ORIGINAL RESEARCH article
Front. Audiol. Otol.
Sec. Clinical Research in Auditory Implants and Hearing Aids
This article is part of the Research TopicAdvances in Technologies for Fitting Bone Conduction Hearing DevicesView all 3 articles
Clinical Evaluation of DSL-BCD Fittings: Assessing Output-to-Targets for Percutaneous Bone Conduction Devices in Practice
Provisionally accepted- 1University of Alberta Faculty of Rehabilitation Medicine, Edmonton, Canada
- 2Covenant Health, Edmonton, Canada
- 3Western University National Centre for Audiology, London, Canada
Select one of your emails
You have multiple emails registered with Frontiers:
Notify me on publication
Please enter your email address:
If you already have an account, please login
You don't have a Frontiers account ? You can register here
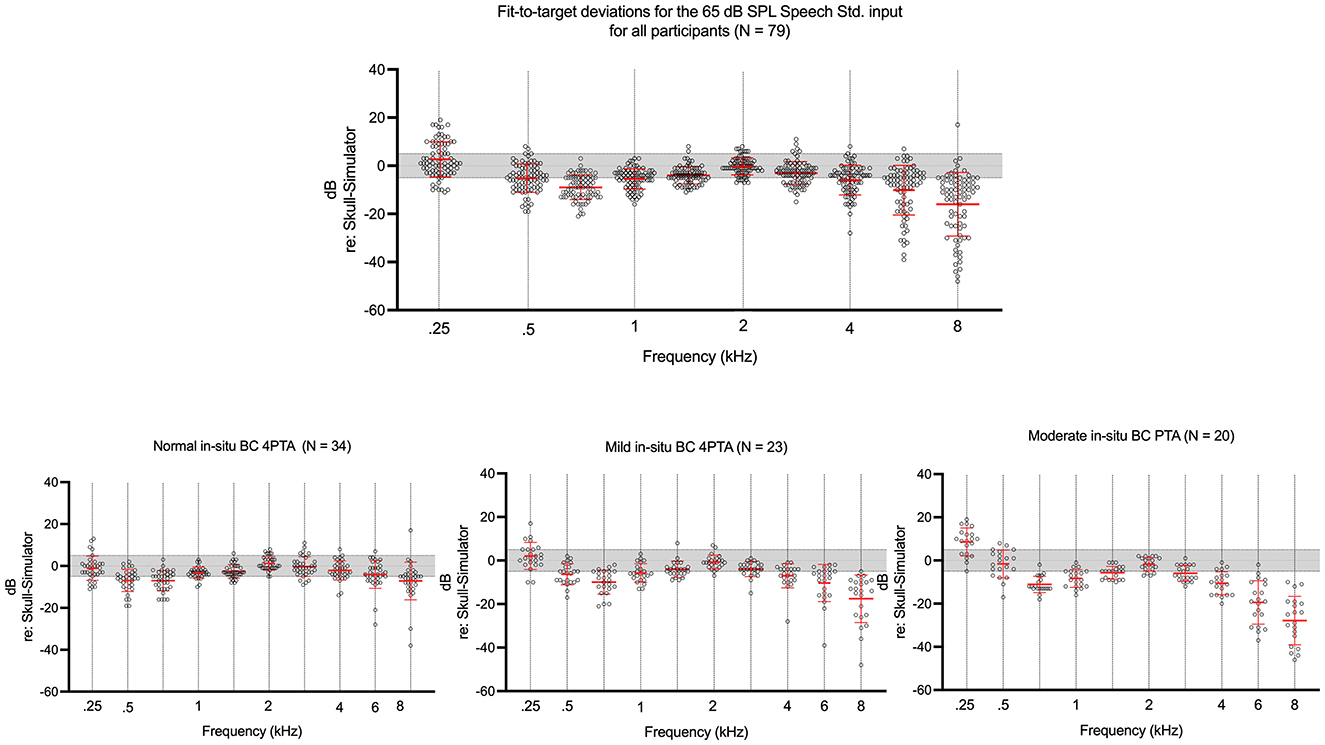
Objectives: Objective measurements and prescriptive formulas for air-conduction hearing aids have been discussed extensively in the literature. In contrast, the application of objective verification tools such as clinical skull-simulators in the bone-conduction amplification literature is still emerging. This approach offers a critical step towards understanding the variability in percutaneous bone-conduction hearing devices (BCD) output on a larger scale. Our study aims to quantify this variability using skull-simulator measurements of percutaneous BCD users, thereby generating accuracy description of the range of outputs normally fitted in a clinical context. Design: A cross-sectional retrospective study was conducted, analyzing skull-simulator measurements from routine audiology appointments of 79 adult percutaneous BCD users fitted with the DSL-BCD v1.1 prescription procedure. We explored the relationship between in-situ bone-conduction hearing thresholds and frequency-specific and root mean square error (RMSE) deviations from targets, along with aided speech intelligibility index (SII) using linear regressions for standard speech signals. BCD skull-simulator measurements were conducted at the user's daily listening level. Results: At a 65 dB SPL speech input, over 50% of participants showed output-to-target deviations within ±5 dB at all frequencies except 750, 6000, and 8000 Hz. Fittings generally fell below targets as in-situ bone-conduction thresholds worsened, with exceptions at 250 and 500 Hz showing the reverse trend. A significant correlation was observed between in-situ bone-conduction thresholds and aided SII across all input levels, indicating an expected decrease in aided SII with increased bone-conduction hearing loss. The RMSE was within 5 dB for 37% of participants, lower than reported in air-conduction hearing aid literature. Secondary analyses assessing BCD capabilities of matching targets following fine-tuning, without participants' involvement, indicated that a RMSE within 5 dB could be met in 79% of cases. Conclusions: This study outlines the deviations in output-to-target and aided SII among adult percutaneous BCD users, offering clinicians a benchmark through 95% confidence interval regression models and in-situ threshold averages. This normative data is beneficial for fitting BCDs in users with elevated in-situ thresholds, reducing uncertainty about optimal fittings. Further research is necessary to elucidate the relationship between aided SII, output-to-target deviations, outcomes and preferences in percutaneous BCD wearers.
Keywords: DSL-BCD, verification, Bone-conduction hearing, bone-conduction amplification, SII, Hearing implant
Received: 27 Sep 2025; Accepted: 18 Nov 2025.
Copyright: © 2025 Gascon, Bagatto, Scollie, Cowan and Hodgetts. This is an open-access article distributed under the terms of the Creative Commons Attribution License (CC BY). The use, distribution or reproduction in other forums is permitted, provided the original author(s) or licensor are credited and that the original publication in this journal is cited, in accordance with accepted academic practice. No use, distribution or reproduction is permitted which does not comply with these terms.
* Correspondence: Alex Gascon, agascon@ualberta.ca
Disclaimer: All claims expressed in this article are solely those of the authors and do not necessarily represent those of their affiliated organizations, or those of the publisher, the editors and the reviewers. Any product that may be evaluated in this article or claim that may be made by its manufacturer is not guaranteed or endorsed by the publisher.
