm × 10 cm.

2.5 Determination of plant height, dry matter, grain yield and milling quality

The height of Basmati rice was recorded every 30 days up to the harvest using a standard meter stick, marking the distance from the plant’s base to the topmost leaf in centimeters. Dry matter accumulation was tracked on five distinct hills at the 30 days interval up to the harvest. After air drying, these samples were placed in a hot air oven at 60 ± 2°C until they reached a steady weight. Measurements were taken with a dry weight scale and noted in g per hill. For computation of grain yield, rice harvested from each plot (each subplot had a size of 17.5m2) was sun-dried and weighed. To calculate the hulling percentage, 100 g samples of sun-dried paddy from each plot were processed through a miniature “Satake Rice Mill,” and the weight of the resulting brown rice was recorded (Satake, 1990). The hulling percentage was calculated using the weight of the brown rice relative to the weight of the rough rice, multiplied by 100. The milling percentage was determined by weighing the polished rice and using it along with the weight of the rough rice in a calculation, multiplied by 100. Head rice recovery was calculated by using the weight of the whole milled rice relative to the weight of the rough rice, and the results were expressed as a percentage.

2.6 Plant nutrient analysis

Basmati rice plant samples, including grain and straw, were thoroughly dried in a hot air oven at a specific temperature range (60°C ± 2°C) until they reached a constant dry weight. For N analysis, a 0.5 g ground sample was mixed with a combination of concentrated sulphuric acid and other chemicals including CuSO4, K2SO4, selenium powder, and mercury oxide. After a day, a white hue indicated digestion was complete. This solution was then diluted to 100 mL with water. Using Kjeldahl’s method (Piper, 1966), the samples were distilled, and their N content was determined by titration with a standard sulfuric acid solution, while also using a blank for reference. The N content was then represented as a percentage. For P analysis, plant samples were digested using a mixture of HNO3 and HClO4. The P content was then determined using the vanado-molybdo-phosphoric acid yellow colour method in a nitric acid medium, as described by Piper (1966). This was measured spectrophotometrically at a wavelength of 470 nm to get the exact percentage. For K analysis, the previously digested samples were used. A flame photometer was used to measure the K content in the plant material. Finally, the uptake values of N, P, and K (kg ha−1) were calculated by multiplying the yield of grain and straw (in kg ha−1) with their respective nutrient concentrations (%).

2.7 Estimation of NUE

The efficiency of N applied through GM and NF modules was evaluated using NUE indices including partial factor productivity (PFP), agronomic efficiency (AE), recovery efficiency (RE), and physiological efficiency (PE). These metrics were determined based on the methods suggested by Fageria and Baligar (2003):

PFP=Yf/Na
AE=YfYc/Na
RE=NUfNUc/Na×100
PE=YfYc/NUfNUc

In the formulas utilized, Yf and Yc symbolize the yields (kg ha−1) in plots with and without fertilization, respectively. NUf and NUc indicate the N uptake by the Basmati rice in plots fertilized with NF modules (excluding N1)/GM (G2 & G3) and the control plots (G1/N1), respectively. The Na represents the quantity of nitrogen applied (kg ha−1).

2.8 Statistical computation

Data collected over 2 years was consolidated and analyzed collectively, with the average values being reported. The statistical analysis was conducted using R (version 4.2.2) along with R-Studio (version 2022.12.0 + 353), leveraging the “agricolae” package (de Mendiburu, 2019). A 5% significance level was used to assess the statistical differences among various treatment groups. Additionally, Duncan’s Multiple Range Test (DMRT) was utilized in post-hoc analysis to classify the means of the treatment groups, as per the methodology of Gomez and Gomez (1984).

3 Results

3.1 Plant height and dry matter accumulation

The findings from the current study revealed a significant interaction between GM crops and NF modules in influencing the growth phases of Basmati rice, as shown in Figures 1, 2. Specifically, combining Sesbania (G2) with 1% BZnCU (N4) considerably increased the plant height throughout its growth stages, outperforming the results achieved with G3 using the same zinc treatment (Figure 1). Over a two-year period, combining G2 with 0.2% NZnCU (N6) resulted in a 13.34% rise in the plant height at harvest compared to fallow fields treated with 5 kg Zn ha−1 in the form of bulk ZnO. Similarly, when G3 was combined with N6, there was an 18.75% increase in height at harvest in comparison to fallow fields with the aforementioned Zn treatment. When it comes to dry matter accumulation, G2 paired with N6 boosted it by 38.1% versus fallow fields with N1 (Figure 2). Conversely, the integration of G3 and N6 increased dry matter by 28.21%. Notably, the conjunctive use of G2 with N6 closely mirrored the effectiveness of G2 with N4 in both in plant height and dry matter.

Figure 1
www.frontiersin.org

Figure 1. (A–D) Interaction effect of green manuring (GM) and N fertilization modules (NF) on the plant height (cm) of Basmati rice (pooled data of 2 years). Bar of same letter(s) do not differ significantly at 5% probability level by DMRT. DAT, days after transplanting.

Figure 2
www.frontiersin.org

Figure 2. (A–D) Interaction effect of green manuring (GM) and N fertilization modules (NF) on the dry matter accumulation (g hill−1) of Basmati rice (pooled data of 2 years). Bar of same letter(s) do not differ significantly at 5% probability level by DMRT. DAT, days after transplanting.

3.2 Grain yield

The green manure crops and nitrogen fertilization modules had a significant effect on the grain yield of Basmati rice as evident from Table 1. The pooled data from 2 years revealed that GM led to a 12.75% improvement in grain yield versus fallow fields, regardless of the type of NF modules. Sesbania (G2) stood out as the superior GM crop, outdoing cowpea (G1), as shown in Table 1. According to the pooled data, rice grain yield increased by 17.5% when G2 was used as GM, in contrast to a fallow field (G1). Meanwhile, utilizing G3 as GM saw an 8.13% increment in grain yield when compared to G1. The NF modules also had a notable impact on grain yield. When zinc was coated with urea, the yield surged by 10.03% versus using only urea and by 33.75% against the N1, as depicted in Table 1. Among all NF modules, N4 emerged as the most potent, though its results were closely matched by N6, with both outpacing other NF modules.

Table 1
www.frontiersin.org

Table 1. Effect of green manuring (GM) and N fertilization modules (NF) on productivity and milling attributes of Basmati rice (pooled data of 2 years).

