- Universidade Federal do Paraná, Departamento de Fitotecnia e Fitossanitarismo, Curitiba, Brazil
Introduction: The domestication of cattle has shaped their adaptation to livestock environments, although management conditions often limit their welfare and productivity. This study investigated whether integrated livestock–forestry (LF) systems improve the behavior, welfare, and productivity of beef cattle compared to conventional livestock (L) systems.
Methods: Eighteen Angus steers were monitored for ten consecutive months under continuous grazing. Welfare indicators were assessed according to the Welfare Quality® protocol, with adaptations for grazing conditions.
Results: Both systems ensured adequate feeding, health, and rest conditions. However, animals in the LF system performed better in thermal comfort and human–animal interaction. Specifically, LF cattle had a 2.5 °C lower body surface temperature, a 63% smaller flight zone, and an 85% lower reactivity score than cattle in the L system. Average daily weight gain and body condition score did not differ between systems.
Discussion: Integrated livestock–forestry systems enhanced adaptive behaviors and animal comfort without compromising productivity. These findings highlight LF systems as a sustainable approach to balancing animal welfare with production efficiency.

Graphical Abstract. Overview of the study design and key findings on the influence of livestock-forest integration on animal welfare and productivity.
1 Introduction
Although it is not possible to precisely date the beginning of cattle domestication, there is evidence that Bos primigenius, the wild ancestor of today’s domestic cattle, was present in Southwest Asia, Europe, and North Africa during the Neolithic Period (Geigl, 2008; Culley et al., 2021). Cattle domestication was successful because of the species’ herbivorous diet, rapid growth, ability to reproduce in captivity, and docile behavior, which facilitates handling (Felius et al., 2014; Halstead et al., 2024). Additionally, cattle provide several resources, including traction, meat, milk, leather, fat, and fertilizers (Felius et al., 2014).
The latest data estimated that 1.58 billion cattle are raised worldwide (FAO, 2025), with one-third managed on pastures (Herrero et al., 2013; Wolf et al., 2021). Although pasture settings resemble the animals’ natural habitat, they can expose animals to stressful conditions, which may hinder or even prevent them from achieving high levels of welfare (St-Pierre et al., 2003). Such stressful conditions include exposure to direct solar radiation without access to shelter or shade (Lemes et al., 2021), lack of water sources, low-quality or insufficient forage (Oliveira et al., 2014; Ripamonti et al., 2025), and exposure to parasites and other pathogens (Kelly et al., 2020; Bouchez-Zacria et al., 2023; Thomsen et al., 2023). To overcome these challenges in grazing environments, integrated crop-livestock systems (ICLS) have already been recognized for improving animal welfare by providing shade through the forest component, thereby reducing heat stress (Giro et al., 2019; Junior et al., 2021; Sales-Baptista and Ferraz-de-Oliveira, 2021; Do Nascimento Barreto et al., 2022).
Welfare is defined as an individual’s state in relation to their attempts to cope with their environment (Broom, 1986). As a multidimensional concept with several components (Webster, 2012), welfare assessments are not direct measurements. They often involve evaluations of animal health, behavior, immune function, presence of physical injuries, and size of the installations to estimate animals’ responses to management practices and environmental stimuli (Broom, 2014; Broom and Fraser, 2015; Kim et al., 2019).
Different grazing systems provide different conditions for animals to cope with stressors, resulting in behavioral and welfare changes. Therefore, this study aims to evaluate the influence of integrated grazing systems on the behavior and welfare of beef cattle, enabling the association between animal welfare and productivity through resource- and animal-based indicators derived from the Welfare Quality® protocol.
2 Materials and methods
2.1 Study site
The experiment was conducted in integrated crop-livestock system long-term protocol installed in 2013 in the municipality of Pinhais, state of Paraná, Brazil, at the Experimental Farm of the Federal University of Paraná (UFPR) (25°24’4.31’’ S; 49°7’15.02’’ W; 918 m.a.s.l.). Climate in the region is subtropical highland (Cfb), with mean temperatures ranging from 12.5 to 22.5 °C, annual average rainfall of 1400 mm, and severe and frequent frosts occurring 10 to 25 days per year on average, as described by Köppen. The study area is located within the Iraí State Environmental Protection Area (APA), where the use of agrochemicals is prohibited, in compliance with State Decree No. 1.753, dated 06 May 1996 (Paraná, 1996).
2.2 Experimental design and treatments
The present experiment was conducted from 31 July 2020 to 02 April 2021, totaling 245 days, the animals had 20 days of adaptation before the beginning of the evaluations in the experimental area. Two production systems were evaluated as treatments: Livestock and Livestock-forestry in an area of 10.2 ha. The systems were arranged in a randomized complete block design with three replicates, totaling 6 experimental units (paddocks) of 1.7 ha each.
The systems evaluated were integrated livestock-forestry (LF), characterized by the integration of Eucalyptus benthamii with livestock production, and specialized livestock (L) production which is not shaded. During the evaluations, the trees were seven years old and distributed along contour lines on the ground with a spacing of 28 m between single rows and 7.5 m between trees. The density was 47 trees ha-1, and the average shade percentage was 31 and 22 in winter and summer, respectively. For more information on the tree component, see Kruchelski et al. (2022).
In the summer of the 2013/14 crop year, summer perennial pasture was established in both systems using Megathyrsus (formerly Panicum) maximum, along with spontaneous species such as African stargrass (Cynodon plectostachyus), Hemarthria altissima, Urochloa (formerly Brachiaria) plantaginea, and kikuyu grass (Pennisetum clandestinum). In the winter pasture, it was overseeded black oat (Avena strigosa) intercropped with ryegrass (Lolium multiflorum) with 60 and 15 kg ha-1 of seeds, respectively, at the end of May 2020. The winter pasture also included other spontaneous forage species such as white clover (Trifolium repens) and vetch (Vicia sp.; Table 1).

Table 1. Composition of winter and summer pastures, sward height and stocking rate in the livestock-forest (LF) and livestock (L) systems.
2.3 Experimental animals
Three crossbred Angus steers (average initial weights of 177 ± 40 kg; 12 months of age) were allocated per paddock, totaling 18 tester animals (nine per system). Pastures were managed under continuous stocking with variable stocking rate (put-and-take method; Mott and Lucas, 1952) to maintain a target sward height of 24 cm. Sward height was monitored every 15 days by measuring 150 points per paddock with a sward stick, and stocking rate was adjusted accordingly. Tester steers remained full-time in the experimental units. Put-and-take animals of similar weight and age were added or removed as needed to regulate sward height and ensure consistent grazing intensity across paddocks. The average sward height and average stocking rates were presented in Table 1.
In all systems, animals had access to water troughs equipped with float valves for refill after consumption. The animals’ diet consisted exclusively of pasture and ad libitum mineral salt, provided in covered troughs. The internal dimensions of the water troughs in all paddocks are 1.30 m long x 1.30 m wide x 0.60 m deep, providing 0.65 m of linear water per animal. Furthermore, the maximum distance traveled by the animals to the water trough was 190 m.
This study was approved by the Ethics Committee on the Use of Animals, Agricultural Sciences Sector of UFPR, under protocol no. 076_2019.
