Original Research
Published on 13 Dec 2021
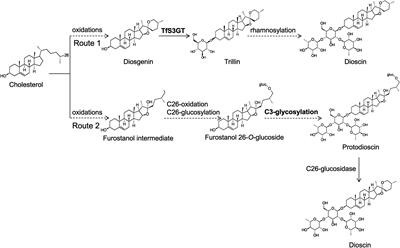
Molecular Cloning and Functional Characterization of a Sterol 3-O-Glucosyltransferase Involved in Biosynthesis of Steroidal Saponins in Trigonella foenum-graecum
in Plant Metabolism and Chemodiversity
- 4,464 views
- 9 citations




