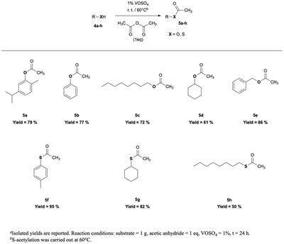
Original Research Published on 09 Mar 2022 A Stoichiometric Solvent-Free Protocol for Acetylation Reactions in Organic Chemistry Francesca ValentiniPierluca GalloniDiana BrancadoroValeria ConteFederica Sabuzi Frontiers in Chemistry doi 10.3389/fchem.2022.842190 19,793 views 6 citations