Your new experience awaits. Try the new design now and help us make it even better

ORIGINAL RESEARCH article

Front. Built Environ., 28 October 2025

Sec. Sustainable Design and Construction

Volume 11 - 2025 | https://doi.org/10.3389/fbuil.2025.1708488

This article is part of the Research TopicInnovative Structural Solutions and Materials for Sustainable Construction PracticesView all articles

Gypsum stabilization for enhancing the compressive behavior of rammed earth: experimental and statistical assessment

  • 1Department of Continuum Mechanics and Theory of Structures, Polytechnic University of Valencia, Valencia, Spain
  • 2Department of Civil and Environmental Engineering, University of Florence, Florence, Italy
  • 3Department of Structural Mechanics and Hydraulic Engineering, University of Granada, Granada, Spain

Gypsum has historically been used as an additive in rammed earth construction to enhance its mechanical properties. However, its application has declined in modern practice, and scientific literature on gypsum-stabilized rammed earth remains limited. This study investigates the effectiveness of gypsum as a stabilizer to improve the compressive behavior of rammed earth, presenting it as a sustainable alternative to Portland cement, which, despite its widespread use, entails higher environmental and economic costs. To assess the influence of gypsum, uniaxial compression tests were performed on rammed earth specimens with varying gypsum contents (0%–15%). The results demonstrate significant increases in compressive strength (up to 130%) and elastic modulus (up to 262%) with gypsum inclusion, with the highest values recorded for the 15% gypsum-stabilized mixture (3.2 MPa and 267 MPa, respectively). Statistical analysis, including analysis of variance (ANOVA), confirmed the significance of these enhancements, with only the difference in elastic modulus between the 10% and 15% mixtures showing no statistical significance. These findings highlight gypsum as a viable eco-friendly solution for improving the mechanical performance of rammed earth construction.

1 Introduction

The improvement of the mechanical properties of rammed earth (RE) has been a subject of study since ancient times to the present day. This construction technique, which allows the building of walls by compacting moist earth between temporary formwork, offers a good balance between its mechanical behavior, its cost, and–especially relevant in recent years–its limited environmental impact. However, when these mechanical properties are insufficient, RE also allows for the straightforward incorporation of additives to enhance its performance.

Additives can be classified into two main groups: fibers (synthetic or natural, improve the mechanical behavior of RE due to their shape) and chemically reactive mineral additives. The latter are also referred to as stabilizers, leading to the so-called stabilized rammed earth (SRE). The most common mineral stabilizer for RE nowadays is Portland cement, present in the majority of modern building projects using this technique, due to its capacity to significantly increase the compressive strength (also tensile and shear strength, although there are fewer studies in this regard) of the material (Ávila et al., 2022a). However, it should be noted that an extensive use of cement significantly reduces two of the main advantages of RE construction: reduced economic cost and low environmental impact (Arrigoni et al., 2017; Morel et al., 2001).

Some alternatives to cement can be found if one looks at traditional RE constructions. Traditional improvement techniques for RE include the use of a wide variety of additives, from natural fibers of animal or vegetable origin to chemical stabilizers such as lime or gypsum. Several studies in recent years have evaluated the behavior of RE stabilized with natural fibers (Koutous and Hilali, 2021; Laborel-Préneron et al., 2016; Raavi and Tripura, 2020) or lime (Ávila et al., 2022b; Arto et al., 2021; Ciancio et al., 2014), due to their potential to enhance the mechanical properties of the material with a reduced impact in its environmental cost. However, scientific studies on the effect of gypsum stabilization on the mechanical performance of RE remain very limited.

Gypsum is a soft sulfate mineral composed of calcium sulfate dihydrate (CaSO4.2H2O), commonly used in diverse fields, such as the building industry, agriculture, chemical industry and medical treatment (Jiang et al., 2024). For building applications, it is frequently employed in the form of gypsum binder, consisting of calcium sulfate in any of its various hydration phases (European Committee for Standardization, 2009) (e.g., hemihydrate or anhydrite). Like other common chemical stabilizers, such as cement or lime, gypsum modifies soil properties through cation exchange, and particle restructuring and bonding, while also promoting the formation of cementitious hydration products like calcium silicate hydrate and calcium aluminate hydrate in clayey soils (Abdolvand and Sadeghiamirshahidi, 2024; Latifi et al., 2018).

Gypsum was a common additive in traditional RE constructions in the southwestern zone of the Iberian Peninsula, both as a stabilizer mixed with the soil and as an external protection applied as a plaster to the wall surface (La Spina, 2016; Vegas et al., 2014; Mileto et al., 2021). Some examples of gypsum-stabilized rammed earth (GSRE) are the Mudéjar city walls of Teruel (14th century), the Almoad city walls of Seville (12th–13th centuries), and the tower of the Castle of Villel (12th–13th centuries) (Martín-del Rio et al., 2021; Sanz Zaragoza, 2014), in Spain, or the Castle of Silves (Portugal, 8th–13th centuries) (Varela Gomes and Varela Gomes, 2014). GSRE building technique has traditionally been used in these areas due to the availability of gypsum, but there are several other countries and regions (e.g., Northern Africa, South Africa, United States, Mexico, Argentina, China, India, Australia) with very significant gypsum production nowadays (Reichl and Schatz, 2024), which suggest that gypsum could be a competing stabilizer for RE (due to the reduced transportation costs) in several areas.

