ORIGINAL RESEARCH article
Front. Reprod. Health
Sec. Gynecology
Natural Procreative Technology (NaProTechnology) for infertility: take-home baby rate and clinical outcomes in a 5-year single-center cohort of 1,310 couples
Provisionally accepted- 1Clínica Fertílitas, Madrid, Spain
- 2Universidad Francisco de Vitoria, Pozuelo de Alarcón, Spain
Select one of your emails
You have multiple emails registered with Frontiers:
Notify me on publication
Please enter your email address:
If you already have an account, please login
You don't have a Frontiers account ? You can register here
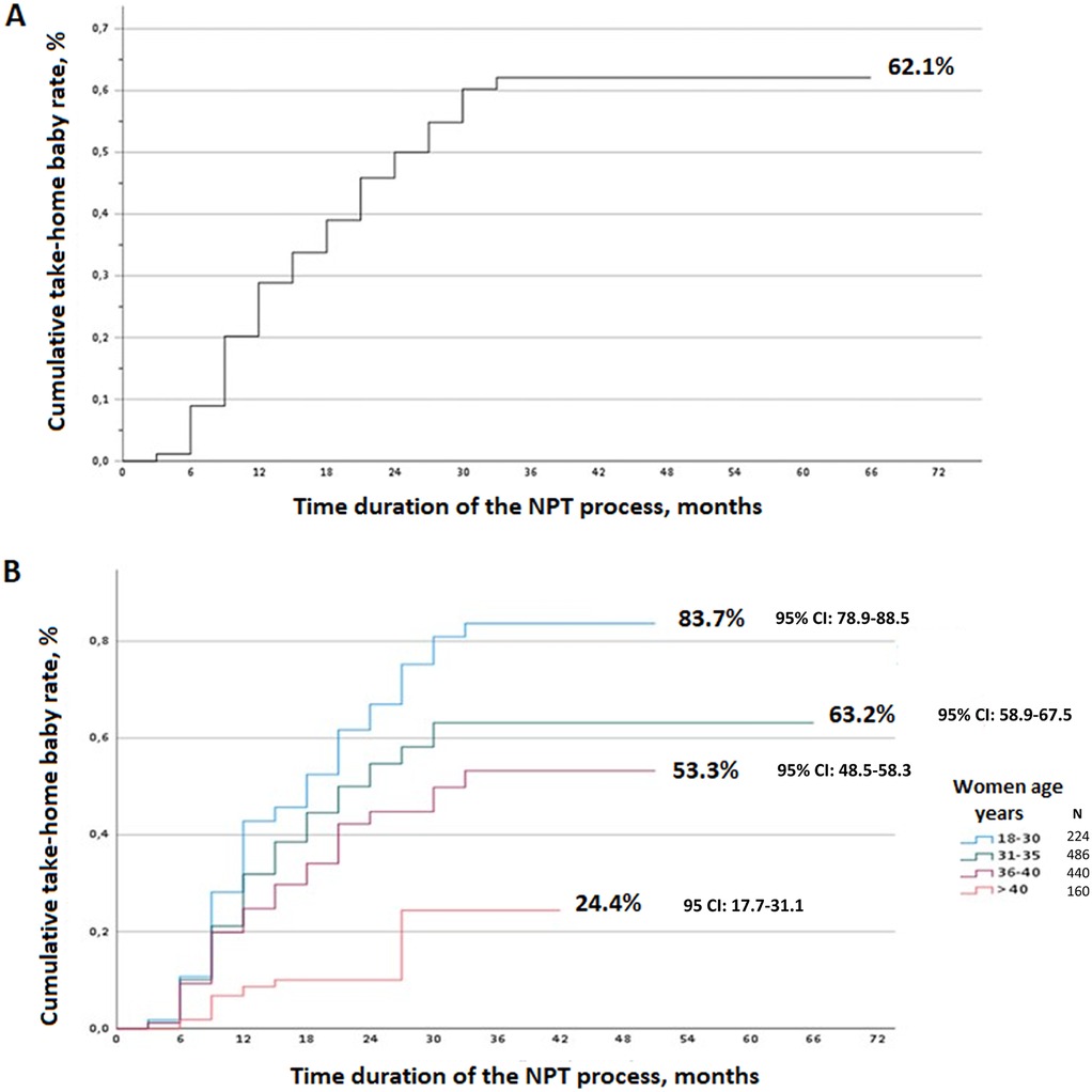
Introduction: Assisted reproductive technologies (ART) are widely used to address infertility; however, they are costly, associated with medical risks, and often yield suboptimal clinical outcomes. Natural Procreative Technology, also known as NaProTechnology (NPT), provides a systematic and integrative approach to infertility by thoroughly identifying and treating underlying medical conditions to restore the couple's natural fertility potential. Despite its promise, real-world data on NPT effectiveness remain limited. The objective of this study is to evaluate the take-home baby rate in a large population of infertile couples treated with NPT and to synthesize findings from previously published studies. Methods: A retrospective cohort study was conducted involving 1,310 infertile couples treated at a specialized fertility clinic in Spain over a 5-year period. Participants presented with primary or secondary infertility or recurrent pregnancy loss. Clinical data, diagnoses, and outcomes were analyzed, including surgical interventions and treatment duration. Results: The mean age of women and men was 35.0 (SD 4.4) and 36.9 (SD 5.3) years, respectively. Primary infertility was the most common subtype (73.5%), the median infertility duration was 24 months, and prior ART attempts were recorded in 27.5% of couples. Mean number of diagnoses per couple was 2.5 (SD 1.3). The crude take-home baby rate was 35.3% (N = 463). Independent predictors of successful take-home baby included female age, recurrent pregnancy loss as the reason for consultation, duration of infertility, and the presence of endometriosis, hormonal dysfunction, male factor, and endometrial disorders as diagnoses. Considering a median duration of NPT of 10.9 months (range 8.1–17.0), the adjusted cumulative take-home baby rate was 62.1%. Rates varied significantly by female age, with higher success observed in younger women: 83.7% at 18–30 years, 53.3% at 36–40 years, and 24.4% over 40 years. A sensitivity analysis was performed to assess the impact of dropout assumptions on cumulative pregnancy rates. Nearly one-third of patients underwent surgery, most commonly hysteroscopy and/or laparoscopy. Conclusion: In this cohort, NPT was associated with a notably high take-home baby rate in an infertile population with unfavorable prognostic factors, including advanced maternal age, prolonged duration of infertility, or previous failed attempts at conventional ART procedures.
Keywords: natural procreative technology, NaProTECHNOLOGY, infertility treatment, Take-home baby rate, fertilityrestorative medicine, Recurrent pregnancy loss, Reproductive Health, Endometriosis
Received: 01 Sep 2025; Accepted: 28 Oct 2025.
Copyright: © 2025 Sánchez-Méndez, Lombarte García, Abengózar Muela, Acosta Díez, Alonso Fernández, Cañones Castejón, Calderón Ruiz, Espinosa García, Galocha Morgado, Siegrist Ridruejo and Alonso Salvador. This is an open-access article distributed under the terms of the Creative Commons Attribution License (CC BY). The use, distribution or reproduction in other forums is permitted, provided the original author(s) or licensor are credited and that the original publication in this journal is cited, in accordance with accepted academic practice. No use, distribution or reproduction is permitted which does not comply with these terms.
* Correspondence: José Ignacio Sánchez-Méndez, jisanchezmendez@gmail.com
Disclaimer: All claims expressed in this article are solely those of the authors and do not necessarily represent those of their affiliated organizations, or those of the publisher, the editors and the reviewers. Any product that may be evaluated in this article or claim that may be made by its manufacturer is not guaranteed or endorsed by the publisher.