2.4 Measurement of variables
Eight welfare criteria were selected to address the four welfare principles established by the Welfare Quality® protocol (2009 – Table 2). These measures were selected based on the local conditions of extensive cattle production (Huertas et al., 2009), as well as on the feasibility and relevance of the measures as reflections of the welfare promoted by the production system. Table 2 describes the adapted measures used to assess the welfare criteria for cattle grazing and local conditions.
2.4.1 Good feeding
The Body condition score (BCS) was used as a measure to assess the absence of prolonged hunger as it reflects the body fat content, indicating the nutritional status of the animal (Leach et al., 2009a). BCS was assessed using a scale ranging from 0 to 5 points (from very thin to very fat), according to the methodology proposed by Lowman et al., 1976; Table 2). Additionally, the Average daily weight gain (ADG) was included as a measure of the absence of prolonged hunger due to the known relationship between reductions in productivity and inadequate animal welfare (Ritter et al., 2019; Mariottini et al., 2022). ADG was calculated by the difference between weigh-ins. These variables were evaluated at 28-day intervals. The absence of prolonged thirst was assessed by daily monitoring of water supply (Table 2).
2.4.2 Good housing
To evaluate the Comfort at Rest criteria, we chose to quantify the time spent rest and ruminating in cattle, since changes in these activities are related to stressful environments (Kilgour et al., 2012). The duration of the resting and ruminating period was also highlighted by Brörkens et al. (2009) as reliable assessments of the resting behavior of beef cattle. Comfort at rest was assessed by monthly evaluations of diurnal behavior to measure how animals allocated their time across activities such as grazing, rumination, and others, according to the methodology described by Mezzalira et al. (2011). Assessments were carried out through direct observation, by previously trained observers carrying binoculars, over 13 consecutive hours, from sunrise to sunset, with each animal’s activity recorded at 5-minute intervals (Table 2). Grazing time was defined as the time spent searching for and harvesting forage, with the animal engaged in ingestion. Rumination was defined as the time the animal was not grazing but chewing the rumen bolus, characterized by cyclical and repetitive movements while the animal was stationary. Other activities included water consumption, mineralized salt consumption, socialization, and idleness. Cluster analysis was employed to organize the data into three time periods: period 1 (5:30 a.m. – 9:30 a.m.), period 2 (9:35 a.m. – 2:30 p.m.), and period 3 (2:35 p.m. – 5:30 p.m.). Data analysis was based on the percentage of time spent on each activity during the three periods.
To evaluate the thermal comfort criterion, the body surface temperature variable was chosen due to its importance in the thermolysis process (Collier et al., 2006). Thermal comfort was assessed monthly using images captured by a FLIR C2® (640 × 480 pixels) thermographic camera to measure the body surface temperature of the cattle, emissivity equal to 0.9 (Figure 1). The flank area were used for analysis, as they are the areas most exposed to direct solar radiation during the day (Giro et al., 2019). Pictures were taken at a distance of approximately 4 m from the animal, captured only on the left side of the animal. On the evaluation days, images were captured at 8:00 a.m., 11:00 a.m. and 2:00 p.m The images were then analyzed using FLIR Thermal Studio Suite® software (Table 2).
The temperature-humidity index (THI) is recognized as an indicator of thermal comfort for pastured cattle (Aubé et al., 2022) and was therefore included in the thermal comfort assessment. THI described by Thom (1958) was calculated using the following formula: THI = Tair + (0,36Td + 41,5) where Tair = Mean air temperature, Td = Dew point temperature (Table 2). THI values ≤70 are considered normal and non-stressful for cattle, values from 71 to 78 are classified as critical, from 79 to 83 indicate danger, and >83 represent an emergency state. Data on temperature, relative humidity, solar radiation, and dew point were collected daily from meteorological stations (HOBO RX Station - RX3000®) located in the livestock (L) and integrated livestock-forestry (LF) livestock production systems (Figure 2).

Figure 2. Average temperatures (°C), dew point temperature (°C) and relative humidity (%) in the livestock (L) and livestock-forest (LF) systems in the ten months of evaluation.
2.4.3 Good health
As described by Aubé et al. (2022), assessments of the locomotor system, skin lesions, parasite infestation, fecal consistency, and secretions are important indicators of welfare for grazing cattle. Therefore, these parameters were chosen to assess good health. The absence of injuries was monitored weekly throughout the assessment period, during which the presence or absence of lesions on any part of the animal’s body was recorded, as suggested by Schulze Westerath et al. (2009; Table 2). Variables, including coughing, nasal discharge, and labored breathing, were also monitored weekly by recording their presence or absence (Table 2). Data analysis considered the frequency at which injuries, nasal discharge, and coughing occurred.
Locomotion score (LS) was evaluated monthly on a scale from 1 to 5, with 1 indicating normal walking and 5 indicating severe lameness, following the methodology described by Shearer et al. (2013; Table 2). Occurrence of diarrhea was assessed monthly using a fecal consistency score (FCS) ranging from 0 to 3 (from well-formed feces to severe diarrhea), according to Walker et al. (1998; Table 2).
Ectoparasite infestation was monitored biweekly through the counting of horn flies (Haematobia irritans), botfly (Dermatobia hominis) - larval stage, and ticks (Rhipicephalus microplus) on one side (midline plane) of each animal. H. irritans are hematophagous flies that remain on cattle for most of their life cycle, causing blood loss and irritation; D. hominis is a botfly whose larvae develop subcutaneously, producing painful nodules; and R. microplus is a one-host tick responsible for blood loss, skin damage, and transmission of pathogens. An infestation score was assigned for each ectoparasite. For botfly and ticks, scores ranged from 0 to 4, increasing with every five additional parasites counted, whereas for horn flies, the infestation score also ranged from 0 to 4, increasing with every 10 additional flies counted (Table 2).
2.4.4 Appropriate behavior
To assess appropriate behavior, flight zone (FZ) measurements were selected because they are used as a measure of the human–animal relationship for grazing cattle (Aubé et al., 2022). Recording the number of vocalizations was also selected because it is a non-invasive parameter for understanding the emotional status of cattle (Schnaider et al., 2022). The Reactivity Score (RS) and Escape Speed (ES) were included in the evaluation because they are parameters indicative of animals present in a stressful environment (Grajales-Cedeño and Paranhos da Costa, 2024).
Flight zone was measured monthly using a laser measuring tape Bosch GLM 50-12®, accuracy range from 0 to 50 m, capturing the maximum distance at which the observer could approach before the animal reacted (Fordyce et al., 1982; Burrow, 1997: Table 2). The flight zone assessment began with the evaluator entering the paddock (an average area of 1 hectare) on foot. The evaluator then aimed the laser tape measure at the animal and began walking slowly and without speaking. The measurement was taken when the evaluator observed the evaluated bovine begin to flee. The number of vocalizations was recorded while animals were restrained during the weigh-ins conducted every 28 days.
Reactivity score was assessed in the restraint chute during weigh-ins, based on an adapted methodology from Hearnshaw and Morris (1984; Table 2). It considered agitation and animal movement on a scale from 1 to 5, where 1 corresponded to a calm animal with relaxed head, ears, and tail, and 5 to an uncontrollable and dangerous animal. Escape speed was recorded based on the time it took for the animal to leave the chute (over a known distance – 2,5 m), according to the adapted method of Burrow et al. (1988; Table 2).