Despite this long tradition and the well-known applicability of gypsum for soil stabilization (Pu et al., 2021), there is a lack of scientific literature regarding GSRE. A few authors have presented case studies about gypsum-stabilized adobe (referred to as Alker) (Isik and Tulbentci, 2008; Pekmezci et al., 2012) and earth bricks (Ashour et al., 2015; Türkmen et al., 2017), all of them indicating the ability of gypsum to increase the compressive strength and improve the hygric performance of the earthen material. In addition, these studies indicate that the embodied energy of gypsum-stabilized earth is less than that of cement-stabilized earth, due to the lower production energy of gypsum compared to that of cement (Isik and Tulbentci, 2008). In fact, studies indicate that the production of one tonne of gypsum plaster generates about 0.05t  CO2 (Ecofys, 2009), a value significantly lower those estimated for cement (0.9t  CO2 t) (CEMBUREAU, 2013; Portland Cement Association, 2022) and lime (0.7t  CO2 t) (Shan et al., 2016) manufacturing.

Regarding rammed earth, gypsum stabilization has been explored only in a limited number of studies, including an MSc thesis from the Eindhoven University of Technology (Netherlands) (Vroomen, 2007) and a PhD thesis from the University of Florence (Italy) (Loccarini, 2017). The first study assessed the compressive strength of RE samples with gypsum contents ranging from 5% to 30%, observing an almost linear improvement and identifying 10% gypsum as the most effective content for stabilization. The latter investigated gypsum contents between 0% and 25%, reporting a maximum increase in compressive strength (+46%) at 15% gypsum. Additionally, this study suggested that gypsum may help reduce the linear shrinkage of RE during curing. However, these investigations represent only a few attempts at understanding gypsum stabilization in RE, and further research is required. In particular, no evaluation of other mechanical properties, such as the elastic modulus, was performed, leaving gaps in the comprehensive assessment of gypsum’s effects on RE compressive behavior.

In this context, the present study is developed with the aim of assessing the capacity of gypsum to enhance the mechanical behavior of rammed earth. Particularly, the effect of gypsum stabilization on the compressive strength and stiffness of RE is evaluated, as the main parameters that define the mechanical performance of this material. To this end, RE specimens with increasing gypsum contents were manufactured, cured, and subjected to uniaxial compression tests. Particular attention was paid to the manufacturing and compaction processes, following the Proctor compaction methodology to minimize dispersion in the results, which were subsequently analyzed and discussed, with their statistical significance validated through analysis of variance (ANOVA). Both careful preparation and statistical analysis are essential to ensure the relevance and accuracy of the findings in an intrinsically heterogeneous material like rammed earth.

2 Materials and methods

2.1 Materials

2.1.1 Soil

A soil identified as well-graded sand, according to the European Soil Classification System (EN ISO 14688-2 (European Committee for Standardization, 2018)), originating from the municipality of Seggiano (Grosseto, Italy) was used to manufacture the RE samples in this study. The natural soil was passed through an 8 mm sieve to remove the coarser particles, obtaining the particle size distribution shown in Figure 1. This resulting soil contains 14% clay, 31% silt, 42% sand and 13% gravel, in agreement with the recommendations found in several studies about RE (Bui and Morel, 2009; Burroughs, 2010; Corbin and Augarde, 2015; Loccarini et al., 2020; Walker et al., 2005). Table 1 shows the mineralogical composition of the Seggiano soil, evaluated through X-ray diffractometry, including clay minerals identification obtained by the interpretation of the variations of lattice distances related to the basal reflections that occur following specific treatments (Banchellil et al., 1997).

Figure 1
Line graph showing the percentage passing as a function of particle size in millimeters. The x-axis represents particle size on a logarithmic scale from 0.001 to 10 mm, and the y-axis shows passing percentage from 0 to 100. The trend is a steady increase from about 10% to 100% passing as particle size increases.

Figure 1. Particle size distribution of the soil.

Table 1
www.frontiersin.org

Table 1. Mineralogical and geotechnical properties of the Seggiano soil.

The consistency limits of the soil were determined following the procedure establish in ASTM D4318 (ASTM, 2017b), obtaining a plastic limit of 18%, liquid limit of 38% and plastic index equal to 20, all values within the recommended intervals for rammed earth construction (Houben et al., 1994; Maniatidis and Walker, 2003). Also a standard Proctor test (method C) was carried out according to ASTM D698 (ASTM, 2012b), obtaining the optimum moisture content (OMC), equal to 13%, and its corresponding maximum dry density (MDD), equal to 1,830 kg/m3.

2.1.2 Gypsum

Gypsum building plaster B1/20/2, according to European standard EN 13279-1 (European Committee for Standardization, 2009), with minimum compressive strength of 2.0 MPa at 28 days, was used as the RE stabilizer in the present study. The gypsum building plaster contains at least 50% calcium sulfate as the principle active binding component and not more than 50% calcium hydroxide (lime). Further chemical and physical properties of the gypsum plaster used for the stabilization of the samples are shown in Table 2.

