ORIGINAL RESEARCH article
Front. Built Environ.
Sec. Urban Science
This article is part of the Research TopicAdvances in Urban Flood Studies: Modeling, Monitoring, Strategic Planning, and Lessons LearnedView all 4 articles
Efficient Disaster Damage Prediction Method Using Building Point Data and LTSM: A Case of Flood Disaster
Provisionally accepted- 1Faculty of Engineering, Kagawa University, Takamatsu, Japan
- 2Central Research Institute of Electric Power Industry (CRIEPI), Yokosuka, Yamanashi, Japan
Select one of your emails
You have multiple emails registered with Frontiers:
Notify me on publication
Please enter your email address:
If you already have an account, please login
You don't have a Frontiers account ? You can register here
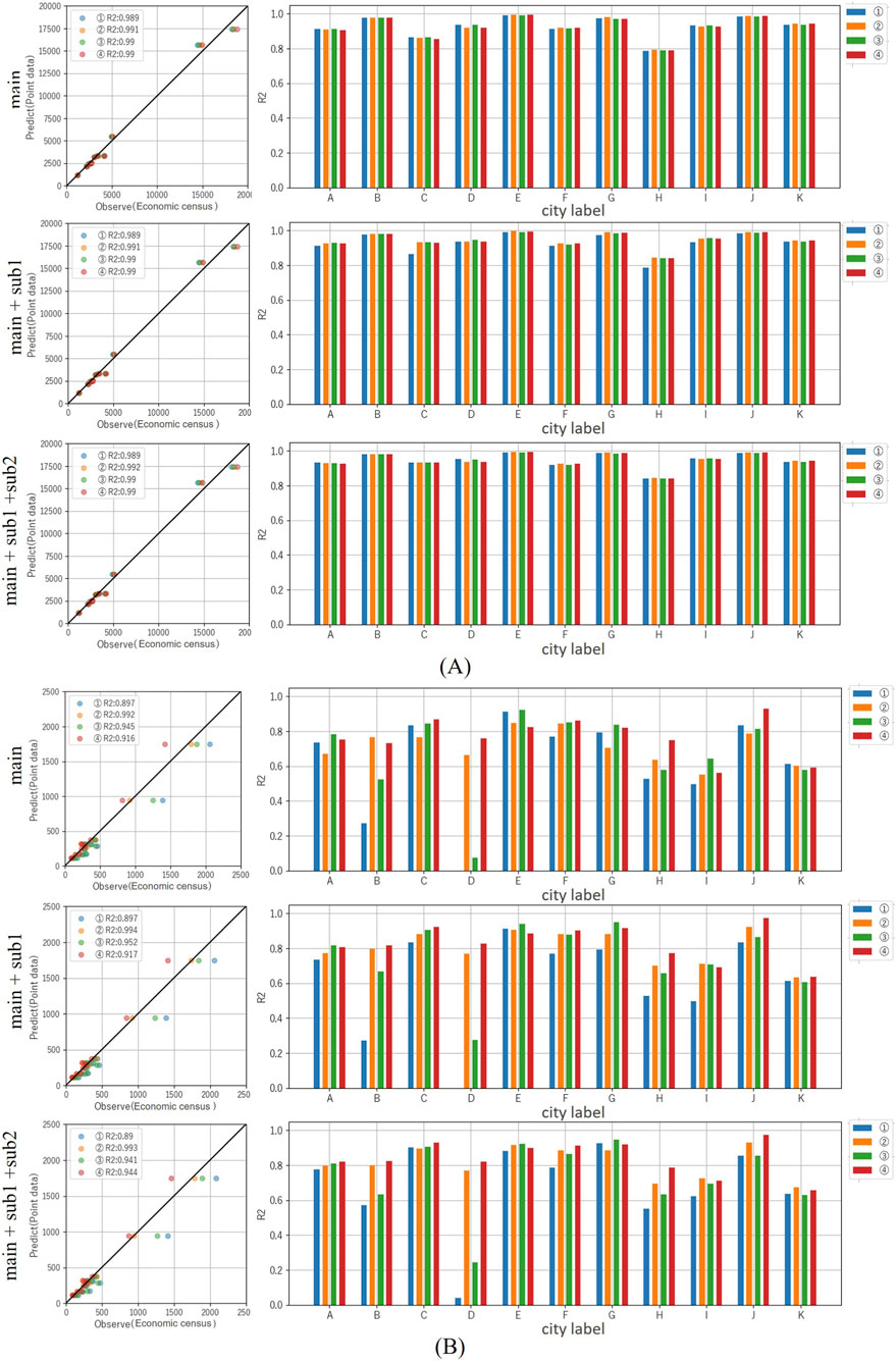
Accurate information on the location and use of individual buildings is essential for estimating impacts from disasters. However, even in developed countries, such data remains scarce, forcing reliance on aggregated statistics that obscure building-level impacts. We therefore propose a method for efficiently constructing point data on business facilities with industrial attributes for disaster analysis. We developed a multimodal industrial classification model within a Long Short-Term Memory (LSTM) framework. This model integrates business names from telephone directories with spatial context -business establishment statistics and land use zoning to probabilistically assign primary and secondary business types. As a result, an accuracy of approximately 83%–88% was achieved in industrial classification. The multimodal classification model contributed an average improvement of 13.0% in business establishment statistics and 5.4% in land use zoning for manufacturing predictions versus the non-multimodal case. The results of applying the damage and restoration functions from the manual to the prepared building data indicate variations ranging from 0%– 236% compared to a 500ⅿ grid-based damage method. The difference is significant compared to the accuracy of the building estimates, suggesting that it is desirable to change to building-based estimates.
Keywords: Flood disaster, Building point data, Industrial classification, LSTM, multimodal data fusion, Natural Language Processing
Received: 20 May 2025; Accepted: 17 Nov 2025.
Copyright: © 2025 Kabeyama, Kajitani, Ueno and Yuyama. This is an open-access article distributed under the terms of the Creative Commons Attribution License (CC BY). The use, distribution or reproduction in other forums is permitted, provided the original author(s) or licensor are credited and that the original publication in this journal is cited, in accordance with accepted academic practice. No use, distribution or reproduction is permitted which does not comply with these terms.
* Correspondence: Yoshihiro Kabeyama, s24d155@kagawa-u.ac.jp
Disclaimer: All claims expressed in this article are solely those of the authors and do not necessarily represent those of their affiliated organizations, or those of the publisher, the editors and the reviewers. Any product that may be evaluated in this article or claim that may be made by its manufacturer is not guaranteed or endorsed by the publisher.