2.5 Data analysis
A completely randomized design was adopted, with two treatments (L and LF) and nine replications per treatment. The experiment was conducted across 10 evaluation periods, considered as repeated measures over time. A mixed-effects model was applied for data analysis, with treatment as a fixed effect and evaluation periods as a random effect, using the MIXED procedure.
Normality of the variables was assessed using the Shapiro-Wilk test. Homogeneity of variances was evaluated using Bartlett’s test, and the independence of residuals was also verified. Only the variables ADG and the frequencies of grazing, rumination, and other activities showed a normal distribution. When significant differences were detected, the means were compared using the least-squares means (LS-means) model. The best variance structure was selected based on the lowest Akaike Information Criterion (AIC) value. Interaction between treatments and evaluation periods was further examined when statistically significant at the 5% probability level.
Other variables that did not meet the assumption of normal distribution, even after transformation, were analyzed using nonparametric analysis of variance (ANOVA) through the Kruskal-Wallis test. All statistical analyses were conducted on RStudio 4.0.4 software, and a 5% significance level (p < 0.05) was adopted.
3 Results
3.1 Good feeding
For the BCS and ADG variables, no statistically significant differences were observed between the L and LF systems across the average of all evaluation periods (p = 0,563; p = 0,962 respectively; Table 3). Among evaluation periods, considering the average of both systems, the highest BCS was recorded at evaluation 10 (p < 0,001) (Table 3), while the lowest ADG values were observed at evaluations 7, 8, and 9 (p < 0,001; Table 3). A significant interaction (p = 0,009) between livestock systems and evaluation periods was observed only for the ADG variable (Table 3). At evaluations 7 and 8, animals in the LF system showed higher ADG values than those in the L system. In contrast, during evaluation 6, the L system yielded higher ADG than the LF system.

Table 3. Mean values of body condition score (BCS), average daily weight gain (ADG - kg animal-1 day-1), body surface temperature (°C), temperature-humidity index (THI), locomotion score (LS), fecal consistency score (FCS), infestation score of botfly, ticks and horn flies, vocalization, flight zone (m), reactivity score (RS) and escape speed (m s-1) and Frequency of occurrence of lesions, coughing and nasal discharge as a function of livestock (L) and livestock-forest (LF) systems and evaluation times.
3.2 Good housing
Across evaluation periods and systems, statistically significant differences were observed between time slots (p < 0,001) and activity frequencies (p = 0,009), with no interaction between time intervals and activity frequencies (p = 0,618). The highest frequency of grazing was observed during time interval 3, rumination peaked in time interval 2, and other activities (e.g., idling, social interaction, water intake, and mineral consumption) were most frequent in time intervals 1 and 2 (Figure 3). Grazing and other activities were most frequent in time interval 1, rumination was less frequent than grazing in time interval 2, and grazing was more frequent than all other activities in time interval 3 (Figure 3).

Figure 3. Frequency (%) of grazing, rumination and other activities in the three assessment times 1 (5:30 a.m. - 9:30 a.m.), 2 (9:35 a.m. - 2:30 p.m.) and 3 (2:35 p.m. - 5:30 p.m.), on average across the assessment systems Note: Uppercase letters represent differences between the frequency of activities (grazing, rumination and others) at each assessment time (1, 2 and 3), at a significance level of 5%.
The body surface temperature of cattle differed between the systems (p < 0,001), being 2.5 °C lower in animals raised in the LF system compared with those in the L system, averaged across all evaluations (Table 3). Averaged across both systems, body surface temperature was higher (p < 0,001) at evaluations 6, 9, and 10 and did not differ from evaluations 7 and 8 (Table 3).
THI did not differ between the livestock systems (p = 0,915; Table 3). Across evaluation periods, averaged across systems, THI values were higher at evaluations 7, 8, 9, and 10 and lower at evaluation 1, with no difference from evaluation 2 (p < 0,001; Table 3).
3.3 Good health
No statistically significant differences were observed between the L and LF systems for LS (p = 0,150), FCS (p = 0,753), or ectoparasite infestation scores for botfly (p = 0,192), ticks (p = 0,570), and horn flies (p = 0,631), regardless of evaluation period (Table 3). The FCS was higher at evaluation 3 and lower at evaluation 1 in both systems (p = 0,009; Table 3). On average, botfly infestation scores were higher at evaluations 4 to 8 (p < 0,001), tick infestation scores were lower at evaluations 1, 2, 4, and 9 (p < 0,001), and horn fly infestation scores were lower at evaluations 1, 2, and 9 (p < 0,001; Table 3).
Frequency of nasal discharge did not differ between the L and LF systems (p = 0,703), however, a significantly higher occurrence was recorded at evaluation 10 in both systems (p < 0,001; Table 3). Frequency of coughing showed an interaction between systems and evaluation periods (p < 0,001), with higher occurrence in the L system at evaluations 1 and 6, and no difference between systems at the other evaluations (Table 3). No animals exhibited labored breathing during any of the evaluations.
3.4 Appropriate behavior
The average flight zone was significantly greater in the L system (p=0,023), with a 63% increase compared to the LF system, regardless of evaluation period (Table 3). Flight zone varied significantly between evaluation periods (p < 0,001), with greater distances at evaluations 1, 2, and 3 compared to the others in both systems (Table 3). The number of vocalizations did not differ between systems (p = 0,263) or evaluation periods (p = 0,541; Table 3).
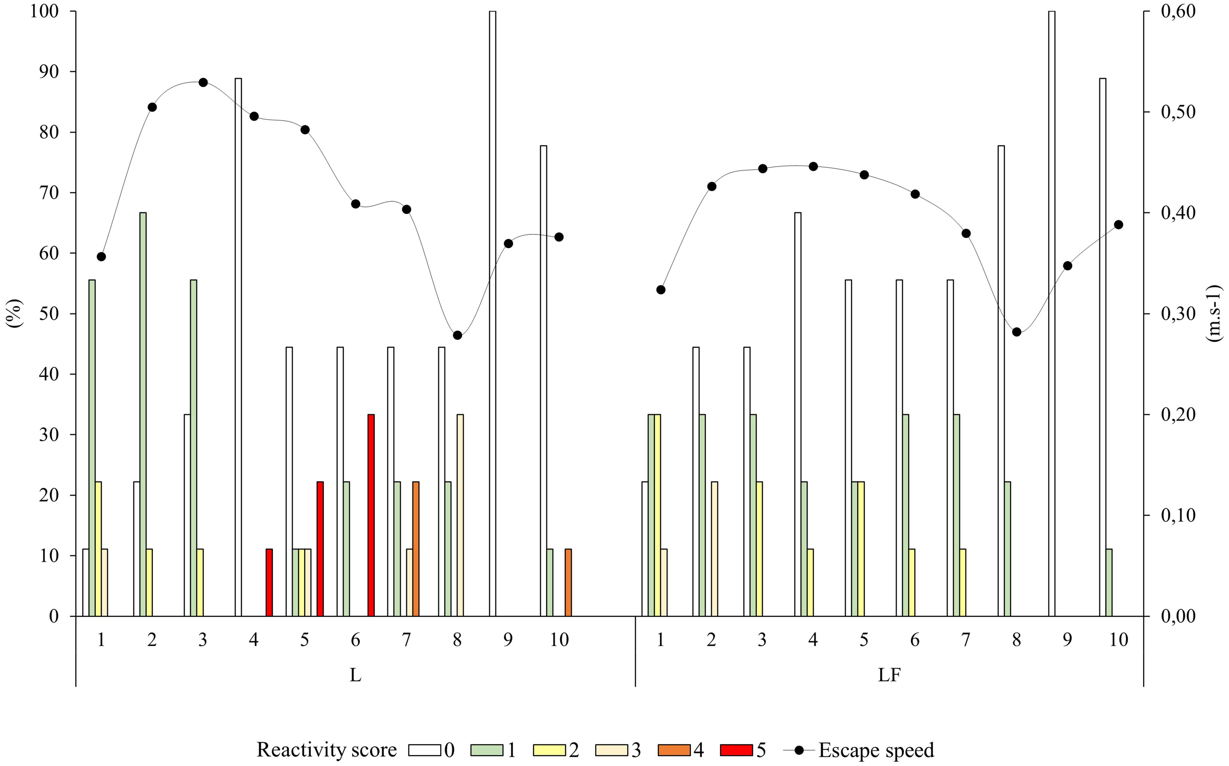
The frequency of RS differed significantly between systems (p = 0,036), being 85% higher in the L system than in the LF system, averaged across all evaluations (Figure 4). A significant interaction was observed for RS and evaluation period (p < 0.001), with the highest scores recorded in the L system during evaluations 5 and 6 (Figure 4). Escape speed was similar between systems and significantly lower at evaluations 1 and 8 (Figure 4).