Table 2
www.frontiersin.org

Table 2. Technical data of the B1/20/2 gypsum, as indicated by the manufacturer.

2.2 Specimen manufacturing

Four series of specimens were manufactured in this study, with increasing gypsum contents of 0%, 5%, 10% and 15% by weight, designated U, G5, G10 and G15, respectively. Each series consisted of four specimens, as shown in Figure 2B. The selected gypsum contents were defined based on prior work (Loccarini, 2017), which investigated various soils–including the one used in the present study–and different gypsum additions, showing both improved mechanical performance and a significant reduction in linear shrinkage for RE samples stabilized within the 0%–15% range.

Figure 2
Panel A shows a cylindrical metal container with soil inside, equipped with clamps and adjacent to a metal rod. Panel B displays multiple cylindrical rammed earth samples on a yellow board, each labeled with different numbers.

Figure 2. Compaction process with Proctor mold and rammer (A) and manufactured RE specimens (B).

A manufacturing procedure based on the well-known Proctor compaction test was applied (Figure 2A), using a standard cylindrical Proctor mold (ASTM, 2012a) with a diameter of 10.1 cm and a height of 11.5 cm, where the soil was poured and compacted in three uniform layers of ca. 3.4 cm by dropping 25 times per layer a standard Proctor rammer (2.50 kg) from a height of 30.5cm, subjecting the soil to a total compactive effort of about 600 kN m/m3 (ASTM, 2012b). This manufacturing methodology, that allows an accurate control of the compaction process and the compactive energy, has proven to be effective in significantly reducing the dispersion of the results of compression tests (Ávila et al., 2023a), which is typically quite high in studies regarding rammed earth. It is important to note, however, that the slenderness of these samples is lower than the standard ratio of 2.0 typically used in compression tests on cylindrical concrete samples. While this may introduce some variation when comparing the results to those of other studies in the literature, it does not affect the evaluation of the strength improvement assessment due to gypsum addition conducted in this article.

Prior to compaction, the natural soil was uniformly mixed with the percentage of gypsum powder corresponding to each series. Then, a certain amount of water was added to the mixture. According to existing studies and standards (New Zealand Standard, 1998b; Walker et al., 2005), the moisture content for RE manufacturing should be within) 1–3)% of the OMC of the soil, and frequently a value equal to OMC is considered (Ávila et al., 2021). For stabilized rammed earth, it is common to use the same OMC obtained for the unstabilized soil or to slightly increase this value by approximately 1% or 2% (Ávila et al., 2022a). Considering this, in the present study the URE samples were manufactured with a water content equal to the OMC of the soil (i.e. 13%) and the GSRE samples with a moisture content equal to OMC + 1%.

After completing the compaction process, the specimens were carefully removed from the mold and stored for curing during 28 days, under constant ambient conditions of 25 °C and 60% relative humidity (Ávila et al., 2023b). The compaction process for each specimen was completed within an hour after the water was added to the mixture, to minimize moist loss (Ciancio et al., 2014; da Rocha et al., 2014).

2.3 Testing procedure

The RE specimens were subjected to uniaxial compression tests (UCT) in order to characterize their compressive behavior and calculate their unconfined compressive strength (UCS) and elastic modulus. In the absence of specific standards for the conduct of UCT on rammed earth, tests were performed following the specifications of ASTM D1633 for the determination of the compressive strength of molded soil-cement cylinders (ASTM, 2017a). The load was applied homogeneously on the on the upper face of the cylindrical samples, perpendicularly to the earth layers, using a displacement-controlled testing machine with loading speed equal to 1.3 mm/min, in agreement with the aforementioned standard. The surfaces of the RE specimens in contact with the loading platens were previously leveled using a disc grinder.

3 Results and discussion

3.1 Stress-strain behavior

After performing the uniaxial compression tests and obtaining a satisfactory failure type for all the specimens according to EN 12390-3 (European Committee for Standardization, 2020) (Figure 3), the compressive stress-strain curves were determined. The stress was calculated by dividing the recorded load by the cross-sectional area of the specimen, while the axial strain was obtained as the ratio between the vertical displacement of the loading platens and the initial height of the sample.

Figure 3
Four images labeled A to D show rammed earth samples under a compression testing machine. Each sample has visible cracks and numbers written on them, indicating different hydration percentages: A shows 2/0%, B shows 2/5%, C shows 3/10%, and D shows 2/15%.

Figure 3. Rammed earth specimens after failure under uniaxial compression tests. (A) U. (B) G5. (C) G10. (D) G15.

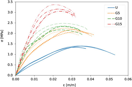
As shown in Figure 4, the stress–strain curves of all series display an initial quasi-linear segment with high stiffness, followed by another quasi-linear branch with lower stiffness. As crack propagation progresses, stiffness continues to decrease until the peak load is reached, after which the curve exhibits plastic softening behavior. The bi-linear pattern in the initial portion of the curve is more pronounced in samples with zero or low gypsum content, whereas in G15 samples the reduction in stiffness before the peak load follows a more gradual trend. The stress-strain curves also indicate that increasing gypsum content enhances both the stiffness of the RE material and the maximum load, which is achieved at a lower axial strain. However, they also show that gypsum addition reduces ductility and adversely affects the material’s post-cracking behavior.

