ORIGINAL RESEARCH article
Front. Built Environ.
Sec. Geotechnical Engineering
Experimental study on cemented filled annular tube of ultrafine flotation phosphorus tailings from a phosphorus mine
Provisionally accepted- 1Yunnan Phosphate Chemical Group Co., Ltd, Yunnan, China
- 2National Engineering Technology Research Center for Phosphorus Resources Development and Utilization, Kunming 650600, China;, Kunming, China
- 3Guizhou University, Guiyang, China
- 4Chongqing University, Chongqing, China
Select one of your emails
You have multiple emails registered with Frontiers:
Notify me on publication
Please enter your email address:
If you already have an account, please login
You don't have a Frontiers account ? You can register here
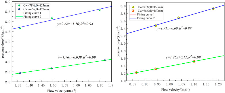
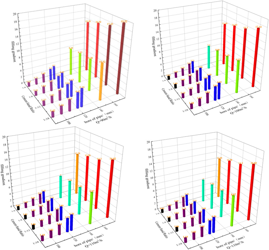
To investigate the rheological characteristics of the cemented filling of ultrafine flotation phosphorus tailings, an independently designed industrial-scale paste ring pipe experimental platform was used to obtain the pipe resistance loss of the filling slurry under different working conditions and the degree of influence of various factors on the resistance of the pipe; Simultaneously, the rheological parameters of the filling slurry under different conditions were calculated by combining with Bingham's fluid model, and the flow state and critical flow rate of the filling slurry were identified, and the inverse performance of the filling slurry with self-flowing conveyance under multifactorial conditions was investigated. The filling doubling line can realize self-flow transportation under multi-factor conditions. The test results reveal the following findings: 1) the flow rate has the greatest influence on the resistance loss of pipeline, followed by the flow rate, ash-sand ratio, slurry concentration and pipe diameter; 2) when the filling slurry flow rate is between 1.4-1.8m/s, the filling slurry flow state is the most stable; 3) under the pumping conditions, the Reynolds coefficient of the filling slurry is much smaller than 2100, indicating that the filling slurry flows in a laminar manner within the pipe; 4) the filling slurry with a mass concentration of 68% flows spontaneously in a pipe with an inner diameter of 150mm; 5) the filling slurry with an inner diameter of 150mm can be self-flowing and transported under multifactor conditions. The self-flow multiplier can reach 7.5-9.5 in the pipe with an inner diameter of 150mm, so it can be selected for self-flow transportation.
Keywords: Phosphorus tailings, ring pipe test, Rheological properties, Mechanical Properties, pressure drop
Received: 25 Aug 2025; Accepted: 13 Oct 2025.
Copyright: © 2025 Li, Yang, Wang, Pang, Pan, Zhang and Yuan. This is an open-access article distributed under the terms of the Creative Commons Attribution License (CC BY). The use, distribution or reproduction in other forums is permitted, provided the original author(s) or licensor are credited and that the original publication in this journal is cited, in accordance with accepted academic practice. No use, distribution or reproduction is permitted which does not comply with these terms.
* Correspondence: Mingli Yuan, 897035328@qq.com
Disclaimer: All claims expressed in this article are solely those of the authors and do not necessarily represent those of their affiliated organizations, or those of the publisher, the editors and the reviewers. Any product that may be evaluated in this article or claim that may be made by its manufacturer is not guaranteed or endorsed by the publisher.
