SYSTEMATIC REVIEW article
Oncol. Rev.
Sec. Oncology Reviews: Reviews
This article is part of the Research TopicTranslational Epigenetics in Medicine: From Biomarker Discovery to Clinical ApplicationView all 4 articles
DNA methylation as prognostic factors in non-muscle invasive bladder cancer: a systematic review and meta-analysis
Provisionally accepted- 1King George's Medical University, Lucknow, India
- 2Dr Ram Manohar Lohia Institute of Medical Sciences, Lucknow, India
Select one of your emails
You have multiple emails registered with Frontiers:
Notify me on publication
Please enter your email address:
If you already have an account, please login
You don't have a Frontiers account ? You can register here
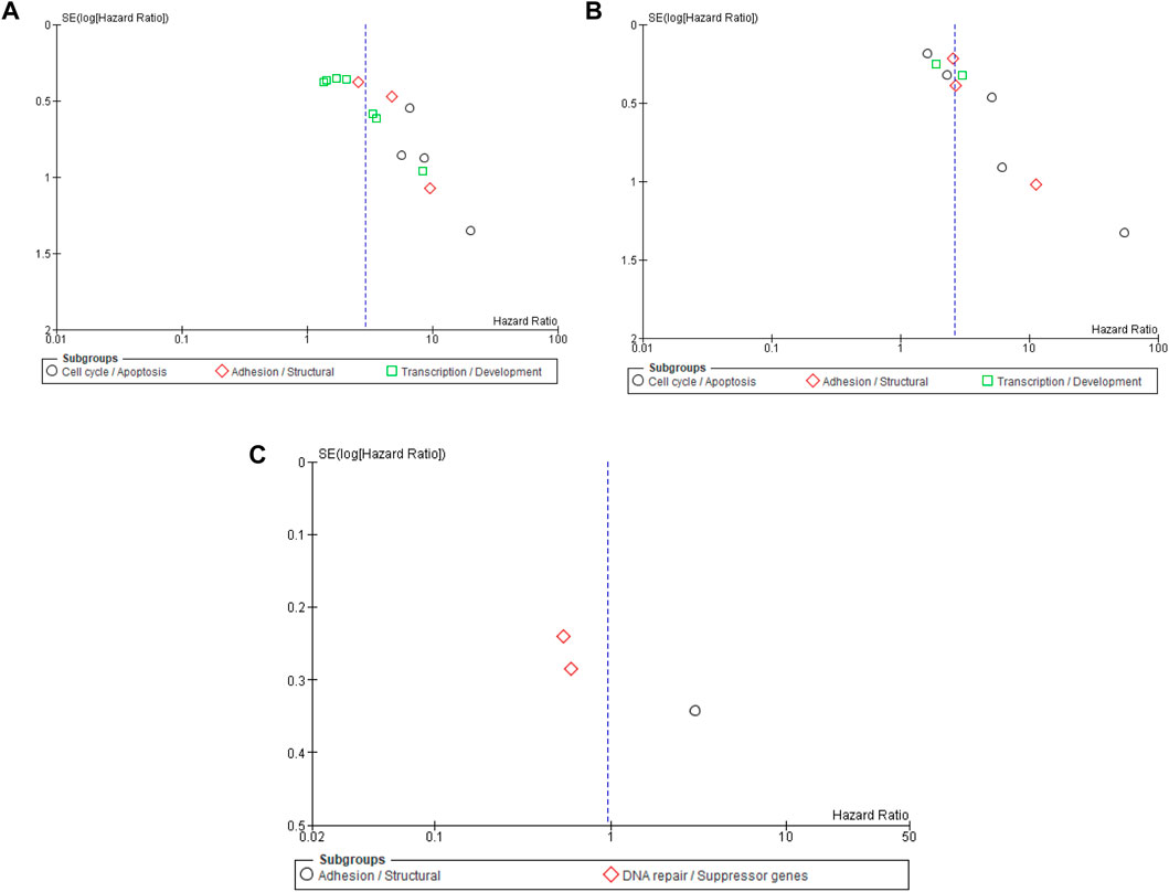
Abstract Introduction Early prognostication in non-muscle-invasive bladder cancer (NMIBC) is essential for optimizing therapy and follow-up. Epigenetic mechanisms, particularly DNA methylation, have emerged as promising biomarkers for predicting disease outcome. Materials and Methods A systematic review and meta-analysis were conducted according to PRISMA guidelines to evaluate the prognostic significance of promoter DNA methylation in NMIBC. Comprehensive searches of PubMed, Web of Science, Embase, MEDLINE, and the Cochrane Library (January 2010 – October 2022) identified eligible studies. The Newcastle-Ottawa Scale was used for quality assessment, and pooled hazard ratios (HRs) with 95% confidence intervals (CIs) were calculated using random-effects models. Results The 11 studies, including 3,065 NMIBC patients, were analyzed. Promoter methylation was significantly associated with poor progression-free survival (pooled HR = 2.88; 95% CI = 2.03–4.09; p < 0.0001) and recurrence-free survival (pooled HR = 2.65; 95% CI = 1.93–3.63; p < 0.0001). Although overall survival showed pathway-specific variation (pooled HR = 0.96; 95% CI = 0.36–2.60; p = 0.94), methylation of adhesion and apoptosis-related genes exhibited the strongest associations. Subgroup analyses revealed a greater prognostic impact in Asian cohorts (p < 0.0001), suggesting regional differences in epigenetic susceptibility. Conclusion: Promoter DNA methylation constitutes a robust prognostic biomarker for recurrence and progression in NMIBC, with stronger effects in Asian populations. Standardization of validated gene panels, assay thresholds, and cross-regional prospective validation will be essential for clinical translation. Integrating methylation-based classifiers into risk-stratification models could improve individualized management and long-term outcomes in NMIBC.
Keywords: Bladder cancer, NMIBC, prognostic, markers, DNA methylation biomarkers, Predictive factor
Received: 05 Aug 2025; Accepted: 31 Oct 2025.
Copyright: © 2025 Singh, Singh, Kumar, Shrivastava, Sahu, Jain and Pandey. This is an open-access article distributed under the terms of the Creative Commons Attribution License (CC BY). The use, distribution or reproduction in other forums is permitted, provided the original author(s) or licensor are credited and that the original publication in this journal is cited, in accordance with accepted academic practice. No use, distribution or reproduction is permitted which does not comply with these terms.
* Correspondence: Vishwajeet Singh, drvishwajeet68@gmail.com
Disclaimer: All claims expressed in this article are solely those of the authors and do not necessarily represent those of their affiliated organizations, or those of the publisher, the editors and the reviewers. Any product that may be evaluated in this article or claim that may be made by its manufacturer is not guaranteed or endorsed by the publisher.