Figure 4
Line graph showing stress-strain curves for four materials: U (blue solid), G5 (orange dashed), G10 (green dashed), and G15 (red dash-dot). Stress (σ) in megapascal on the y-axis and strain (ε) in meters per meter on the x-axis range from 0.00 to 0.06. All curves exhibit non-linear behavior with varying peak stress levels. G15 reaches the highest stress, followed by G10, G5, and U.

Figure 4. Stress-strain curves of the rammed earth samples obtain from uniaxial compression tests.

3.2 Compressive strength and elastic modulus

Quasi-brittle materials, like RE, are designed to work mostly under compression, so their uniaxial compressive strength becomes one of the main parameters to characterize their structural capacity. The UCS of the specimens was calculated as the peak load reached at the UCT divided by the cross-sectional area of the sample. As shown in Table 3, the average UCS obtained for the URE samples was equal to 1.4 MPa, and increased with increasing gypsum contents. Thus, the mean UCS was 55% higher for G5 series, 69% for G10 and up to 130% for G15, all percentages calculated with respect to the unstabilized material. A UCS value of 3.2 MPa was reached for 15%-GSRE.

Table 3
www.frontiersin.org

Table 3. Detailed results from uniaxial compression tests performed on the rammed earth specimens. Coefficient of variation [%] in parenthesis.

The UCS values obtained in this study for the unstabilized samples fall within the typical range for URE, usually between 1.0 and 2.5 MPa (Ávila et al., 2021). The maximum compressive strength reached for the GSRE in this study (3.2 MPa) is higher than most studies using lime as the main stabilizer (maximum UCS values generally below 2.0 MPa) (Arto et al., 2021; Ávila et al., 2022b; Ciancio et al., 2014; da Rocha et al., 2014; Koutous and Hilali, 2023), and similar to the values obtained for cement-stabilized rammed earth in several studies (Kariyawasam and Jayasinghe, 2016; Koutous and Hilali, 2021; Raj et al., 2018; Shaaban, 2021; Toufigh and Kianfar, 2019; Tripura and Singh, 2015), with cement contents from 6% to 10%. Much higher compressive strength values, however, have been obtained in some other studies with cement stabilization, up to ca. 10 MPa (Anysz et al., 2024; Arrigoni et al., 2018; Meek et al., 2021; Strazzeri et al., 2020). Regarding the relative enhancement of the UCS, high dispersion of results is found in literature about cement-stabilized RE, with values of percent improvement varying from 60% to 500% for usual cement contents between 5% and 10% (Ávila et al., 2022a).

It is therefore possible to observe that using cement as a stabilizer has the potential to achieve higher maximum percentages of improvement in UCS and greater maximum values. However, the results obtained in this study also indicate that gypsum could be a valid alternative to cement for enhancing the mechanical behavior of rammed earth in terms of compressive strength.

Regarding the stiffness of rammed earth, there is a lack of consensus in the existing literature about the optimal way to define the elastic modulus of the material (Ávila et al., 2022a). The two most common approaches are the tangent modulus and the secant modulus. Several authors (Ávila et al., 2023a; Ciancio et al., 2014; Koutous and Hilali, 2021; Koutous and Hilali, 2023) propose using the initial tangent modulus, defined as the initial slope of the stress-strain curve. The secant modulus, on the other hand, is calculated according to Equation 1, where (ε1,σ1) and (ε2,σ2) are two points of the pre-peak part of the stress-strain curve, with ε2>ε1. The selection of these two points to obtain the secant modulus is not straightforward, but two are the most common choices: following the indications of ASTM C469 (ASTM, 2014) for concrete samples, which sets σ2 as the stress corresponding to 40% of ultimate load and ε1 equal to 5×105 (Ávila et al., 2022b; Kosarimovahhed and Toufigh, 2020; Toufigh and Kianfar, 2019); or calculating the “peak” secant modulus as the ratio between the peak compressive strength and its corresponding strain (Koutous and Hilali, 2021; Koutous and Hilali, 2023).

Es=σ2σ1/ε2ε1(1)

Given this situation, and in order to provide a completer characterization of the compressive behavior of the material, the modulus of elasticity in the present study is calculated according to the three most common approaches for RE specimens: the initial tangent modulus (Et0), the secant modulus as defined in ASTM C469 (Es,ASTM), and the “peak” secant modulus (Es,p=UCS/εc).

The results (Table 3) show that the initial tangent modulus is greater than the secant modulus calculated for 40% of the peak load (Es,ASTM) and the latter is greater than the one calculated for the peak load (Es,p). These results were expected, considering that RE materials typically show a higher initial stiffness that progressively decreases until reaching the maximum load. In the present study the secant elastic modulus at peak load was between 0.4 and 0.6 times the initial tangent modulus, not far from the ratio of 0.62 observed by previous authors (Koutous and Hilali, 2021).

Due to the variability in the measuring techniques and calculation procedures and the dispersion of the results, it is not easy to compare the results of the elastic modulus obtained in a single study with those in literature. In fact, scientific publications over the last few year show E values for URE varying from 60 MPa to 1000 MPa (Ávila et al., 2021). Considering this, the values obtained in the present study are at the lower part of the usual range but cannot be considered abnormal. However, the most relevant focus of this study is not the value itself of the elastic modulus but the ability of gypsum stabilization to enhance it. In this regard, the average increase in the tangent modulus is equal to 125% for G5 samples, 238% for G10% and 262% for G15. Similar percentages are obtained for Es,ASTM and slightly lower for Es,p.

