ORIGINAL RESEARCH article
Front. Syst. Neurosci.
This article is part of the Research TopicEmbodied interfaces: Human experience in virtual and mediated worldsView all articles
The FOUND Questionnaire: Identifying Stable Traits Associated with Success in Remote Operations — An Exploratory Study
Provisionally accepted- Department of Surgical, Medical and Molecular Pathology and Critical Care Medicine, University of Pisa, Pisa, Italy
Select one of your emails
You have multiple emails registered with Frontiers:
Notify me on publication
Please enter your email address:
If you already have an account, please login
You don't have a Frontiers account ? You can register here
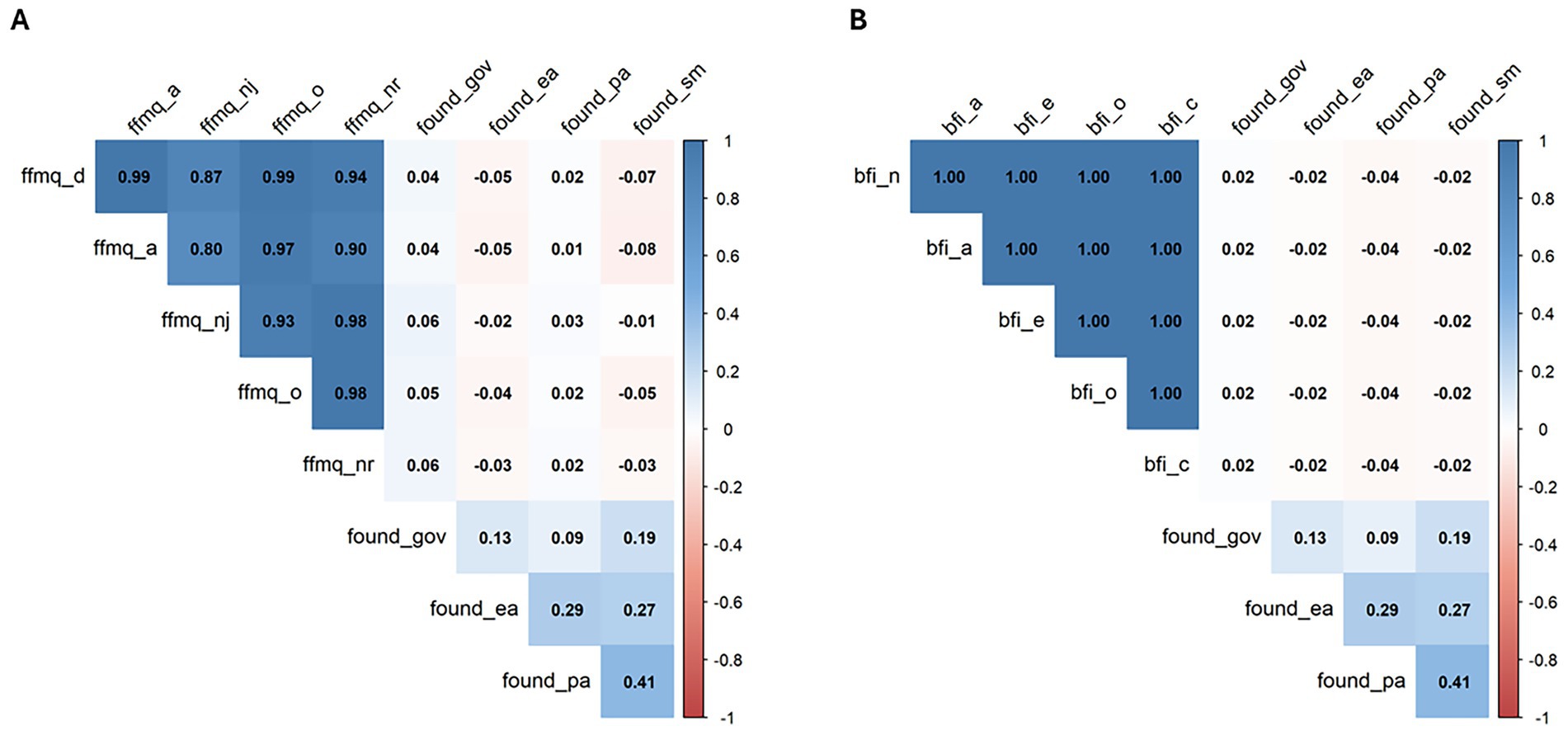
Introduction: This study introduces the FOUndatioNal trait-BaseD Characterization (FOUND) questionnaire, specifically developed to assess stable characteristics of perceptual, cognitive, and emotional domains associated with effective performance in mediated settings. Materials and Methods: Items were derived from interviews with professionals in remote technology fields (e.g., robotic surgeons, drone pilots, crane operators) and grouped into four domains: cognitive-behavioral, socio-emotional, functional-organic, and value-based. Items, rated on a 4-point Likert scale, were designed to reflect stable traits. A panel of nine experts evaluated content validity; items with a CVI > 0.78 and a mean relevance ≥ 3 were retained, resulting in a 26-item scale. The factorial structure of FOUND was validated in a sample of 300 Italian participants, with convergent validity assessed, and participants were subsequently categorized into high and low procedural skill professions for known-groups comparisons (Study 1). Additionally, a separate sample of 34 remote operators (Study 2) was included to further evaluate known-groups validity. Results: Exploratory and confirmatory factor analyses yielded a final 22-item structure, identifying four factors: Perception and Action, Empathic Attitude, Stress Management, and Group-Oriented Values. Convergent validity analysis using questionnaires that assess personality and stable characteristics (Five Facet Mindfulness Questionnaire-15, Big Five Inventory-10) did not yield significant correlations, indicating that the FOUND questionnaire may provide independent information. Known-groups validity was assessed by comparing scores between professions requiring high and low procedural skills identified in the 300 participants, revealing higher scores in Perception and Action, Empathic Attitude, and Stress Management for the first group (Study 1). Comparing remote operators (i.e., drone pilots) with the general population showed that remote operators scored higher in Perception and Action and Group-Oriented Values but lower in Stress Management, highlighting specific characteristics of individuals in remote operations for remote work (Study 2). Conclusions: The FOUND assesses perceptual, motor, cognitive, and socio-emotional constructs associated with performance in mediated and remote operations. It allows evaluation of stable traits and performance-related attitudes in contexts such as robotic surgery, telemedicine, education, and emergency response. By identifying these traits, the questionnaire can inform the design of personalized interventions and training programs tailored to individual characteristics, enhancing effectiveness in mediated environments
Keywords: Personality, Traits, telemanipulation, embodiment, skills learning, dexterity
Received: 30 Jul 2025; Accepted: 27 Oct 2025.
Copyright: © 2025 Cesari, Cipriani, Papini, Piarulli, Gemignani and Menicucci. This is an open-access article distributed under the terms of the Creative Commons Attribution License (CC BY). The use, distribution or reproduction in other forums is permitted, provided the original author(s) or licensor are credited and that the original publication in this journal is cited, in accordance with accepted academic practice. No use, distribution or reproduction is permitted which does not comply with these terms.
* Correspondence: Valentina Cesari, valentinacesari91@gmail.com
Disclaimer: All claims expressed in this article are solely those of the authors and do not necessarily represent those of their affiliated organizations, or those of the publisher, the editors and the reviewers. Any product that may be evaluated in this article or claim that may be made by its manufacturer is not guaranteed or endorsed by the publisher.