3.3 Milling quality

Over the 2 years, the pooled data (Table 2) indicated that the mean rates of hulling, milling, and head rice recovery were 75.85, 65.55, and 56%, respectively. While the GM did not show a significant influence on these recovery rates in Basmati rice, NF modules showcased a remarkable positive effect. Specifically, the N4 module emerged as the most beneficial, delivering results that were akin to those obtained using N6. The pooled data revealed that utilizing N4 enhanced the hulling, milling, and head rice recovery rates by 4.67, 5.57, and 6.43%, respectively, in comparison to the control group. In contrast, applying the N6 module improved these rates by 3.73, 4.45, and 4.98% relative to N1. Additionally, the conjoint use of GM with NF modules had a significant impact in elevating the recovery rates (Figure 3).

Table 2
www.frontiersin.org

Table 2. Effect of green manuring (GM) and N fertilization modules (NF) on N uptake by Basmati rice (pooled data of 2 years).

Table 3
www.frontiersin.org

Table 3. Effect of green manuring (GM) and N fertilization modules (NF) on P uptake by Basmati rice (pooled data of 2 years).

Figure 3
www.frontiersin.org

Figure 3. (A–C) Interaction effect of green manuring (GM) and N fertilization modules (NF) on hulling (%), milling (%) and head rice recovery (%) of Basmati rice (pooled data of 2 years). Bar of same letter(s) do not differ significantly at 5% probability level by DMRT.

3.4 Nutrient content and uptake

The Tables 24 and Figures 46 detail the experimental results exploring the influence of GM and NF modules on the N, P, and K contents in various Basmati rice components such as husk, bran, milled grain, and straw. Both GM and NF modules considerably affected the nutrient concentrations. Utilizing G2 residue as a GM yielded the highest concentrations of N, P, and K across the different parts of rice and straw surpassing G3 and G1, with G2 proving to be exceptionally effective among the examined GM crops. The NF modules also had a considerable impact. Moreover, the combined application of zinc and urea significantly enhanced the N, P, and K contents in the rice grain and straw compared to applying N2 or N1. Specifically, the combination of zinc along with urea application improved N content in milled rice by around 9.1% and increased the N, P, and K contents in the straw by 22.8, 4.44, and 11.8%, respectively, when compared to non-zinc coating urea or N1. Conversely, a higher zinc application saw a minor reduction in P content in both grain and straw (Figure 5). Among the NF modules, N4 was particularly effective, closely trailed by N6 in improving N, P, and K contents in various parts of the rice. Figures 6, 7 showed that both GM and NF significantly affected Basmati rice’s total N, P, and K uptake over 2 years. The G2 residue’s integration into the soil resulted in the highest total absorption of N, P, and K by the rice, superior to G3 and G1. The NF modules also played a pivotal role, where their combination with urea significantly elevated the total N, P, and K absorbed by the rice by 5.72, 3.33, and 11.7%, respectively, compared to N2. Regarding the NF modules, the N4 application was most successful in maximizing Basmati rice’s overall N, P, and K contents closely followed by N6, both proving more efficient than other NF modules.

Table 4
www.frontiersin.org

Table 4. Effect of green manuring (GM) and N fertilization modules (NF) on K uptake by Basmati rice (pooled data of 2 years).

Figure 4
www.frontiersin.org

Figure 4. (A) Effect of green manuring (GM) on the N content of Basmati rice (pooled data of 2 years). (B) Effect of N fertilization modules (NF) on the N content of Basmati rice (pooled data of 2 years). Boxplot of same letter(s) do not differ significantly at 5% probability level by DMRT.

Figure 5
www.frontiersin.org

Figure 5. (A) Effect of green manuring (GM) and N fertilization modules (NF) on the K content of Basmati rice (pooled data of 2 years). (B) Effect of green manuring (GM) and N fertilization modules (NF) on the total K uptake of Basmati rice (pooled data of 2 years). Boxplot of same letter(s) do not differ significantly at 5% probability level by DMRT.

Figure 6
www.frontiersin.org

Figure 6. (A) Effect of green manuring (GM) on the P content of Basmati rice (pooled data of 2 years). (B) Effect of N fertilization modules (NF) on the P content of Basmati rice (pooled data of 2 years). Boxplot of same letter(s) do not differ significantly at 5% probability level by DMRT.

Figure 7
www.frontiersin.org

Figure 7. Effect of green manuring (GM) and N fertilization modules (NF) on the total N and P uptake of Basmati rice (pooled data of 2 years). Boxplot of same letter(s) do not differ significantly at 5% probability level by DMRT.