Figure 4. Frequency of reactivity scores (1, 2, 3, 4 and 5) and average escape speed values (m s-1) according to the livestock (L) and livestock-forest (LF) systems and the evaluation periods.
4 Discussion
4.1 Good feeding
There were no significant differences in ADG and BCS between the systems (Table 3), which can be explained by the similar pasture height in both systems (Table 1). The higher BCS observed at the final evaluations (Table 3) is consistent with the animals’ cumulative weight gain over the 10 months and suggests that, in both systems, the cattle had access to adequate feed, enabling comparable productivity levels.
The animals showed good performance, with an average ADG of 0.875 kg animal-1 day-1 across systems and evaluation periods, indicating that both systems were able to ensure favorable welfare conditions, as insufficient productive performance is typically associated with compromised welfare (Ritter et al., 2019; Mariottini et al., 2022). This relationship between performance and welfare is further supported by the fact that the lowest ADG values were recorded at evaluations 7 to 9, which coincided with higher parasite loads (ticks and botfly), more frequent injuries, and elevated THI values (Table 3). These factors—particularly prevalent in summer—created stressful environmental conditions that likely reduced both animal welfare and graze intake (Herbut et al., 2019), thereby hindering productive performance. These findings agree with those reported by Herbut et al. (2019), who demonstrated a connection between environmental stressors and reduced productivity in dairy cows.
4.2 Good housing
Cattle typically alternate between grazing, ruminating, and resting throughout the day (Souza et al., 2010), with grazing primarily concentrated during the cooler periods of the day: early morning and late afternoon (Broom and Fraser, 1997). Changes in the timing of these activities are often associated with thermal stress conditions (Kilgour et al., 2012; Cortés Fernández de Arcipreste et al., 2018). During periods of intense heat, animals modify their grazing behavior to minimize heat load (Schütz et al., 2010). Reduced forage intake also helps lower internal heat production, since fiber digestion is thermogenic (Ferreira et al., 2006). Consequently, ruminating and resting activities tend to shift to early morning and nighttime hours (Polsky and von Keyserlingk, 2017; Poulopoulou et al., 2019; Souza et al., 2019).
In this study, grazing activity peaked between 2:35 p.m. and 5:30 p.m. (time interval 3), resting and other activities were most frequent from 5:30 a.m. to 9:30 a.m. (time interval 1), and rumination was most common between 9:35 a.m. and 2:30 p.m. (time interval 2; Figure 3). These patterns align with the natural behavior of grazing animals (Kilgour et al., 2012). Thus, both the L and LF systems appear to have provided good housing conditions, as further indicated by the longer grazing durations relative to other activities. Kilgour et al. (2012) reported that an average grazing time of around 6.1 hours is adequate; in this study, animals grazed for an average of 6.5 hours across both systems. The availability of ample forage (Table 1) allowed animals to meet their intake needs within a time frame that did not interfere with rumination, social interaction, or idling (Cortés Fernández de Arcipreste et al., 2018). Maintaining regular rumination is essential for cattle’s energy balance (Grant and Dann, 2015), and reductions in rumination can lead to acidosis (Owens et al., 1998), impairing welfare and productivity.
Thermal comfort, as indicated by THI, was similar across systems and exceeded the critical threshold of 71 only at evaluations 8 and 10 (Table 3). Body surface temperature reached its peak at evaluations 6 and 10 and was significantly higher in the L system; however, the average temperature did not exceed 35 °C (Table 3). This is important, as body surface temperature below 35 °C allows thermolysis to occur, establishing a thermal gradient between the body core and surface that enables effective heat dissipation (Collier et al., 2006). Lower ambient temperatures, as provided by the LF system (Figure 2), facilitate this process. Although surface temperatures remained within physiological limits in both systems, animals in the LF system had significantly lower body surface temperature, by about 2.5 °C (Table 3), suggesting better heat dissipation and thermal adaptation in systems with tree cover. Broom (2017) also highlighted the benefits of shade in silvopastoral systems, reporting reductions of up to 4 °C in body surface temperature compared to systems without tree cover.
4.3 Good health
Throughout the evaluation period, locomotion score in both systems remained at 1, indicating no signs of lameness or mobility issues (Table 3). This is a positive welfare indicator, as movement problems cause pain, discomfort, and fear (Leach et al., 2009b; Bautista-Fernández et al., 2021). Fecal consistency score were close to 2 in both systems while nasal discharge and coughing were infrequent (Table 3), and no animals showed signs of labored breathing during any of the assessments.
Ectoparasite infestation scores for botfly, horn flies, and ticks did not differ between systems but were higher during warmer months (Table 3), which is expected given seasonal parasite dynamics. A corresponding increase in the occurrence of injuries was observed during periods with higher infestation scores (Table 3), likely due to direct damage from the parasites (e.g., myiasis) or self-inflicted trauma from scratching (Morel et al., 2017; Rashid et al., 2018).
Contrary to findings by Murgueitio and Giraldo (2009), who reported lower parasite loads in silvopastoral systems because of increased biodiversity and the presence of natural predators, this study found no such advantage in the LF system. This suggests that other local or system-specific factors may influence ectoparasite dynamics more strongly than tree cover alone.
4.4 Appropriate behavior
Handlers’ actions influence animal behavior during handling. It is well established that aggressive handling negatively affects animal welfare, increases fear toward humans, and makes animals more reactive (Grandin, 1997; Hemsworth, 2007; Hemsworth and Coleman, 2010). Flight zone and escape speed are indicators of the quality of the human-animal relationship: shorter flight zone and lower escape speed reflect better interaction between handlers and animals (Hemsworth et al., 2000; Welfare Quality, 2009; Grajales-Cedeño and Da Costa, 2024).
