ORIGINAL RESEARCH article
Front. Big Data
Sec. Data-driven Climate Sciences
This article is part of the Research TopicDemonstrating the causal impact of air pollution on climate changeView all articles
Inferring Causal Interplay between Air Pollution and Meteorology
Provisionally accepted- 1Electrical Engineering, Dalarna University, Falun, Sweden
- 2Universidad de Las Americas, Quito, Ecuador
Select one of your emails
You have multiple emails registered with Frontiers:
Notify me on publication
Please enter your email address:
If you already have an account, please login
You don't have a Frontiers account ? You can register here
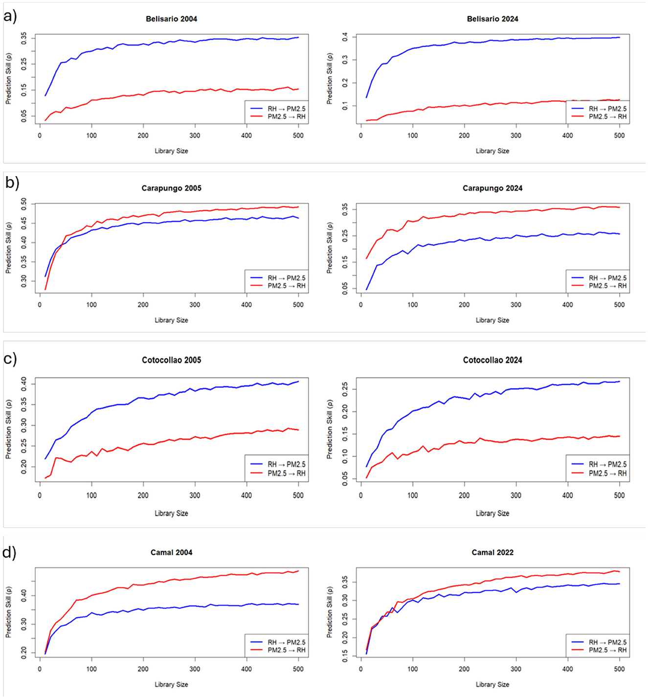
This study uses Convergent Cross Mapping (CCM), a nonlinear empirical dynamic modeling approach, to probe the bidirectional causal interplay between PM2.5 and relative humidity (RH) in Quito, Ecuador, over two decades (2004–2005 vs. 2022–2024) across four districts. Analyzed hourly data reveal statistically significant, nonlinear, and time-variant couplings: RH influences PM2.5 in the early 2000s, while PM2.5 increasingly drives RH by the early 2020s. Surrogate testing confirms robust causality (p < 0.05). Partial-derivative analyses show shifting interaction signs and strengths, with pollution increasingly suppressing RH, especially in northern districts, consistent with urban heat island amplification and radiative effects. The results underscore the importance of nonlinear causality frameworks for understanding pollution–climate feedbacks in high-altitude, complex-terrain cities and highlight policy implications for integrated air quality and climate strategies. Future work should expand variables and sites to generalize findings.
Keywords: Convergent cross mapping (CCM), Fine particulate matter (PM2.5), Relative humidity (RH), nonlinear causality, Urban Climate Dynamics
Received: 22 Sep 2025; Accepted: 28 Nov 2025.
Copyright: © 2025 Rybarczyk, Dave, Tapia-Flores and Zalakeviciute. This is an open-access article distributed under the terms of the Creative Commons Attribution License (CC BY). The use, distribution or reproduction in other forums is permitted, provided the original author(s) or licensor are credited and that the original publication in this journal is cited, in accordance with accepted academic practice. No use, distribution or reproduction is permitted which does not comply with these terms.
* Correspondence: Yves Philippe Rybarczyk
Disclaimer: All claims expressed in this article are solely those of the authors and do not necessarily represent those of their affiliated organizations, or those of the publisher, the editors and the reviewers. Any product that may be evaluated in this article or claim that may be made by its manufacturer is not guaranteed or endorsed by the publisher.