These increases in the elastic modulus are very significant if compared with the results obtained by previous authors using other common stabilizers. The stiffness enhancement for 5% gypsum is much higher than the one obtained using the same percentage of lime in other studies (12%–84%) (Ávila et al., 2022b; Ciancio et al., 2014). It is also higher than the improvements observed for combinations between cement and waste tire textile fibers (22%) (Zare et al., 2020) and similar to the ones obtained by (Koutous and Hilali, 2021) using 6% cement as the stabilizer. Only some few studies present significantly higher improvements of RE stiffness by means of stabilization, using higher amounts of cement (10% cement for a 417% increase in the elastic modulus) (Toufigh and Kianfar, 2019) or a combination of cement and lime (4% of each additive to increase the elastic modulus by 788%) (Hallal et al., 2018).

Regarding the relationship between compressive strength and stiffness of RE, it is known that there is indeed a direct relationship between these parameters, but the variability of results in the literature prevents establishing a value of consensus. The Australian standard for RE construction (Walker and Standards Australia, 2002) propose using a value of E=500 MPa in the absence of experimental data, while the NZS 4297 (New Zealand Standard, 1998a) indicates that the elastic modulus is equal to 300 times the characteristic compressive strength (calculated from the UCS as indicated by the standard). These values, however, are both too high in most cases. If one looks at the existing literature, despite the disparity of results, it is possible to observe a linear relationship between the UCS and the modulus of elasticity of RE, regardless of the percentage of additive used, with very high coefficients of determination (R2) in some cases (Table 4). In the present study, the relationships shown in Figure 5 were obtained, with R2 equal to 0.78 for the tangent modulus and equal to 0.89 and 0.97 for the secant elastic moduli Es,ASTM and Es,p, respectively.

Table 4
www.frontiersin.org

Table 4. Linear correlation between uniaxial compressive strength and elastic modulus of SRE.

Figure 5
Three scatter plots show the relationship between UCS (MPa) on the x-axis and \(E_{t0}\), \(E_{S, ASTM}\), and \(E_{S, p}\) (MPa) on the y-axes. Each plot includes a linear regression line, \(95 \%\) confidence region, and \(95 \%\) prediction band. The data points are color-coded: blue for U, orange for G5, green for G10, and red for G15. The equations and R-squared values are displayed for each plot: \(E_{t0}\) with \(R^2 = 0.78\), \(E_{S, ASTM}\) with \(R^2 = 0.89\), and \(E_{S, p}\) with \(R^2 = 0.97\). Legends are included for clarity.

Figure 5. Elastic moduli of RE specimens as a function of their unconfined compressive strength.

3.3 Statistical significance of the results

The dispersion of the results is a frequent matter of concern in RE mechanical characterization, due to the heterogeneity of the material and, in some cases, the lack of a rigorous control of the manufacturing conditions (especially the compaction energy). In the present study, however, very small dispersion was observed in the UCS results, with coefficients of variation between 1.8% and 5.4%. The dispersion was slightly higher for the elastic modulus, particularly for the initial tangent modulus and the secant modulus calculated according to ASTM C469. This fact, a greater dispersion affecting the elastic modulus of RE, has also been noted by in previous studies (Ávila et al., 2022b; Strazzeri et al., 2020; Toufigh and Kianfar, 2019), and it is linked to the difficulty of determining a proper E value for an essentially non-elastic material with irregular stress-strain behavior, which adds to the aforementioned intrinsic heterogeneity of the material and the possible uncertainties in the manufacturing process.

With the aim of verifying the significance of the improvements in the material stiffness, considering the existing dispersion, an analysis of variance was carried out. ANOVA, developed by R. Fisher in 1925 Fisher (1925) is a statistical test used to assess if there is a statistically significant difference between the means of two or more categorical groups. For completeness, the ANOVA was carried out not only for the elastic modulus but also for the UCS, even though the coefficients of variation for this parameter are significantly lower.

ANOVA can only be applied to variables with a normal distribution, so, as a previous step, the normality of each group of data (UCS, Et0, Es,ASTM and Es,p for each series of specimens) was evaluated through a Shapiro-Wilk test. This statistical test, proposed in 1965 by S.S. Shapiro and M.B. Wilk (Shapiro and Wilk, 1965), is particularly suitable for evaluating the normality of populations with a low number of samples (3–20). In this test, for an ordered sample of size n, (x1,x2,,xi,,xn), a statistic for normality W is calculated according to Equation 2, where x̄ is the sample mean. Once W is calculated, the p-value (tabulated (Shapiro and Wilk, 1965)) can be obtained. If p is higher than the chosen alpha level, considered equal to 0.05, the null hypothesis is confirmed and there is evidence that the data set is normally distributed. The results of this test applied to the experimental data of this study are shown in Table 5, where it can be observed that all p-values are higher than 0.05 and therefore the variables of all groups are normally distributed.