In this study, flight zone was 63% greater in the L system compared to the LF system (Table 3), suggesting that the presence of trees contributed to a better human-animal relationship. Mancera and Galindo (2011) and Ocampo et al. (2011) reported that fear of humans may decrease when animals are partially concealed, which helps improve human-animal interaction. In this context, animals in the LF system—exposed to an environment that allowed partial concealment—appeared to show reduced fear responses toward humans. Additionally, the reactivity score was 85% higher in the L system compared to the LF system (Figure 4), indicating that animals in the latter system were better able to cope with and adapt to their environment. It is important to highlight that animals in both systems were handled calmly and quietly, in accordance with the understanding that handler attitudes are the primary determinant of handling quality (Grandin, 2016).
There is a direct relationship between reactivity score and escape speed: stressed cattle typically show higher reactivity and leave the chute more rapidly (Grajales-Cedeño and Da Costa, 2024). However, as shown in Figure 4, instances in the P system where a reactivity score of 5 was recorded coincided with slower escape speed. This may be explained by the intense tension experienced by highly reactive animals, which can lead to paralysis and muscle tremors (Da Silva et al., 2024), ultimately resulting in slower escape speed.
The results related to appropriate behavior and good housing (in terms of body surface temperature) show that integrating livestock-forestry facilitated the expression of more adaptive behaviors. This highlights the understanding that domestication deprived animals of resources beneficial to their behavior, and environmental enrichment increased welfare indices. The LF system reduced flight zone by 63%, suggesting greater tolerance to human presence, and decreased reactivity score by 85% compared to the L system. These findings highlight the behavioral plasticity of cattle fostered by domestication, enabling them to respond differently in tree-integrated systems. These results corroborate those of Améndola et al. (2016), who found that tree-covered systems enhance herd social stability and reduce aggressive behaviors, thereby improving animal welfare. Nevertheless, it is worth emphasizing that, for the principles of good feeding, good housing (in terms of rest and rumination time), and good health, both systems were effective in providing conditions that enabled animals to achieve welfare. This suggests that cattle can adapt to different environments (Pacheco et al., 2020; Martin et al., 2021; Santos et al., 2022; Da Silva et al., 2024).
Based on these findings, both systems were capable of supporting cattle welfare. However, caution is needed in generalizing, since both livestock systems in this study provided the following: appropriate handling; feed supply pasture according to demand; clean, fresh, and freely accessible water; stocking densities that allowed equitable access to pasture resources; ongoing health monitoring and veterinary supervision; facilities that reduced fear and anxiety and allowed natural behavior expression. Moreover, the experimental site’s subtropical climate—with mean temperatures ranging between 12.5 and 22.5 °C—supported thermal homeostasis. Therefore, it is emphasized that changes in production systems or the use of other technologies must be combined with meeting the basic needs of animals already known in the literature.
The growing demand for livestock systems that combine sustainability with animal welfare is evident (Nalon et al., 2021). Welfare is a fundamental component of sustainability and plays a crucial role in both productivity and consumer acceptance of animal products (Alonso et al., 2020; Del Campo et al., 2024). In this regard, the silvopastoral system provides numerous advantages: increased biodiversity (Sales-Baptista and Ferraz-de-Oliveira, 2021; Kinneen et al., 2023), improved soil fertility and hydraulic properties (Liu et al., 2024; Romanoski et al., 2025), better management of invasive plant species (Munaro et al., 2023), income diversification (Röhrig et al., 2020), lower thermal stress and improved reproductive performance (Huertas et al., 2021; Lemes et al., 2021), as well as a potential strategy to mitigate greenhouse gas emissions (Portugal et al., 2023). This study contributes new information into the interaction and adaptation of beef cattle to pasture environments with and without tree cover, and the effects on welfare and productivity.
5 Conclusion
Cattle raised in the integrate livestock-forestry system (LF) showed superior outcomes in the welfare criteria related to human-animal interaction, absence of fear, and thermal comfort. Specifically, animals in the LF system exhibited a 63% shorter flight zone, an 85% lower reactivity score, and lower body surface temperature compared to those in the livestock system (L). These findings suggest improved thermal comfort, better behavioral adaptation, and more positive interactions with handlers. Nevertheless, both livestock production systems—L and LF—were effective in providing adequate welfare conditions for the criteria of absence of prolonged hunger and thirst, comfort during rest, and absence of injuries and disease.
Data availability statement
The raw data supporting the conclusions of this article will be made available by the authors, without undue reservation.
Ethics statement
The animal studies were approved by COMISSÃO DE ÉTICA NO USO DE ANIMAIS (CEUA) DO SETOR DE CIÊNCIAS AGRÁRIAS DA UNIVERSIDADE FEDERAL DO PARANÁ - BRASIL. The studies were conducted in accordance with the local legislation and institutional requirements. Written informed consent was obtained from the owners for the participation of their animals in this study.
Author contributions
DM: Project administration, Visualization, Formal Analysis, Validation, Data curation, Resources, Supervision, Methodology, Conceptualization, Funding acquisition, Writing – review & editing, Software, Writing – original draft, Investigation. RM: Supervision, Investigation, Writing – review & editing, Project administration, Validation, Data curation. BR: Data curation, Project administration, Supervision, Writing – review & editing, Investigation. LO: Writing – review & editing, Funding acquisition, Methodology, Resources, Investigation, Visualization. AM: Resources, Project administration, Funding acquisition, Writing – original draft, Conceptualization.
Funding
The author(s) declare financial support was received for the research and/or publication of this article. This work was supported by the Coordenação de Aperfeiçoamento de Pessoal de Nível Superior (CAPES) – Brazil through the provision of a scholarship.
Acknowledgments
The authors thank all students and faculty members involved in the NITA (Núcleo de Inovação Tecnológica em Agropecuária) experimental protocol at the Federal University of Paraná (UFPR). We also thank the LABEA (Laboratório de Bem-Estar Animal), especially Professor Carla Forte Maiolino Molento for her assistance with the thermographic analyses.
Conflict of interest
The authors declare that the research was conducted in the absence of any commercial or financial relationships that could be construed as a potential conflict of interest.
Generative AI statement
The author(s) declare that no Generative AI was used in the creation of this manuscript.
Any alternative text (alt text) provided alongside figures in this article has been generated by Frontiers with the support of artificial intelligence and reasonable efforts have been made to ensure accuracy, including review by the authors wherever possible. If you identify any issues, please contact us.
Publisher’s note
All claims expressed in this article are solely those of the authors and do not necessarily represent those of their affiliated organizations, or those of the publisher, the editors and the reviewers. Any product that may be evaluated in this article, or claim that may be made by its manufacturer, is not guaranteed or endorsed by the publisher.