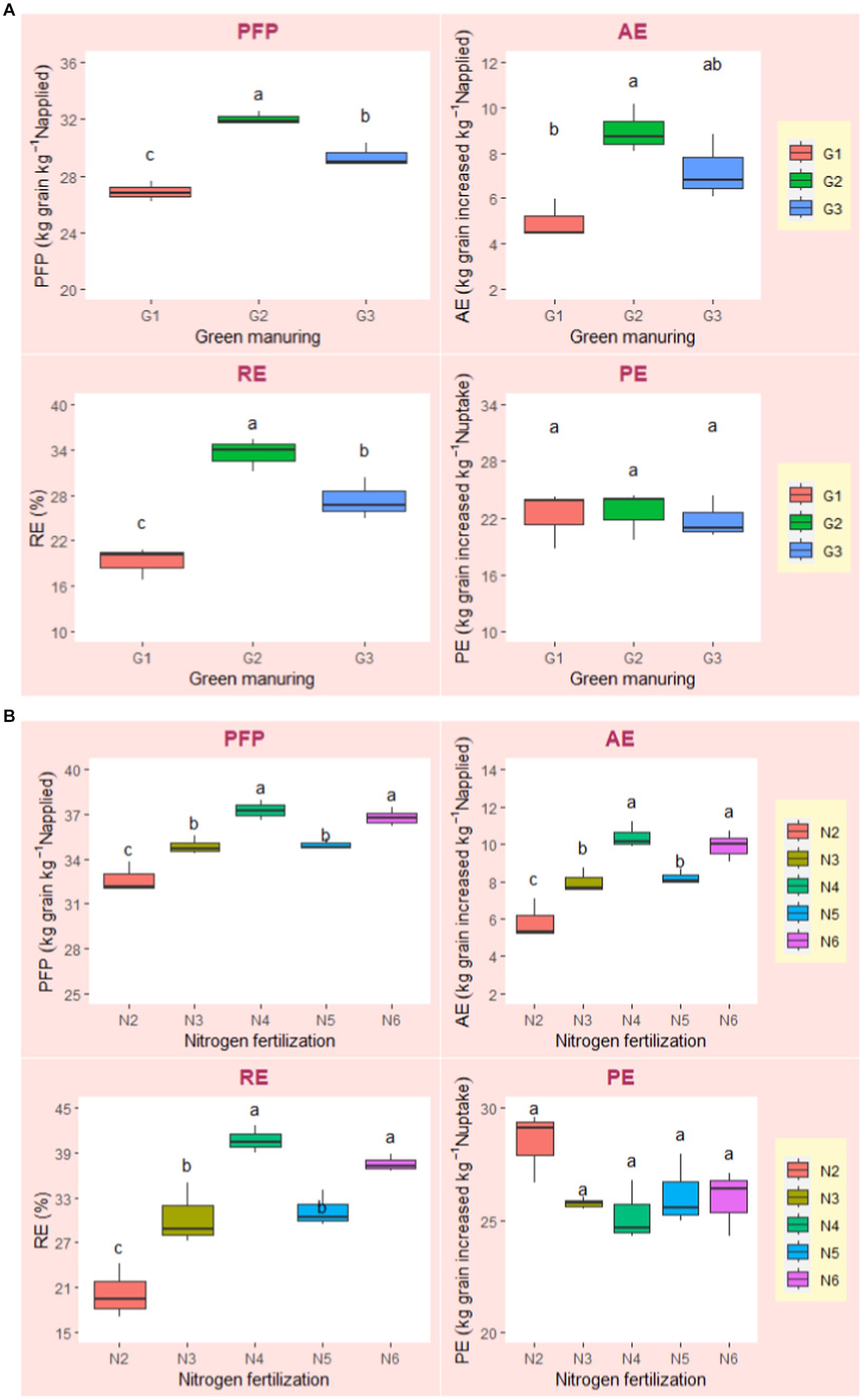
3.5 Nitrogen use efficiency

The data from Figure 8 demonstrate that using GM and NF modules significantly affects the Basmati rice’s partial factor productivity (PFP), agronomic efficiency (AE), recovery efficiency (RE), and physiological efficiency (PE). Over a 2 years study, regardless of the specific type of GM or NF modules, the PFP was found to be 29.4 kg of grain kg−1 N, AE was 7.06 kg of grain increase kg−1 N applied, RE was 26.67%, and PE was 22.21 kg of grain increase kg−1 N uptake. The GM proved to be more effective than G1 in enhancing PFP and RE. The incorporation of Sesbania as a green manure improved the PFP and RE to 32 and 34%, respectively. In contrast, for cowpea, these values were 29% for PFP and 27% for RE. On the other hand, fallow land exhibited PFP and RE value of 26 and 19%, respectively. However, there was no significant difference observed in AE, and PE over two years. Out of the GM used, G2 performed better than G3 in terms of PFP and RE. The NF modules also played a pivotal role in determining the aforementioned parameters. The application of 1% BZnCU proved to be successful in significantly enhancing nitrogen use efficiency (NUE), increasing it from 20 to 40%. This improvement in NUE was statistically comparable with the application of 0.2% NZnCU.

Figure 8
www.frontiersin.org

Figure 8. (A) Effect of green manuring (GM) on the NUE indices of Basmati rice (pooled data of 2 years). (B) Effect of N fertilization modules (NF) on the NUE indices of Basmati rice (pooled data of 2 years). Boxplot of same letter(s) do not differ significantly at 5% probability level by DMRT.

4 Discussion

4.1 Plant height and dry matter accumulation

A noticeable interaction effect has been observed between GM and NF modules, influencing the plant height and dry matter accumulation in Basmati rice. The implementation of GM aids synchronized release of nutrients through decomposition, facilitating augmented growth in rice, as substantiated by Meena et al. (2018). Conforming to these findings, our observations elucidate that GM improved parameters such as plant height and dry biomass. Leguminous GM plays a pivotal role in the atmospheric nitrogen fixation process, enriching soil N content and thereby enhanced crop growth. Beyond N, the decomposition of these green manure recycles other nutrients like P and K fostering soil health. Additionally, GM facilitates better root architectures and optimization of nutrient uptake mechanisms (Mandal and Pal, 2009). The incorporation of GM before the Basmati rice is instrumental in improving the organic matter content in the soil. The application of Zn, in combination with N leads to synergistic interplay with the prevailing organic matter, mitigating tendencies of zinc fixation. The application of 0.2% nano zinc oxide coated urea outperformed the 0.1% counterpart in terms of growth parameters. Moreover, the application of ZnO NPs in conjunction with prilled urea (N5/N6) has emerged as a superior strategy, surpassing the performance of conventional bulk ZnO coatings. This elevation in growth is attributed to the enhanced solubility kinetics of NPs in aqueous mediums (Zhang et al., 2021; Prakash et al., 2022), resonating with the earlier insights by Shivay et al. (2008). The integration of both organic and inorganic fertilization strategies, as underscored by Mangaraj et al. (2022), has been manifested as a sustainable approach towards enhancing rice crop growth.

4.2 Grain yield

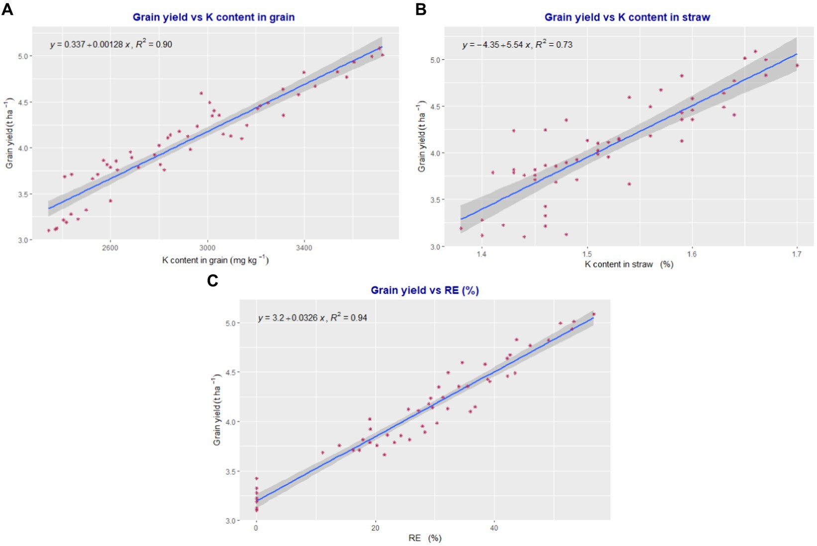
The incorporation of GM contributed a substantial amount of N, P, and K (Supplementary Table S1). A consistent nutrient release from organic sources like GM perpetuates throughout the crop’s developmental stages, enhancing accessibility to essential nutrients and contributing to improved fertile tillers production and subsequently increased yield. Selvi and Kalpana (2009) supported these results, finding similar efficacy between GM with cowpea and Dhiancha and the use of conventional fertilizers in increasing the grain yield of transplanted rice. The present study underscores the effectiveness of Zn and N supplementation in improving crop yields (Figure 9). Applying Zn, particularly in the form of ZnO NPs, has been shown to increase grain yields (Hussain et al., 2018; Bala et al., 2019; Elshayb et al., 2021; Yang et al., 2021; Zhang et al., 2021; Parashar et al., 2023). This could be due to crucial role of Zn in enhancing pollination and fertilization, minimizing the likelihood of grain sterility (Khan and Siddiqui, 2020). Additionally, Zn is crucial in increasing biomass (Pooniya et al., 2012), aiding in the effective transfer of photosynthates to the reproductive parts of crops. This study reveals that yields improved due to better availability of N (Figure 10), P (Figure 11), and K (Figures 6, 10) when using nano-zinc coated urea, surpassing the conventional forms of zinc. The application of 0.2% nano zinc oxide coated urea outperformed the 0.1% counterpart with respect to grain yield. This improvement is attributed to Zn’s essential function as an enzyme cofactor and the advantageous properties of ZnO NPs, such as smaller size and increased solubility and diffusion, ensuring its optimal availability in the soil. Du et al. (2019) also found that Zn application enhances N absorption in rice, subsequently boosting biomass and yield.

Figure 9
www.frontiersin.org

Figure 9. (A) Regression between grain yield and N content in husk. (B) Regression between grain yield and N content in bran. (C) Regression between grain yield and N content in milled rice. (D) Regression between grain yield and N content in straw.

Figure 10
www.frontiersin.org

Figure 10. (A) Regression between grain yield and K content in grain. (B) Regression between grain yield and K content in straw. (C) Regression between grain yield and recovery efficiency of N.

Figure 11
www.frontiersin.org

Figure 11. (A) Regression between grain yield and P content in husk. (B) Regression between grain yield and P content in bran. (C) Regression between grain yield and P content in milled rice. (D) Regression between grain yield and P content in straw.

4.3 Milling quality

Recent research by Aulakh et al. (2016) has shown that N management can enhance the quality of Basmati rice. Specifically, the use of G2 in treatments led to the highest hulling and milling percentages and improved head rice recovery. Similarly, Pooniya and Shivay (2015) found that using Sesbania as GM boosted several Basmati rice quality indicators, including those aforementioned. The utilization of 0.2% NZnCU resulted in notable enhancements in hulling, milling, and head rice recovery, demonstrating improvements of 3.73, 4.45, and 4.98%, respectively, when compared to the soil application of 5 kg Zn ha−1. These findings strongly suggest that the application of ZnO NPs had a substantial and positive influence on the overall milling quality. Achieving high Basmati rice yields with substantial N content necessitates a consistent N supply, as pointed out by Naik and Das (2007). Proper N fertilization can enhance N absorption in rice, thereby activating nitrate reductase, leading to better N distribution in the grains, as noted by Zhu et al. (2022).

4.4 Nutrient content and uptake

In our experiment, we observed that green manured Basmati rice was found to contain higher N, P and K content in the grain and straw than fallow. Likewise, we noticed that N, P, and K content and uptake was more prominent in Basmati rice with G2/G3 than in G1. The higher nutrient content and uptake could be attributed to increased grain yield in the GM-treated plots. In fact, Basmati rice with G2 as GM displayed superior grain yield, N, P, and K uptake. This is likely because G2 supplied the soil with more N, P, and K, as shown in Supplementary Table S1. Compared to cowpea; Sesbania resulted in richer N, P, and K profiles in Basmati rice grain and straw. The GM crops, as Meena et al. (2018) highlighted can enhance soil qualities and nutrient availability. Using ZnO NPs notably increased the content and uptake of N, P, and K over the N1/N2. Zn coatings have been found to enhance the uptake of essential nutrients like N, P, and K in rice, as observed by Panhwar et al. (2015). This improvement can be linked to the positive effects of nano zinc-coated urea on rice growth, leading to increased biomass and subsequent higher N, P, and K uptake. The efficiency of zinc-treated urea is enhanced with greater nano ZnO dosages, consistent with Beig et al. (2023) findings. However, we noticed a reduction in the grain P content when Zn was applied. The minor reductions in P content in both grain and straw, along with the overall uptake of P with elevated Zn levels, could be due to the antagonistic interaction between Zn and P, as pointed out by Ghoneim (2016). Further, it might be due to decreased movement of P from the roots to the shoots and an imbalanced ratio of P-to-Zn in the plant, referred to as the dilution effect (Lonergan et al., 2009). This lowering of P content is also consistent with the findings by Fageria et al. (2011), who noted Zn’s antagonistic effect on P absorption due to the probable formation of zinc phosphate, restricting the uptake of P from the cultivated soil. Similar observations were made in rice plants treated with ZnO NPs, displaying considerable inhibition of P accumulation (Bala et al., 2019; Elshayb et al., 2021). Conversely, our data showed that K uptake in both grain and straw increased significantly with the use of ZnO NPs. This enhancement is likely due to the synergistic interaction between Zn and K, facilitating increased availability and movement of K from the roots and shoots to other parts of the plant (Kumar et al., 2016).

4.5 Nitrogen use efficiency

The green manuring practices are known to enhance nitrogen use efficiency (Meng et al., 2019; Bhardwaj et al., 2023). Incorporating GM significantly augmented soil N content, which, upon decomposition, elevated N absorption, as evidenced in Table 2 and Figure 2. Nano ZnO’s addition fosters beneficial microbial growth, increasing the mobility of essential nutrients and thus promoting improved crop growth. This is substantiated by the higher N uptake by rice tissue with the application of nano-ZnO as compared to bulk ZnO. This could be attributed to several mechanisms. First, ZnO NPs boost the availability of essential nutrients like N soil due to enhanced microbial activity in the rhizosphere and stimulation of soil enzymes such as urease (Raliya et al., 2017). Secondly, ZnO NPs foster root growth, likely due to elevated indole acetic acid production, facilitating better nutrient absorption (Adhikari et al., 2015). Moreover, the application of ZnO NPs has been seen to augment the plant’s sink capacity, thereby increasing overall biomass and nutrient accumulation in rice plants (Chen et al., 2020). Interestingly, a reverse relationship was observed between the applied Zn amounts and NUE metrics, such as PFP, AE, and RE. the application of 0.2% nano zinc oxide coated urea outperformed the 0.1% counterpart in terms of NUE. Further, nano ZnO-coated urea outperformed traditional bulk ZnO due to its enhanced adsorption, translocation, and gradual release (Zulfiqar et al., 2020). In our study, a prominent positive correlation was noted between N and Zn concentrations in grain (Figure 12). Zn plays a crucial role in aiding N absorption and translocation in rice. The study elucidated the impact of Zn and N synergism, emphasizing the elevation in N uptake due to Zn nutrition, thereby enhancing NUE. Notably, the application of NZnCU (N5/N6) showcased an increase in grain yield and augmented N in both grain and straw, contributing to the enhancement of NUE indices. Further, the use of coated urea is also advantageous due to its capability to slow down urea hydrolysis, minimizing losses and ensuring adequate N availability for crops culminating in better NUE (Yaseen et al., 2021).