W=i=1n/2ani+1xni+1xi2i=1nxix̄2(2)

Table 5
www.frontiersin.org

Table 5. Results from Shapiro-Wilk normality test for the uniaxial compressive strength and elastic moduli of each RE series. p>0.05 indicates the normality of the distribution.

Once the normality of the samples was confirmed, the ANOVA test was performed, obtaining the statistical variable F as the ratio between the mean square within the group (MSw) and the mean square between groups (MSb). Then, a p-value is obtained, as a measure of statistical significance, so if p is lower than the alpha level (with a recommended value of α=0.05 (Fisher, 1925)), the null hypothesis can be rejected and the means of the groups can be considered statistically different. The test was carried out between the U series and all the G series, in order to evaluate the significance of the improvement of the mechanical properties with respect to the unstabilized material, and between adjacent G series, to assess the effect of each increment of gypsum content in the strength and stiffness of the material.

The results, shown in Table 6, indicate that all couple of series have different means (p<α), so the improvement of the compressive strength and elastic modulus is statistically significant. The only exception was found when comparing the tangent elastic modulus between groups G10 and G15, where ANOVA results indicate that the mean Et0 values could be considered as statistically equal. In order to help visualizing the significance of the strength and stiffness improvements obtained, the distribution of UCS and Et0 values for each gypsum content is represented in Figure 6.

Table 6
www.frontiersin.org

Table 6. Results of ANOVA for the uniaxial compressive strength and elastic moduli of the RE series. p<0.05 indicates that the means of the distributions are statistically significantly different.

Figure 6
Box plots showing various mechanical properties of samples labeled U, G5, G10, and G15. The top left plot displays UCS values, top right shows E-t0, bottom left illustrates E-s, ASTM, and bottom right presents E-s, P. Each property generally increases from U to G15, with some variation between groups.

Figure 6. Boxplots of the uniaxial compressive strength and elastic moduli for the increasing gypsum contents.

4 Conclusion

Gypsum has traditionally been used as a stabilizer in rammed earth, yet it is largely absent in modern RE construction and research. However, its well-documented role in soil stabilization, global availability, and lower embodied energy compared to cement make it a promising candidate for enhancing the mechanical behavior of RE.

To evaluate the potential of gypsum in enhancing the mechanical properties of RE, this study conducted uniaxial compression tests on specimens with increasing gypsum contents (0, 5, 10% and 15%). A manufacturing procedure based on the Proctor compaction test was employed to ensure strict control over compaction energy, minimizing variability in the test results. Indeed, very low dispersion was observed, particularly in compressive strength measurements. Statistical significance of the strength and stiffness improvements was assessed through ANOVA.

The results demonstrate that gypsum stabilization enhances both the unconfined compressive strength and stiffness of RE, achieving performance levels comparable to cement stabilization and superior to most cases of lime stabilization. The highest compressive strength was recorded for the 15% gypsum-stabilized RE, with a mean value of 3.2 MPa, representing a 130% improvement over the unstabilized material. Similarly, the highest stiffness was observed at 15% gypsum content, with a maximum initial tangent modulus of 267 MPa, increasing that of the unstabilized material by over 260%. However, the improvements between 10% and 15% gypsum were not statistically significant, particularly for the elastic modulus.

Further research is required to explore the effects of gypsum stabilization on different soil types, a broader range of additive contents, and additional mechanical properties (e.g., tensile and shear strength) to achieve a more comprehensive mechanical characterization. Future studies should also investigate the durability and hygroscopic behavior of gypsum-stabilized rammed earth under varying moisture and environmental conditions. Nonetheless, the findings of this study already highlight the significant potential of gypsum as a stabilizer for enhancing the mechanical performance of rammed earth constructions.

Data availability statement

The original contributions presented in the study are included in the article/supplementary material, further inquiries can be directed to the corresponding author.

Author contributions

FÁ: Investigation, Data curation, Methodology, Software, Visualization, Formal Analysis, Writing – original draft. MF: Methodology, Validation, Conceptualization, Supervision, Writing – review and editing, Resources. RG: Supervision, Writing – review and editing, Validation, Conceptualization, Funding acquisition. EP: Conceptualization, Funding acquisition, Validation, Project administration, Supervision, Writing – review and editing. GR: Supervision, Methodology, Writing – review and editing, Conceptualization, Validation, Resources.

Funding

The author(s) declare that financial support was received for the research and/or publication of this article. This research is part of the project “Evaluación de la vulnerabilidad estructural de patrimonio construido en tapia–VulTapia” (Evaluation of the structural vulnerability of heritage built in rammed earth), funded by Consejería de Universidad, Investigación e Innovación and by ERDF Andalusia Program 2021–2027 (grant number C-ING-134-UGR23). The laboratory tests were carried out thanks to the founds assigned by the Italian Ministry of Universities and Research (MUR) to the University of Florence.

Conflict of interest

The authors declare that the research was conducted in the absence of any commercial or financial relationships that could be construed as a potential conflict of interest.

Generative AI statement

The author(s) declare that no Generative AI was used in the creation of this manuscript.

Any alternative text (alt text) provided alongside figures in this article has been generated by Frontiers with the support of artificial intelligence and reasonable efforts have been made to ensure accuracy, including review by the authors wherever possible. If you identify any issues, please contact us.