References
Alonso M. E., González-Montaña J. R., and Lomillos J. M. (2020). Consumers’ concerns and perceptions of farm animal welfare. Animals 10, 385. doi: 10.3390/ani10030385
Améndola L., Solorio F., Ku-Vera J., Améndola-Massiotti R., Zarza H., and Galindo F. (2016). Social behaviour of cattle in tropical silvopastoral and monoculture systems. Anim. 10, 863–867. doi: 10.1017/S1751731115002475
Aubé L., Mialon M. M., Mollaret E., Mounier L., Veissier I., and des Roches A. D. B. (2022). Assessment of dairy cow welfare at pasture: measures available, gaps to address, and pathways to development of ad-hoc protocols. Animal. 16, 100597. doi: 10.1016/j.animal.2022.100597
Bautista-Fernández M., Estévez-Moreno L. X., Losada-Espinosa N., Villarroel M., María G. A., De Blas I., et al. (2021). Claw disorders as iceberg indicators of cattle welfare: evidence-based on production system, severity, and associations with final muscle pH. Meat Sci. 177, 108496. doi: 10.1016/j.meatsci.2021.108496
Bouchez-Zacria M., Payne A., Girard S., Richomme C., Boschiroli M., Marsot M., et al. (2023). Spatial association of Mycobacterium bovis infection in cattle and badgers at the pasture interface in an endemic area in France. Prev. Vet. Med. 220, 106044. doi: 10.1016/j.prevetmed.2023.106044
Broom D. M. (1986). Indicators of poor welfare. Br. Vet. J. 142, 524–526. doi: 10.1016/0007-1935(86)90109-0
Broom D. M. (2017). Components of sustainable animal production and the use of silvopastoral systems. Rev. Bras. Zootec. 46, 683–688. doi: 10.1590/s1806-92902017000800009
Broom D. M. and Fraser A. F. (2015). Domestic animal behaviour and welfare. 5th Ed. Wallingford: CABI pp, 153–155. doi: 10.1079/9781780645391.0153
Brörkens N., Plesch G., Laister S., Zucca D., Winckler C., Minero M., et al. (2009). Reliability testing concerning behaviour around resting in cattle in dairy cows and beef bulls. Welfare Qual. Rep. 11, 7–24.
Burrow H. M. (1997). Measurements of temperament and their relationships with performance traits of beef cattle. Anim. Breed. Abstr. 65, 477–494. doi: 10.5555/19970104576
Burrow H. M., Seifert G. W., and Cobert N. J. (1988). A new technique for measuring temperament in cattle. Aust. Soc Anim. Prod. 17, 154–157.
Collier R. J., Dahl G. E., and VanBaale M. J. (2006). Major advances associated with environmental effects. J. Dairy Sci. 89, 1244–1253. doi: 10.3168/jds.s0022-0302(06)72193-2
Cortés Fernández de Arcipreste N., Mancera K. F., Miguel-Pacheco G. G., and Galindo F. (2018). Plasticity and consistency of lying and ruminating behaviours of heifers exposed to different cubicle availability: a glance at individuality. Appl. Anim. Behav. Sci. 205, 1–7. doi: 10.1016/j.applanim.2018.05.020
Culley C., Janzen A., Brown S., Prendergast M. E., Shipton C., Ndiema E., et al. (2021). Iron Age hunting and herding in coastal eastern Africa: ZooMS identification of domesticates and wild bovids at Panga ya Saidi. Archaeol. Sci. 130, 105368. doi: 10.1016/j.jas.2021.105368
Da Silva W., Da Silva J., Martorano L., Da Silva E., Belo T., Neves K., et al. (2024). Characterization of the temperament and reactivity of Nelore cattle (Bos indicus) associated with behavior scores during corral management in the humid tropics. Anim. 14, 1769. doi: 10.3390/ani14121769
Del Campo M., Montossi F., De Lima J., and Brito G. (2024). Future cattle production: animal welfare as a critical component of sustainability and beef quality, a South American perspective. Meat Sci. 219, 109672. doi: 10.1016/j.meatsci.2024.109672
Do Nascimento Barreto A., Junior W. B., Pezzopane J. R. M., De Campos Bernardi A. C., De Faria Pedroso A., Marcondes C. R., et al. (2022). Thermal comfort and behavior of beef cattle in pasture-based systems monitored by visual observation and electronic device. Appl. Anim. Behav. Sci. 253, 105687. doi: 10.1016/j.applanim.2022.105687
FAO (2025). Food and Agriculture Organization of the United Nations: FAOSTAT - Crops and livestock products. Available online at: https://www.fao.org/faostat/en/data/QCL. (Accessed August 20, 2025).
Felius M., Beerling M. L., Buchanan D. S., Theunissen B., Koolmees P. A., and Lenstra J. A. (2014). On the history of cattle genetic resources. Diversity 6, 705–750. doi: 10.3390/d6040705
Ferreira F., Pires M. F. A., Martinez M. L., Coelho S. G., Carvalho A. U., Ferreira P. M., et al. (2006). Parâmetros fisiológicos de bovinos cruzados submetidos ao estresse calórico. Arq. Bras. Med. Vet. Zootec. 58, 732–738. doi: 10.1590/s0102-09352006000500005
Fordyce G., Goddard M. E., and Seifert G. W. (1982). The measurement of temperament in cattle and the effect of experience and genotype. CABI
Geigl E. (2008). Palaeogenetics of cattle domestication: methodological challenges for the study of fossil bones preserved in the domestication centre in Southwest Asia. C. R. Palevol 7, 99–112. doi: 10.1016/j.crpv.2008.02.001
Giro A., Pezzopane J. R. M., Junior W. B., De Faria Pedroso A., Lemes A. P., Botta D., et al. (2019). Behavior and body surface temperature of beef cattle in integrated crop-livestock systems with or without tree shading. Sci. Total Environ. 684, 587–596. doi: 10.1016/j.scitotenv.2019.05.377
Grajales-Cedeño J. and Da Costa M. (2024). Habituation of crossbred beef calves to corral handling reduces their reactivity and improves performance. Appl. Anim. Behav. Sci. 277, 106343. doi: 10.1016/j.applanim.2024.106343
Grandin T. (1997). Assessment of stress during handling and transport. J. Anim. Sci. 75, 249. doi: 10.2527/1997.751249x
Grandin T. (2016). Evaluation of the welfare of cattle housed in outdoor feedlot pens. Vet. Anim. Sci. 1–2, 23–28. doi: 10.1016/j.vas.2016.11.001
Grant R. J. and Dann H. M. (2015). Biological importance of rumination and its use on-farm. New York: Chazy, Miner Agricultural Research Institute.
Halstead P., Isaakidou V., and Makarouna N. (2024). τhe domestication of southwest Asian ‘farmyard animals’: possible insights from management of feral and free-range relatives in Greece. J. Anthropol. Archaeol. 75, 101609. doi: 10.1016/j.jaa.2024.101609
Hearnshaw P. H. and Morris C. A. (1984). Genetic and environmental effects on temperamento score in beef cattle. Aust. J. Agric. Res. 35, 723–733. doi: 10.1071/ar9840723
Hemsworth P. (2007). Ethical stockmanship. Aust. Vet. J. 85, 194–200. doi: 10.1111/j.1751-0813.2007.00112
Hemsworth P. H. and Coleman G. J.. (2010). Human-livestock interactions: the stockperson and the productivity and welfare of intensively farmed animals. CABI. doi: 10.1079/9781845936730.0000
Hemsworth P. H., Coleman G. J., Barnett J. L., and Borg S. (2000). Relationships between human-animal interactions and productivity of commercial dairy cows. J. Anim. Sci. 78, 2821. doi: 10.2527/2000.78112821x
Herbut P., Angrecka S., Gody´n D., and Hoffmann G. (2019). The physiological and productivity effects of heat stress in cattle—a review. Ann. Anim. Sci. 19, 579–593. doi: 10.2478/aoas-2019-0011
Herrero M., Havlík P., Valin H., Notenbaert A., Rufino M. C., Thornton P. K., et al. (2013). Biomass use, production, feed efficiencies, and greenhouse gas emissions from global livestock systems. Proc. Natl. Acad. Sci. U.S.A. 110, 20888–20893. doi: 10.1073/pnas.1308149110
Huertas S., Bobadilla P., Alcántara I., Akkermans E., and Van Eerdenburg F. (2021). Benefits of silvopastoral systems for keeping beef cattle. Anim. 11, 992. doi: 10.3390/ani11040992
Huertas S., da Costa M. P., Manteca X., Galindo F., and Morales M. (2009). An overview of the application of the animal welfare assessment system in Latin America. Welfare Qual. Rep. 12, 70–89.
Junior N. K., Miyagi E. S., de Oliveira C. C., Mastelaro A. P., de Aguiar Coelho F., Bayma G., et al. (2021). Spatiotemporal variations on infrared temperature as a thermal comfort indicator for cattle under agroforestry systems. J. Therm. Biol. 97, 102871. doi: 10.1016/j.jtherbio.2021.102871
Kelly E., McAloon C. G., O’Grady L., Duane M., Somers J. R., and Beltman M. E. (2020). Cow-level risk factors for reproductive tract disease diagnosed by 2 methods in pasture-grazed dairy cattle in Ireland. J. Dairy Sci. 103, 737–749. doi: 10.3168/jds.2019-17064
Kilgour R. J., Uetake K., Ishiwata T., and Melville G. J. (2012). The behaviour of beef cattle at pasture. Appl. Anim. Behav. Sci. 138, 12–17. doi: 10.1016/j.applanim.2011.12.001
Kim N. Y., Kim S. J., Jang S. Y., Seong H. J., Yun Y. S., and Moon S. H. (2019). Characteristics of vocalisation in Hanwoo cattle (Bos taurus coreanae) under different call-causing conditions. Anim. Prod. Sci. 59, 2169. doi: 10.5555/20193524957
Kinneen L., Escobar M., Hernandez L., Thompson J., Ramos-Pastrana Y., Córdoba-Suarez E., et al. (2023). Silvopastoral systems benefit invertebrate biodiversity on tropical livestock farms in Caquetá, Colombia. Agric. For. Entomol. 26, 126–134. doi: 10.1111/afe.12594
Kruchelski S., Trautenmüller J. W., Orso G. A., Triches G. P., Porfírio-da-Silva V., and De Moraes A. (2022). Growth and productivity of Eucalyptus benthamii in integrated crop–livestock systems in southern Brazil. Agrofor. Syst. 97, 45–57. doi: 10.1007/s10457-022-00785-0
Leach K. A., Knierim U., and Whay H. R. (2009a). Condition scoring for dairy and beef cattle and veal calves. Welfare Qual. Rep. 11, 1–6.
Leach K. A., Winckler C., and Whay H. R. (2009b). Lameness in dairy and beef cattLe and veaL caLves. Welfare Qual. Rep. 11, 35–41.
Lemes A. P., Garcia A. R., Pezzopane J. R. M., Brandão F. Z., Watanabe Y. F., Cooke R. F., et al. (2021). Silvopastoral system is an alternative to improve animal welfare and productive performance in meat production systems. Sci. Rep. 11, 14092. doi: 10.1038/s41598-021-93609-7
Liu P., Cheng F., Hu J., Li M., Wang X., You S., et al. (2024). Effects of silvopastoral systems on soil nutrient properties in the low hilly area of western Henan province, China. Agrofor. Syst. 98, 1343. doi: 10.1007/s10457-024-01006-6
Lowman B. G., Scott N. A., and Somerville S. H. (1976). Condition scoring of cattle. Edinburgh: Edinburgh School Agric. 5.
Mancera A. K. and Galindo F. (2011). “Evaluation of some sustainability indicators in extensive bovine stockbreeding systems in the state of Veracruz,” in VI reunión nacional de innovación forestal (León Guanajuato, México), 31.
Mariottini F., Giuliotti L., Gracci M., Benvenuti M., Salari F., Arzilli L., et al. (2022). The ClassyFarm system in Tuscan beef cattle farms and the association between animal welfare level and productive performance. Anim 12, 1924. doi: 10.3390/ani12151924
Martin D. M., Moraes R. F., Cintra M. C. R., Lang C. R., Monteiro A. L. G., Oliveira L. B. D., et al. (2021). Beef cattle behavior in integrated crop-livestock systems. Ciênc. Rural 52, e20210143. doi: 10.1590/0103-8478cr20210143
Mezzalira J. C., Carvalho P. C. D. F., Fonseca L., Bremm C., Reffatti M. V., Poli C. H. E. C., et al (2011). Aspectos metodológicos do comportamento ingestivo de bovinos em pastejo. Rev. Bras. Zootec 40, 1114–1120. doi: 10.1590/S1516-35982011000500024
Morel N., Signorini M. L., Mangold A. J., Guglielmone A. A., and Nava S. (2017). Strategic control of Rhipicephalus (Boophilus) microplus infestation on beef cattle grazed in Panicum maximum grasses in a subtropical semi-arid region of Argentina. Prev. Vet. Med. 144, 179–183. doi: 10.1016/j.prevetmed.2017.06.006
Mott G. O. and Lucas H. L. (1952). The design, conduct and interpretation of grazing trials on cultivated and improved pastures. In: Int. Grassland Congress 6, 1380–1395.
Munaro M., Barroso A., Dominschek R., Roncatto E., Michelon T., and Schuster M. (2023). Silvopastoral system in subtropical Brazil keeps forage cover stable and prevents weed outbreaks. Agrofor. Syst. 97, 985–994. doi: 10.1007/s10457-023-00841-3
Murgueitio E. and Giraldo C. (2009). Sistemas silvopastoriles y control de parasitos. Rev. Carta Fedegán 115, 60–63.
Nalon E., Contiero B., Gottardo F., and Cozzi G. (2021). The welfare of beef cattle in the scientific literature from 1990 to 2019: a text mining approach. Front. Vet. Sci. 7. doi: 10.3389/fvets.2020.588749
Ocampo A., Cardozo A., Tarazona A., Ceballos M. C., and Murgueitio E. (2011). La investigación participativa en bienestar y comportamiento animal en el trópico de América: oportunidades para nuevo conocimiento aplicado. Rev. Colomb. Cienc. Pecu. 24, 332–346. doi: 10.17533/udea.rccp.324692
Oliveira C. C., Villela S. D. J., de Almeida R. G., Alves F. V., Behling-Neto A., and Martins P. G. M. A. (2014). Performance of Nellore heifers, forage mass, and structural and nutritional characteristics of Brachiaria brizantha grass in integrated production systems. Trop. Anim. Health Prod. 46, 167–172. doi: 10.1007/s11250-013-0469-1
Owens F., Secrist D., Hill W., and Gill D. (1998). Acidosis in cattle: a review. J. Anim. Sci. 76, 275–286. doi: 10.2527/1998.761275x
Pacheco V. M., Sousa R. V., Silva Rodrigues A. V., Souza Sardinha E. J., and Martello L. S. (2020). Thermal imaging combined with predictive machine learning based model for the development of thermal stress level classifiers. Livest. Sci. 241, 104244. doi: 10.1016/j.livsci.2020.104244
Paraná (1996). “Decreto n° 1753, de 06 de maio de 1996,” in Área de Proteção Ambiental do Iraí(Área de Proteção Ambiental do Iraí: Curitiba, PR).
