Original Research
Published on 12 Jan 2021
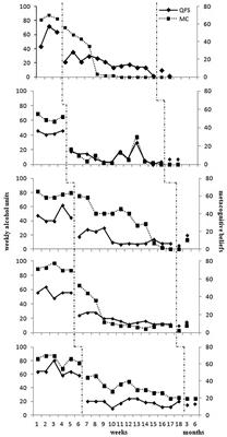
Compassion-Focused Group Therapy for Treatment-Resistant OCD: Initial Evaluation Using a Multiple Baseline Design
in Emotion Science
- 23,725 views
- 33 citations
Original Research
Published on 12 Jan 2021
in Emotion Science
Original Research
Published on 03 Oct 2022
in Educational Psychology
Original Research
Published on 25 Apr 2016
in Public Mental Health
Brief Research Report
Published on 30 Jan 2024
in Special Educational Needs
Clinical Trial
Published on 19 Dec 2018
in Psychology for Clinical Settings
Original Research
Published on 09 Feb 2022
in Educational Psychology
Original Research
Published on 09 Jul 2015
in Motor Neuroscience
Original Research
Published on 11 Dec 2017
in Children and Health
Original Research
Published on 24 Oct 2017
in Children and Health
Original Research
Published on 29 Jul 2022
in Educational Psychology
Original Research
Published on 01 Jun 2023
in Psychopathology
Original Research
Published on 13 Dec 2022
in Psychopathology
Original Research
Published on 29 May 2018
in Educational Psychology