Figure 12
www.frontiersin.org

Figure 12. Correlation matrix depicting correlation co-efficient (upper half), density plot (diagonal) and scatter plot (lower half). GY, grain yield; HN, husk N content (%); BN, bran N content (%); MN, milled rice N content (%); SN, straw N content (%); HP, husk P content (mg kg−1); BP, bran P content (mg kg−1); MP, milled rice P content (mg kg−1); SP, straw P content (mg kg−1); GK, grain K content (mg kg−1); SK, straw K content (%); RE, recovery efficiency of N (%) *Significant at p = 0.05; **Significant at p = 0.01; ***Significant at p = 0.001.

5 Conclusion

The utilization of Sesbania as a green manure prior to transplanting had a significant positive impact on various aspects of Basmati rice, including plant height, dry matter, productivity, and milling qualities. This beneficial influence was further improved when Sesbania was combined with 0.2% nano ZnO coated urea. Our study on Basmati rice strongly suggests that the combination of nano ZnO coated urea is effective in promoting the transport of essential macronutrients, specifically N, P and K into the edible tissue. Notably, the yield response of Basmati rice treated with 0.2% nano ZnO coated urea was comparable to those treated with the conventional fertilization approach, i.e., 1% bulk ZnO coated urea, even with a 20% reduction in zinc application. The successful delivery of optimal macronutrients, particularly nitrogen, to plants through agronomic techniques like summer green manuring and nano zinc oxide coated urea, along with the efficient translocation of these nutrients into the edible grain portions, as demonstrated in our research, shows significant promise in addressing the prevalent nitrogen deficiency in plants. Long term studies are essential to gain a thorough understanding of efficacy of green manure and nano ZnO across various agro-ecology, farming, and cropping systems and fully assessing the long term sustainability of this novel strategy.

Data availability statement

The original contributions presented in the study are included in the article/Supplementary material, further inquiries can be directed to the corresponding author.

Author contributions

KB: Investigation, Data curation, Formal analysis, Methodology, Software, Writing – original draft. YS: Conceptualization, Funding acquisition, Investigation, Supervision, Writing – review & editing. RP: Supervision, Writing – review & editing. DK: Data curation, Supervision, Writing – review & editing. CS: Software, Writing – review & editing. SM: Data curation, Software, Writing – review & editing. SN: Data curation, Software, Writing – review & editing. KR: Data curation, Formal analysis, Software, Writing – review & editing.

Funding

The author(s) declare that no financial support was received for the research, authorship, and/or publication of this article.

Acknowledgments

The authors acknowledge the ICAR-Indian Agricultural Research Institute and the Indian Council of Agricultural Research, New Delhi, India for the financial support and necessary facilities.

Conflict of interest

The authors declare that the research was conducted in the absence of any commercial or financial relationships that could be construed as a potential conflict of interest.

Publisher’s note

All claims expressed in this article are solely those of the authors and do not necessarily represent those of their affiliated organizations, or those of the publisher, the editors and the reviewers. Any product that may be evaluated in this article, or claim that may be made by its manufacturer, is not guaranteed or endorsed by the publisher.

Supplementary material

The Supplementary material for this article can be found online at: https://www.frontiersin.org/articles/10.3389/fsufs.2024.1352924/full#supplementary-material

References

Adhikari, T., Kundu, S., Biswas, A. K., Tarafdar, J. C., and Subba Rao, A. (2015). Characterization of zinc oxide nano particles and their effect on growth of maize (Zea mays L.) plant. J. Plant Nutr. 38, 1505–1515. doi: 10.1080/01904167.2014.992536

Crossref Full Text | Google Scholar

Adhikary, S., Biswas, B., Chakraborty, D., Timsina, J., Pal, S., Tarafdar, J. C., et al. (2022). Seed priming with selenium and zinc nanoparticles modifies germination, growth, and yield of direct-seeded rice (Oryza sativa L.). Sci. Rep. 12:7103. doi: 10.1038/s41598-022-11307-4

PubMed Abstract | Crossref Full Text | Google Scholar

Akhtar, N., Ilyas, N., Meraj, T. A., Pour-Aboughadareh, A., Sayyed, R. Z., Mashwani, Z. U. R., et al. (2022). Improvement of plant responses by nanobiofertilizer: a step towards sustainable agriculture. Nanomaterials 12:965. doi: 10.3390/nano12060965

PubMed Abstract | Crossref Full Text | Google Scholar

Al-Khayri, J. M., Rashmi, R., Surya Ulhas, R., Sudheer, W. N., Banadka, A., Nagella, P., et al. (2023). The role of nanoparticles in response of plants to abiotic stress at physiological, biochemical, and molecular levels. Plants 12:292. doi: 10.3390/plants12020292

PubMed Abstract | Crossref Full Text | Google Scholar

APEDA. (2023). Available at: https://apeda.gov.in/apedawebsite/SubHead_Products/Basmati_Rice.htm (Accessed January 15, 2023)

Google Scholar

Aulakh, C. S., Kaur, P., Walia, S. S., Gill, R. S., Sharma, S., and Buttar, G. S. (2016). Productivity and quality of Basmati rice (Oryza sativa) in relation to nitrogen management. Indian J. Agron. 61, 467–473.

Google Scholar

Bala, R., Kalia, A., and Dhaliwal, S. S. (2019). Evaluation of efficacy of ZnO nanoparticles as remedial zinc nano fertilizer for rice. J. Soil Sci. Plant Nutr. 19, 379–389. doi: 10.1007/s42729-019-00040-z

Crossref Full Text | Google Scholar

Baral, K., Kumar, D., and Shivay, Y. S. (2019). Effects of ZnO nano-particles embedded nitrogen, phosphorus and potassium fertilizer on productivity, physical grain quality and nutrient harvest indices of aromatic rice (Oryza sativa). Indian J. Agron. 64, 520–523.

Google Scholar

Baral, K., Kumar, D., and Shivay, Y. S. (2020). Effect of zinc oxide nanoparticles embedded NPK fertilizer on growth, yield and zinc concentration and uptake of aromatic rice (Oryza sativa). Indian J. Agric. Sci. 90, 1626–1630. doi: 10.56093/ijas.v90i8.105980

Crossref Full Text | Google Scholar

Beig, B., Niazi, M. B. K., Jahan, Z., Hussain, A., Zia, M. H., and Mehran, M. T. (2020). Coating materials for slow release of nitrogen from urea fertilizer: a review. J. Plant Nutr. 43, 1510–1533. doi: 10.1080/01904167.2020.1744647

PubMed Abstract | Crossref Full Text | Google Scholar

Beig, B., Niazi, M. B. K., Sher, F., Jahan, Z., Malik, U. S., Khan, M. D., et al. (2022). Nanotechnology-based controlled release of sustainable fertilizers. A review. Environ. Chem. Lett. 20, 2709–2726. doi: 10.1007/S10311-022-01409-W

Crossref Full Text | Google Scholar

Beig, B., Niazi, M. B. K., Ullah, B., Gondal, A. N., Jahan, Z., Zia, M., et al. (2023). Effect of zinc oxide and zinc oxide nanoparticles coating on urea diffusion and its release kinetics for design and development of slow-release fertilizer: an experimental and numerical investigation. J. Coat. Technol. Res. 21, 199–213. doi: 10.1007/s11998-023-00810-6

Crossref Full Text | Google Scholar

Bhardwaj, A. K., Malik, K., Chejara, S., Rajwar, D., Narjary, B., and Chandra, P. (2023). Integration of organics in nutrient management for rice-wheat system improves nitrogen use efficiency via favorable soil biological and electrochemical responses. Front. Plant Sci. 13:1075011. doi: 10.3389/fpls.2022.1075011

Crossref Full Text | Google Scholar

Chen, C., Shu, X. W., Xu, J. J., Yu, X. F., Gao, Y. B., Tang, D. N., et al. (2020). Fundamental features of P, K absorption and utilization in rice populations with different sink capacity. J. Zhejiang Univ. Agric. Life Sci. 21, 12–28. doi: 10.1631/jzus.B1900452

Crossref Full Text | Google Scholar

de Mendiburu, F.. (2019). Package ‘agricolae’ statistical procedures for agricultural research. R Package, version 1.3.1

Google Scholar

Dimkpa, C., and Bindraban, P. (2018). Nanofertilizers: new products for the industry? Agric. Food Chem. 66, 6462–6473. doi: 10.1021/acs.jafc.7b02150

PubMed Abstract | Crossref Full Text | Google Scholar

Du, W., Yang, J., Peng, Q., Liang, X., and Mao, H. (2019). Comparison study of zinc nanoparticles and zinc sulphate on wheat growth: from toxicity and zinc biofortification. Chemosphere 227, 109–116. doi: 10.1016/j.chemosphere.2019.03.168

PubMed Abstract | Crossref Full Text | Google Scholar

Elshayb, O. M., Farroh, K. Y., Amin, H. E., and Atta, A. M. (2021). Green synthesis of zinc oxide nanoparticles: fortification for rice grain yield and nutrients uptake enhancement. Molecules 26:584. doi: 10.3390/molecules26030584

PubMed Abstract | Crossref Full Text | Google Scholar

Fageria, N. K., and Baligar, V. C. (2003). Methodology for evaluation of lowland rice genotypes for nitrogen use efficiency. J. Plant Nutr. 26, 1315–1333. doi: 10.1081/PLN-120020373

Crossref Full Text | Google Scholar

Fageria, N. K., Dos Santos, A. B., and Cobucci, T. (2011). Zinc nutrition of lowland rice. Commun. Soil Sci. Plant Anal. 42, 1719–1727. doi: 10.1080/00103624.2011.584591

Crossref Full Text | Google Scholar

Farooq, M., Ullah, A., Rehman, A., Nawaz, A., Nadeem, A., Wakeel, A., et al. (2018). Application of zinc improves the productivity and biofortification of fine grain aromatic rice grown in dry seeded and puddled transplanted production systems. Field Crops Res. 216, 53–62. doi: 10.1016/j.fcr.2017.11.004

Crossref Full Text | Google Scholar

Ghoneim, A. M. (2016). Effect of different methods of Zn application on rice growth, yield and nutrients dynamics in plant and soil. J. Agric. Ecol. Res. Int. 6, 1–9. doi: 10.9734/JAERI/2016/22607

Crossref Full Text | Google Scholar

Gomez, K. A., and Gomez, A. A. (1984). “Statistical procedures for agricultural research” in An international rice research institute book. 2nd ed (New York: John Wiley & Sons)

Google Scholar

Hanway, J. J., and Heidel, H. (1952). Soil analysis methods as used in Iowa state college soil testing laboratory. Iowa State Coll. Agric. Bull. 57:131.

Google Scholar

Hou, P., Xue, L., Zhou, Y., Li, G., Yang, L., and Xue, L. (2019). Yield and N utilization of transplanted and direct-seeded rice with controlled or slow-release fertilizer. Agron. J. 111, 1208–1217. doi: 10.2134/agronj2018.03.0192

PubMed Abstract | Crossref Full Text | Google Scholar

Hussain, A., Ali, S., Rizwan, M., Rehman, M. Z. U., Javed, M. R., Imran, M., et al. (2018). Zinc oxide nanoparticles alter the wheat physiological response and reduce the cadmium uptake by plants. Environ. Pollut. 242, 1518–1526. doi: 10.1016/j.envpol.2018.08.036

PubMed Abstract | Crossref Full Text | Google Scholar

Kandil, E. E., El-Banna, A. A., Tabl, D. M., Mackled, M. I., Ghareeb, R. Y., Al-Huqail, A. A., et al. (2022). Zinc nutrition responses to agronomic and yield traits, kernel quality, and pollen viability in rice (Oryza sativa L.). Front. Plant Sci. 13:791066. doi: 10.3389/fpls.2022.791066

PubMed Abstract | Crossref Full Text | Google Scholar

Khampuang, K., Dell, B., Chaiwong, N., Lordkaew, S., Rouached, H., and Prom-U-Thai, C. (2022). Grain zinc and yield responses of two rice varieties to zinc biofortification and water management. Sustainability 14:8838. doi: 10.3390/su14148838

Crossref Full Text | Google Scholar

Khan, M. R., and Siddiqui, Z. A. (2020). Role of zinc oxide nanoparticles in the management of disease complex of beetroot (Beta vulgaris L.) caused by Pectobacterium betavasculorum, Meloidogyne incognita and Rhizoctonia solani. Hortic. Environ. Biotechnol. 62, 225–241. doi: 10.1007/s13580-020-00312-z

Crossref Full Text | Google Scholar

Kumar, N., Samota, S. R., Venkatesh, K., and Tripathi, S. C. (2023). Global trends in use of nano-fertilizers for crop production: advantages and constraints—a review. Soil Tillage Res. 228:105645. doi: 10.1016/j.still.2023.105645

Crossref Full Text | Google Scholar

Kumar, D., Uppal, R. S., Ram, H., and Dhaliwal, S. S. (2016). Effect of N, Zn and Fe application on N, P, K content and their total uptake in Parmal rice (Oryza sativa L.). Prog. Agric. 16, 71–76. doi: 10.5958/0976-4615.2016.00012.0

Crossref Full Text | Google Scholar

Liu, Y., Ma, C., Li, G., Jiang, Y., Hou, P., Xue, L., et al. (2023). Lower dose of controlled/slow-release fertilizer with higher rice yield and N utilization in paddies: evidence from a meta-analysis. Field Crops Res. 294:108879. doi: 10.1016/j.fcr.2023.108879

Crossref Full Text | Google Scholar

Lonergan, P. F., Pallotta, M. A., Lorimer, M., Paull, J. G., Barker, S. J., and Graham, R. D. (2009). Multiple genetic loci for zinc uptake and distribution in barley (Hordeum vulgare). New Phytol. 184, 168–179. doi: 10.1111/j.1469-8137.2009.02956.x

PubMed Abstract | Crossref Full Text | Google Scholar

Mandal, A., and Pal, A. K. (2009). Growth of roots and yield as influenced by green manuring in rice–wheat cropping system. Agric. Sci. Digest 29, 32–35.

Google Scholar

Mangaraj, S., Paikaray, R. K., Maitra, S., Pradhan, S. R., Garnayak, L. M., Satapathy, M., et al. (2022). Integrated nutrient management improves the growth and yield of rice and green gram in a rice—green gram cropping system under the coastal plain agro-climatic condition. Plants 11:142. doi: 10.3390/plants11010142

PubMed Abstract | Crossref Full Text | Google Scholar

Meena, B. L., Fagodiy, R. K., Prajapat, K., Dotaniya, M. L., Kaledhonkar, M. J., and Sharma, P. C. (2018). “Legume green manuring: an option for soil sustainability” in Legumes for soil health and sustainable management. eds. R. Meena, A. Das, G. Yadav, and R. Lal (Singapore: Springer), 387–408.

Google Scholar

Meng, X., Li, Y., Zhang, Y., and Yao, H. (2019). Green manure application improves rice growth and urea nitrogen use efficiency assessed using 15N labeling. Soil Sci. Plant Nutr. 65, 511–518. doi: 10.1080/00380768.2019.1635872

Crossref Full Text | Google Scholar

Naik, S. K., and Das, D. K. (2007). Relative performance of chelated zinc and zinc sulphate for low land rice (Oryza sativa L.). Nutr. Cycling Agroecosyst. 81, 219–227. doi: 10.1007/s10705-007-9158-7

Crossref Full Text | Google Scholar

Nongbet, A., Mishra, A. K., Mohanta, Y. K., Mahanta, S., Ray, M. K., Khan, M., et al. (2022). Nanofertilizers: a smart and sustainable attribute to modern agriculture. Plants 11:2587. doi: 10.3390/plants11192587

PubMed Abstract | Crossref Full Text | Google Scholar

Olsen, R., Cole, C. V., Watanabe, F. S., and Dean, L. A. (1954). “Estimation of available Q26 phosphorus in soils by extraction with sodium bicarbonate” in Circular No. 939 (Washington, DC: United States Department of Agriculture)

Google Scholar

Panhwar, Q. A., Naher, U. A., Radziah, O., Shashuddin, J., Razi, I. M., Dipti, S. S., et al. (2015). Quality and antioxidant activity of rice grown on alluvial soil amended with Zn, cu and Mo. S. Afr. J. Bot. 98, 77–83. doi: 10.1016/j.sajb.2015.01.021

Crossref Full Text | Google Scholar

Parashar, R., Afzal, S., Mishra, M., and Singh, N. K. (2023). Improving biofortification success rates and productivity through zinc nanocomposites in rice (Oryza sativa L.). Environ. Sci. Pollut. Res. 30, 44223–44233. doi: 10.1007/s11356-023-25293-1

PubMed Abstract | Crossref Full Text | Google Scholar

Piper, C. S.. (1966). Soil and plant analysis. Hans Publishers, Bombay, India. pp. 250–251.

Google Scholar

Pooniya, V., and Shivay, Y. S. (2015). Influence of green manuring and zinc fertilization on quality parameters of Basmati rice. Commun. Soil Sci. Plant Anal. 46, 382–392. doi: 10.1080/00103624.2014.981275

Crossref Full Text | Google Scholar

Pooniya, V., Shivay, Y. S., Pal, M., and Bansal, R. (2018). Relative performance of boron, sulphur and zinc coatings onto prilled urea for increasing productivity and nitrogen use efficiency in maize. Exp. Agric. 54, 577–591. doi: 10.1017/S0014479717000254

Crossref Full Text | Google Scholar

Pooniya, V., Shivay, Y. S., Rana, A., Nain, L., and Prasanna, R. (2012). Enhancing soil nutrient dynamics and productivity of Basmati rice through residue incorporation and zinc fertilization. Eur. J. Agron. 41, 28–37. doi: 10.1016/j.eja.2012.03.004

Crossref Full Text | Google Scholar

Prakash, V., Rai, P., Sharma, N. C., Singh, V. P., Tripathi, D. K., Sharma, S., et al. (2022). Application of zinc oxide nanoparticles as fertilizer boosts growth in rice plant and alleviates chromium stress by regulating genes involved in oxidative stress. Chemosphere 303:134554. doi: 10.1016/j.chemosphere.2022.134554

PubMed Abstract | Crossref Full Text | Google Scholar

Prasad, R., and Hobbs, P. R. (2018). “Efficient nitrogen management in the tropics and subtropics” in Soil nitrogen uses and environmental impacts (CRC Press), 191–232.

Google Scholar

Prasad, R., Shivay, Y. S., Kumar, D., and Sharma, S. N. (2006). Learning by doing exercises in soil fertility (a practical manual for soil fertility). Division of Agronomy, Indian Agricultural Research Institute, New Delhi pp, 68.

Google Scholar

Qiong, W. U., Wang, Y. H., Ding, Y. F., Tao, W. K., Shen, G. A. O., Li, Q. X., et al. (2021). Effects of different types of slow-and controlled-release fertilizers on rice yield. J. Integr. Agric. 20, 1503–1514. doi: 10.1016/S2095-3119(20)63406-2

Crossref Full Text | Google Scholar

Raliya, R., Saharan, V., Dimkpa, C., and Biswas, P. (2017). Nanofertilizer for precision and sustainable agriculture: current state and future perspectives. J. Agric. Food Chem. 66, 6487–6503. doi: 10.1021/acs.jafc.7b02178

Crossref Full Text | Google Scholar

Sadhukhan, R., Sharma, L. D., Sen, S., Karmakar, S., Banerjee, K., and Baral, K. (2021). Enhancing the productivity of field crops through nano-fertilizer. Agricultural development in asia—potential use of nano-materials and nano-technology. IntechOpen

Google Scholar

Satake, T.. (1990). Modern Rice milling technology. University of Tokyo Press, Tokyo.

Google Scholar

Selvi, R. V., and Kalpana, R. (2009). Potentials of green manure in integrated nutrient management for rice—a review. Agric. Rev. 30, 40–47.

Google Scholar

Sheikhnazari, S., Niknezhad, Y., Fallah, H., and Barari Tari, D. (2023). Integrated application of rice husk biochar and ZnO-NPs improves yield components, yield and nutrient uptake in grain of rice under different nitrogen fertilizer levels. Gesunde Pflanzen 75, 211–221. doi: 10.1007/s10343-022-00691-6

Crossref Full Text | Google Scholar

Shivay, Y. S., Kumar, D., Prasad, R., and Ahlawat, I. P. S. (2008). Relative yield and zinc uptake by rice from zinc sulphate and zinc oxide coatings onto urea. Nutr. Cycl. Agroecosyst. 80, 181–188. doi: 10.1007/s10705-007-9131-5

Crossref Full Text | Google Scholar

Shivay, Y. S., Pooniya, V., Pal, M., Ghasal, P. C., Bana, R., and Jat, S. L. (2019). Coated urea materials for improving yields, profitability, and nutrient use efficiencies of aromatic rice. Glob. Chall. 3:1900013. doi: 10.1002/gch2.201900013

Crossref Full Text | Google Scholar

Subbiah, B. V., and Asija, G. L. (1956). A rapid procedure for the estimation of available nitrogen in soils. Curr. Sci. 25, 259–260.

Google Scholar

Sun, H., Zhou, S., Zhang, J., Zhang, X., and Wang, C. (2020). Effects of controlled-release fertilizer on rice grain yield, nitrogen use efficiency, and greenhouse gas emissions in a paddy field with straw incorporation. Field Crops Res. 253:107814. doi: 10.1016/j.fcr.2020.107814

Crossref Full Text | Google Scholar

Yadav, A., Yadav, K., and Abd-Elsalam, K. A. (2023). Nanofertilizers: types, delivery and advantages in agricultural sustainability. Agrochemicals 2, 296–336. doi: 10.3390/agrochemicals2020019

Crossref Full Text | Google Scholar

Yang, G., Yuan, H., Ji, H., Liu, H., Zhang, Y., Wang, G., et al. (2021). Effect of ZnO nanoparticles on the productivity, Zn biofortification, and nutritional quality of rice in a life cycle study. Plant Physiol. Biochem. 163, 87–94. doi: 10.1016/j.plaphy.2021.03.053

PubMed Abstract | Crossref Full Text | Google Scholar

Yaseen, M., Ahmad, A., Naveed, M., Ali, M. A., Shah, S. S. H., Hasnain, M., et al. (2021). Subsurface-applied coated nitrogen fertilizer enhanced wheat production by improving nutrient-use efficiency with less ammonia volatilization. Agronomy 11:2396. doi: 10.3390/agronomy11122396

Crossref Full Text | Google Scholar

Zhang, H., Wang, R., Chen, Z., Cui, P., Lu, H., Yang, Y., et al. (2021). The effect of zinc oxide nanoparticles for enhancing rice (Oryza sativa L.) yield and quality. Agriculture 11:1247. doi: 10.3390/agriculture11121247

PubMed Abstract | Crossref Full Text | Google Scholar

Zhu, H., Zhang, T., Zhang, C., He, X., Shi, A., Tan, W., et al. (2022). Optimizing irrigation and nitrogen management to increase yield and nitrogen recovery efficiency in double-cropping rice. Agronomy 12:1190. doi: 10.3390/agronomy12051190

Crossref Full Text | Google Scholar

Zulfiqar, U., Hussain, S., Ishfaq, M., Matloob, A., Ali, N., Ahmad, M., et al. (2020). Zinc-induced effects on productivity, zinc use efficiency, and grain biofortification of bread wheat under different tillage permutations. Agronomy 10:1566. doi: 10.3390/agronomy10101566

Crossref Full Text | Google Scholar

Zulfiqar, U., Hussain, S., Maqsood, M., Ishfaq, M., and Ali, N. (2021). Zinc nutrition to enhance rice productivity, zinc use efficiency, and grain biofortification under different production systems. Crop Sci. 61, 739–749. doi: 10.1002/csc2.20381

Crossref Full Text | Google Scholar

Keywords: grain yield, green manuring, milling quality, nano Zn, NUE

Citation: Baral K, Shivay YS, Prasanna R, Kumar D, Srinivasarao C, Mandi S, Nayak S and Reddy KS (2024) Optimising nitrogen use efficiency of prilled urea through integrated use of nano-ZnO and green manuring for better productivity, quality and nutritional status of Basmati rice crop. Front. Sustain. Food Syst. 8:1352924. doi: 10.3389/fsufs.2024.1352924

Received: 09 December 2023; Accepted: 08 February 2024;
Published: 04 April 2024.

Edited by:

Mohamed Ait-El-Mokhtar, University of Hassan II Casablanca, Morocco

Reviewed by:

Marco E. Mng’ong’o, Mbeya University of Science and Technology, Tanzania
Heba Mahmoud Mohammad Abdel-Aziz, Mansoura University, Egypt
I. Rashmi, Indian Institute of Soil and Water Conservation (ICAR), India

Copyright © 2024 Baral, Shivay, Prasanna, Kumar, Srinivasarao, Mandi, Nayak and Reddy. This is an open-access article distributed under the terms of the Creative Commons Attribution License (CC BY). The use, distribution or reproduction in other forums is permitted, provided the original author(s) and the copyright owner(s) are credited and that the original publication in this journal is cited, in accordance with accepted academic practice. No use, distribution or reproduction is permitted which does not comply with these terms.

*Correspondence: Yashbir Singh Shivay, eXNzaGl2YXlAaG90bWFpbC5jb20=

Disclaimer: All claims expressed in this article are solely those of the authors and do not necessarily represent those of their affiliated organizations, or those of the publisher, the editors and the reviewers. Any product that may be evaluated in this article or claim that may be made by its manufacturer is not guaranteed or endorsed by the publisher.