Polsky L. and von Keyserlingk M. A. G. (2017). Invited review: effects of heat stress on dairy cattle welfare. J. Dairy Sci. 100, 8645–8657. doi: 10.3168/jds.2017-12651
Portugal T. B., de Faccio Carvalho P. C., de Campos B. M., Szymczak L. S., Savian J. V., Zubieta A. S., et al. (2023). Methane emissions and growth performance of beef cattle grazing multi-species swards in different pesticide-free integrated crop-livestock systems in southern Brazil. J. Clean. Prod. 414, 137536. doi: 10.1016/j.jclepro.2023.137536
Poulopoulou I., Lambertz C., and Gauly M. (2019). Are automated sensors a reliable tool to estimate behavioural activities in grazing beef cattle? Appl. Anim. Behav. Sci. 216, 1–5. doi: 10.1016/j.applanim.2019.04.009
Rashid M., Rashid M. I., Akbar H., Ahmad L., Hassan M. A., Ashraf K., et al. (2018). A systematic review on modelling approaches for economic losses studies caused by parasites and their associated diseases in cattle. Parasitology 146, 129–141. doi: 10.1017/s0031182018001282
Ripamonti A., Foggi G., Mantino A., Turini L., Goracci A., Silvi A., et al. (2025). Beef cattle performance and hair cortisol accumulation in silvopastoral and pastoral systems. Anim 19, 101425. doi: 10.1016/j.animal.2025.101425
Ritter C., Beaver A., and Von Keyserlingk M. A. G. (2019). The complex relationship between welfare and reproduction in cattle. Reprod. Domest. Anim. 54, 29–37. doi: 10.1111/rda.13464
Röhrig N., Hassler M., and Roesler T. (2020). Capturing the value of ecosystem services from silvopastoral systems: perceptions from selected Italian farms. Ecosyst. Serv. 44, 101152. doi: 10.1016/j.ecoser.2020.101152
Romanoski V. S., de Oliveira L. B., Figueiredo G. C., Mayer M. A., and Cavalieri-Polizeli K. M. V. (2025). Dynamic soil hydraulic properties in regenerative agriculture: effects of crop and forest integration in livestock systems. Soil Tillage Res. 253, 106680. doi: 10.1016/j.still.2025.106680
Sales-Baptista E. and Ferraz-de-Oliveira M. I. (2021). Grazing in silvopastoral systems: multiple solutions for diversified benefits. Agrofor. Syst. 95, 1–6. doi: 10.1007/s10457-020-00581-8
Santos M. D., Silva G. C. P., Musis C. R., Carvalho R. C. T., Headley S. A., Moura Soares L. C., et al. (2022). The detection of rectal temperature in dairy cattle by using infrared digital laser thermometer. Ens. Ciênc. C Biol. Agrár. Saúde 26, 252–255. doi: 10.17921/1415-6938.2022v26n2p252-255
Schnaider M. A., Heidemann M. S., Silva A. H., Taconeli C. A., and Molento C. F. (2022). Vocalization and other behaviors as indicators of emotional valence: The case of cow-calf separation and reunion in beef cattle. J. Vet. Behav. 49, 28–35. doi: 10.1016/j.jveb.2021.11.011
Schulze Westerath H., Leach K. A., Whay H. R., and Knierim U. (2009). Scoring of cattle: integument alterations of dairy and beef cattle and veal calves. Welfare Qual. Rep. 11, 43–50.
Schütz K. E., Rogers A. R., Poulouin Y. A., Cox N. R., and Tucker C. B. (2010). The amount of shade influences the behavior and physiology of dairy cattle. J. Dairy Sci. 93, 125–133. doi: 10.3168/jds.2009-2416
Shearer J. K., Stock M. L., Van Amstel S. R., and Coetzee J. F. (2013). Assessment and management of pain associated with lameness in cattle. Vet. Clin. North Am. Food Anim. Pract. 29, 135–156. doi: 10.1016/j.cvfa.2012.11.012
Souza W., Barbosa O. R., Marques J. A., Gasparino E., Cecato U., and Barbero L. M. (2010). Behavior of beef cattle in silvipastoral systems with eucalyptus. Rev. Bras. Zootec. 39, 677–684. doi: 10.1590/s1516-35982010000300029
Souza E. C., Salman A. K. D., Cruz P. G., Veit H. M., Carvalho G. A., Silva F. R. F., et al. (2019). Thermal comfort and grazing behavior of Girolando heifers in integrated crop-livestock (ICL) and crop-livestock-forest (ICLF) systems. Acta Sci. Anim. Sci. 41, 46483. doi: 10.4025/actascianimsci.v41i1.46483
St-Pierre N. R., Cobanov B., and Schnitkey G. (2003). Economic losses from heat stress by US livestock industries. J. Dairy Sci. 86, 52–77. doi: 10.3168/jds.S0022-0302(03)74040-5
Thom E. C. (1958). Cooling degree: day air conditioning, heating, and ventilating. Trans. Am. Soc Heating Refrig. Air-Condition. Engrs. 55, 65–72.
Thomsen P. T., Shearer J. K., and Houe H. (2023). Prevalence of lameness in dairy cows: a literature review. Vet. J. 295, 105975. doi: 10.1016/j.tvjl.2023.105975
Walker P. G., Constable P. D., Morin D. E., Drackley J. K., Foreman J. H., and Thurmon J. C. (1998). A reliable, practical, and economical protocol for inducing diarrhea and severe dehydration in the neonatal calf. Can. J. Vet. Res. 62, 205.
Webster J. (2012). Critical control points in the delivery of improved animal welfare. Anim. Welf. 21, 117–123. doi: 10.7120/096272812X13345905673962
Welfare Quality (2009). Welfare Quality® assessment protocol for cattle (Netherlands: Welfare Quality® Consortium, Lelystad).
Keywords: behavior, livestock, domestication, silvipastoral, agroforestry
Citation: Martin DM, Moraes RF, Ruthes BES, de Oliveira LB and de Moraes A (2025) Beef cattle welfare: the role of Integrated Systems in animal adaptation and productivity. Front. Ethol. 4:1656211. doi: 10.3389/fetho.2025.1656211
Received: 29 June 2025; Accepted: 12 September 2025;
Published: 07 October 2025.
Edited by:
Thiago Bernardino, Centro Universitário Padre Anchieta, BrazilReviewed by:
Domenico Vecchio, Experimental Zooprophylactic Institute of Southern Italy (IZSM), ItalyLuis de la Cruz Cruz, Metropolitan Autonomous University, Mexico
Copyright © 2025 Martin, Moraes, Ruthes, de Oliveira and de Moraes. This is an open-access article distributed under the terms of the Creative Commons Attribution License (CC BY). The use, distribution or reproduction in other forums is permitted, provided the original author(s) and the copyright owner(s) are credited and that the original publication in this journal is cited, in accordance with accepted academic practice. No use, distribution or reproduction is permitted which does not comply with these terms.
*Correspondence: Daniela Maria Martin, ZGFuaWVsYW1tYXJ0aW5AZ21haWwuY29t