SYSTEMATIC REVIEW article
Front. Reprod. Health
Sec. Adolescent Reproductive Health and Well-being
Prevalence of Sexual Coercion and Associated factors among Adolescents and Young Adults in Africa: A Systematic Review and Meta-Analysis
Provisionally accepted- 1Lead City University, Ibadan, Nigeria
- 2Obafemi Awolowo University, Ife, Nigeria
- 3Department of Global Public Health, Karolinska Institutet, Stockholm, Sweden
- 4Department of Community Medicine, University College Hospital Ibadan, Ibadan, Nigeria
- 5Bowen University, Iwo, Nigeria
- 6Taraba State College of Health Technology, Taraba, Nigeria
- 7Eko University of Medicine, Lagos, Nigeria
- 8Osun State University, Osogbo, Nigeria
- 9Lagos University Teaching Hospital, Surulere, Nigeria
- 10Nigerian Institute of Medical Research Foundation, Lagos, Nigeria
- 11Nanjing Medical University, Nanjing, China
- 12Alabastron Initiative, Lagos, Nigeria
- 13Center for Reproduction and Population Studies, Clinical Sciences Department, Nigerian Institute of Medical Research, Yaba. Lagos State, Lagos, Nigeria
- 14Nigerian Institute of Medical Research Foundation,, Lagos, Nigeria
Select one of your emails
You have multiple emails registered with Frontiers:
Notify me on publication
Please enter your email address:
If you already have an account, please login
You don't have a Frontiers account ? You can register here
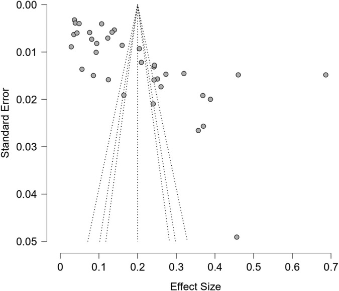
Sexual coercion is a major public health and human rights concern, yet its burden among African adolescents and young adults remains poorly synthesized. This review aimed to estimate the prevalence of sexual coercion in this population and examine variations by gender, setting, and region. We systematically searched Web of Science, Scopus, MEDLINE/PubMed, and CINAHL for studies published between January 2000 and June 2025. Two reviewers independently screened, extracted, and appraised eligible studies. A narrative synthesis was integrated with a random-effects meta-analysis due to anticipated high heterogeneity to derive pooled prevalence estimates and conduct subgroup analyses. Thirty-three studies involving 63,934 participants from 14 African countries were included. The pooled prevalence of sexual coercion was 20% (95% CI: 17–23%). Females reported higher prevalence (23%) than males (19%). School-based studies showed greater prevalence (26%) compared with community-based studies (16%). Sexual coercion remains a major public health and human rights concern among African adolescents, particularly school-going females. Strengthening school-and community-based programs that integrate comprehensive sexuality education on consent, negotiation, and gender equality is essential. Developing a standardized, context-sensitive tool for measuring sexual coercion will also enhance evidence quality and policy response.
Keywords: sexual violence, sexual abuse, Young people, Teenager, gender-based violence, Meta-analysis, Sub-Sahara Africa
Received: 03 Sep 2025; Accepted: 10 Nov 2025.
Copyright: © 2025 Aduroja, Afolabi, Bakare, Olabisi, Atinga, Bashiru, Solomon, Adufe, Oghide, Okeke, Abodunrin, Akinsolu and Sobande. This is an open-access article distributed under the terms of the Creative Commons Attribution License (CC BY). The use, distribution or reproduction in other forums is permitted, provided the original author(s) or licensor are credited and that the original publication in this journal is cited, in accordance with accepted academic practice. No use, distribution or reproduction is permitted which does not comply with these terms.
* Correspondence: Ayobami Bakare, bakare.ayobami.adebayo@ki.se
Disclaimer: All claims expressed in this article are solely those of the authors and do not necessarily represent those of their affiliated organizations, or those of the publisher, the editors and the reviewers. Any product that may be evaluated in this article or claim that may be made by its manufacturer is not guaranteed or endorsed by the publisher.
