Brief Research Report
Published on 16 May 2022
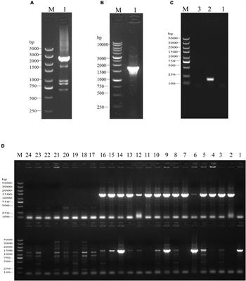
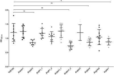
Bacterial Adhesion and Biofilm Formation of Enterococcus faecalis on Zwitterionic Methylmethacrylat and Polysulfones
in Molecular Bacterial Pathogenesis
- 7,316 views
- 19 citations
Brief Research Report
Published on 16 May 2022
in Molecular Bacterial Pathogenesis
Original Research
Published on 25 Jun 2021
in Biomaterials
Original Research
Published on 16 Apr 2018
in Ethnopharmacology
Original Research
Published on 04 Jan 2024
in Fungal Pathogenesis
Original Research
Published on 15 May 2020
in Biomaterials
Original Research
Published on 06 May 2022
in Food Microbiology
Original Research
Published on 08 Mar 2022
in Aquatic Microbiology
Mini Review
Published on 23 Jul 2025
in Antimicrobials, Resistance and Chemotherapy
Original Research
Published on 06 Aug 2025
in Biofilms
Original Research
Published on 01 Dec 2022
in Nutrition and Food Science Technology
Original Research
Published on 31 Aug 2016
in Molecular Bacterial Pathogenesis
Review
Published on 14 Oct 2013
in Microbial Physiology and Metabolism
Review
Published on 16 Nov 2022
in Soft Matter Physics
Original Research
Published on 16 Aug 2021
in Antimicrobials, Resistance and Chemotherapy
Original Research
Published on 12 Mar 2015
in Fungi and Their Interactions
Original Research
Published on 04 Feb 2020
in Fungal Pathogenesis