Publisher’s note

All claims expressed in this article are solely those of the authors and do not necessarily represent those of their affiliated organizations, or those of the publisher, the editors and the reviewers. Any product that may be evaluated in this article, or claim that may be made by its manufacturer, is not guaranteed or endorsed by the publisher.

References

Abdolvand, Y., and Sadeghiamirshahidi, M. (2024). Soil stabilization with gypsum: a review. J. Rock Mech. Geotechnical Eng. 16, 5278–5296. doi:10.1016/j.jrmge.2024.02.007

CrossRef Full Text | Google Scholar

Anysz, H., Rosicki, Ł., and Narloch, P. (2024). Compressive strengths of cube vs. cored specimens of cement stabilized rammed Earth compared with ANOVA. Appl. Sci. 14, 5746. doi:10.3390/app14135746

CrossRef Full Text | Google Scholar

Arrigoni, A., Beckett, C., Ciancio, D., and Dotelli, G. (2017). Life cycle analysis of environmental impact vs. durability of stabilised rammed earth. Constr. Build. Mater. 142, 128–136. doi:10.1016/j.conbuildmat.2017.03.066

CrossRef Full Text | Google Scholar

Arrigoni, A., Beckett, C. T., Ciancio, D., Pelosato, R., Dotelli, G., and Grillet, A. C. (2018). Rammed Earth incorporating recycled concrete aggregate: a sustainable, resistant and breathable construction solution. Resour. Conserv. Recycl. 137, 11–20. doi:10.1016/j.resconrec.2018.05.025

CrossRef Full Text | Google Scholar

Arto, I., Gallego, R., Cifuentes, H., Puertas, E., and Gutiérrez-Carrillo, M. L. (2021). Fracture behavior of rammed earth in historic buildings. Constr. Build. Mater. 289, 123167. doi:10.1016/j.conbuildmat.2021.123167

CrossRef Full Text | Google Scholar

Ashour, T., Korjenic, A., and Korjenic, S. (2015). Equilibrium moisture content of earth bricks biocomposites stabilized with cement and gypsum. Cem. Concr. Compos. 59, 18–25. doi:10.1016/j.cemconcomp.2015.03.005

CrossRef Full Text | Google Scholar

ASTM (2012a). D1557-12 standard test methods for laboratory compaction characteristics of soil using. doi:10.1520/D1557-12.1

CrossRef Full Text | Google Scholar

ASTM (2012b). D698-12 standard test methods for laboratory compaction characteristics of soil using standard effort (12,400 ft-lbf/ft3 (600 kN-m/m3)). doi:10.1520/D0698-12E01.1

CrossRef Full Text | Google Scholar

ASTM (2014). C469/C469M standard test method for static modulus of elasticity and poisson’s ratio of concrete in compression. doi:10.1520/C0469

CrossRef Full Text | Google Scholar

ASTM (2017a). D1633-17 standard test methods for compressive strength of molded soil-cement cylinders. doi:10.1520/D1633-00R07.combine

CrossRef Full Text | Google Scholar

ASTM (2017b). D4318-17 standard test methods for liquid limit, plastic limit, and plasticity index of soils. doi:10.1520/D4318-17E01

CrossRef Full Text | Google Scholar

Ávila, F., Puertas, E., and Gallego, R. (2021). Characterization of the mechanical and physical properties of unstabilized rammed earth: a review. Constr. Build. Mater. 270, 121435. doi:10.1016/j.conbuildmat.2020.121435

CrossRef Full Text | Google Scholar

Ávila, F., Puertas, E., and Gallego, R. (2022a). Characterization of the mechanical and physical properties of stabilized rammed earth: a review. Constr. Build. Mater. 325, 126693. doi:10.1016/j.conbuildmat.2022.126693

CrossRef Full Text | Google Scholar

Ávila, F., Puertas, E., and Gallego, R. (2022b). Mechanical characterization of lime-stabilized rammed earth: lime content and strength development. Constr. Build. Mater. 350, 128871. doi:10.1016/j.conbuildmat.2022.128871

CrossRef Full Text | Google Scholar

Ávila, F., Fagone, M., Gallego, R., Puertas, E., and Ranocchiai, G. (2023a). Experimental and numerical evaluation of the compressive and shear behavior of unstabilized rammed earth. Mater. Struct. 56, 118. doi:10.1617/s11527-023-02206-9

CrossRef Full Text | Google Scholar

Ávila, F., Fagone, M., Gallego, R., Puertas, E., and Ranocchiai, G. (2023b). Experimental evaluation of the compressive and shear behavior of unstabilized rammed Earth. NanoWorld J. 9, S219–S223. doi:10.17756/nwj.2023-s2-038

CrossRef Full Text | Google Scholar

Banchellil, A., Fratini, F., Germanil, M., Malesanil, P., and Manganelli Del Fà, C. (1997). The sandstones of the Florentine historic buildings: individuation of the marker and determination of the supply quarries of the rocks used in some Florentine monuments. Sci. Technol. Cult. Herit. 6, 13–22.

Google Scholar

Bui, Q. B., and Morel, J. C. (2009). Assessing the anisotropy of rammed earth. Constr. Build. Mater. 23, 3005–3011. doi:10.1016/j.conbuildmat.2009.04.011

CrossRef Full Text | Google Scholar

Burroughs, S. (2010). Recommendations for the selection, stabilization, and compaction of soil for rammed earth wall construction. J. Green Build. 5, 101–114. doi:10.3992/jgb.5.1.101

CrossRef Full Text | Google Scholar

CEMBUREAU (2013). The role of cement in the 2050 low carbon economy. Technical report.

Google Scholar

Ciancio, D., Beckett, C. T. S., and Carraro, J. A. H. (2014). Optimum lime content identification for lime-stabilised rammed earth. Constr. Build. Mater. 53, 59–65. doi:10.1016/j.conbuildmat.2013.11.077

CrossRef Full Text | Google Scholar

Corbin, A., and Augarde, C. (2015). “Investigation into the shear behaviour of rammed Earth using shear box tests,” in First International Conference on Bio-based Building Materials, Clermont-Ferrand, France, 93–98.

Google Scholar

da Rocha, C. G., Consoli, N. C., and Dalla Rosa Johann, A. (2014). Greening stabilized rammed earth: devising more sustainable dosages based on strength controlling equations. J. Clean. Prod. 66, 19–26. doi:10.1016/j.jclepro.2013.11.041

CrossRef Full Text | Google Scholar

Ecofys (2009). Methodology for the free allocation of emission allowances in the EU ETS post 2012 - sector report for the gypsum industry.

Google Scholar

European Committee for Standardization (2009). EN 13279-1. Gypsum binders and gypsum plasters. Part 1: definitions and requirements.

Google Scholar

European Committee for Standardization (2018). EN ISO 14688-2:2018. Geotechnical investigation and testing - identification and classification of soil - part 2: principles for a classification.

Google Scholar

European Committee for Standardization (2020). EN 12390-3. Testing hardening concrete. Part 3: compressive strength of test specimens.

Google Scholar

Fisher, R. (1925). Statistical methods for research workers. Edinburgh, UK: Oliver and Boyd.

Google Scholar

Hallal, M. M., Sadek, S., and Najjar, S. S. (2018). Evaluation of engineering characteristics of stabilized rammed-earth material sourced from natural fines-rich soil. J. Mater. Civ. Eng. 30, 04018273. doi:10.1061/(ASCE)MT.1943-5533.0002481

CrossRef Full Text | Google Scholar

Houben, H., and Guillaud, H.CRAterre, and Intermediate Technology Publications (1994). Earth construction: a comprehensive guide. London, UK: Intermediate Technology Publications.

Google Scholar

Isik, B., and Tulbentci, T. (2008). Sustainable housing in island conditions using Alker-gypsum-stabilized earth: a case study from Northern Cyprus. Build. Environ. 43, 1426–1432. doi:10.1016/j.buildenv.2007.06.002

CrossRef Full Text | Google Scholar

Jiang, Z.-Y., Sun, X.-P., Luo, Y.-Q., Fu, X.-L., Xu, A., and Bi, Y.-Z. (2024). Recycling, reusing and environmental safety of industrial by-product gypsum in construction and building materials. Constr. Build. Mater. 432, 136609. doi:10.1016/j.conbuildmat.2024.136609

CrossRef Full Text | Google Scholar

Kariyawasam, K. K., and Jayasinghe, C. (2016). Cement stabilized rammed earth as a sustainable construction material. Constr. Build. Mater. 105, 519–527. doi:10.1016/j.conbuildmat.2015.12.189

CrossRef Full Text | Google Scholar

Kosarimovahhed, M., and Toufigh, V. (2020). Sustainable usage of waste materials as stabilizer in rammed earth structures. J. Clean. Prod. 277, 123279. doi:10.1016/j.jclepro.2020.123279

CrossRef Full Text | Google Scholar

Koutous, A., and Hilali, E. (2021). Reinforcing rammed earth with plant fibers: a case study. Case Stud. Constr. Mater. 14, e00514. doi:10.1016/j.cscm.2021.e00514

CrossRef Full Text | Google Scholar

Koutous, A., and Hilali, E. (2023). Compression stress-strain curve of rammed earth: measuring and modelling. Results Eng. 18, 101012. doi:10.1016/j.rineng.2023.101012

CrossRef Full Text | Google Scholar

La Spina, V. (2016). Estudio del yeso tradicional en España. Yacimientos, canteras, hornos y la arquitectura tradicional, su estado de conservación y propuestas de itinerarios visitables para su revalorización y difusión. Technical report. Cartagena, Spain: Universidad Politécnica de Cartagena.

Google Scholar

Laborel-Préneron, A., Aubert, J. E., Magniont, C., Tribout, C., and Bertron, A. (2016). Plant aggregates and fibers in earth construction materials: a review. Constr. Build. Mater. 111, 719–734. doi:10.1016/j.conbuildmat.2016.02.119

CrossRef Full Text | Google Scholar

Latifi, N., Vahedifard, F., Siddiqua, S., and Horpibulsuk, S. (2018). Solidification–stabilization of heavy metal–contaminated clays using gypsum: multiscale assessment. Int. J. Geomechanics 18, 04018150. doi:10.1061/(ASCE)GM.1943-5622.0001283

CrossRef Full Text | