ORIGINAL RESEARCH article
Front. Built Environ.
Sec. Bridge Engineering
Numerical Investigation of Scour Behavior Around Complex Piers Under Flood Conditions
Provisionally accepted- 1Shanxi railway institute, Weinan, China
- 2Shandong Hi-Speed Road and Bridge international Engineering Co., Ltd, Jinan, China
Select one of your emails
You have multiple emails registered with Frontiers:
Notify me on publication
Please enter your email address:
If you already have an account, please login
You don't have a Frontiers account ? You can register here
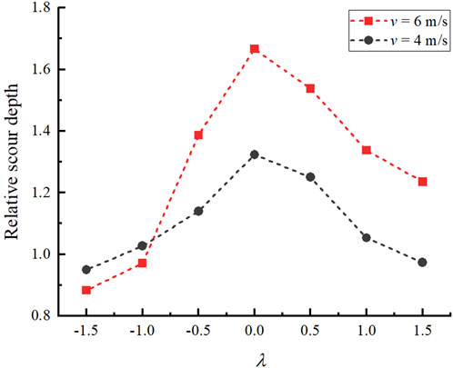
Local scour at bridge piers is a primary cause resulting bridge failure, a risk that is significantly exacerbated under extreme hydrodynamic events such as floods. This study presents a numerical investigation of the scour behavior around a complex bridge pier, consisting of a pier, pile cap, and pile group, focusing on the effect of pile cap embedment depth on the flow field and scour characteristics. A three-dimensional numerical model was developed based on a railway bridge, simulating scour processes under flow velocities of 4.0 m/s and 6.0 m/s. The results reveals that the relative embedment depth of the pile cap significantly influences the scour characteristics. When the pile cap is above the riverbed, the scour area predominantly develops in the longitudinal direction (along the flow), forming an inverted cone shape. Conversely, when the pile cap is embedded in the riverbed, both the scour extent and depth decrease significantly, with the scour predominantly concentrated on either side of the pile cap in a round end distribution. Furthermore, the maximum scour depth follows a nonlinear trend, initially increasing and then decreasing as the pile cap's elevation decreases. The maximum scour depth occurs when the pile cap is flush with the riverbed, while a significant reduction in scour depth is observed when the cap is fully embedded. The findings of this study provide practical guidance for the anti-scour design of bridge complex piers.
Keywords: Bridge Engineering1, Local Scour2, Numerical Simulation3, Complex Bridge Pier4, Embedment depth of Pile Cap5
Received: 11 Sep 2025; Accepted: 05 Nov 2025.
Copyright: © 2025 Yang, Qin, Shi, Li, Li, Qin and Ren. This is an open-access article distributed under the terms of the Creative Commons Attribution License (CC BY). The use, distribution or reproduction in other forums is permitted, provided the original author(s) or licensor are credited and that the original publication in this journal is cited, in accordance with accepted academic practice. No use, distribution or reproduction is permitted which does not comply with these terms.
* Correspondence: Zhiying Yang, 17713593052@163.com
Disclaimer: All claims expressed in this article are solely those of the authors and do not necessarily represent those of their affiliated organizations, or those of the publisher, the editors and the reviewers. Any product that may be evaluated in this article or claim that may be made by its manufacturer is not guaranteed or endorsed by the publisher.
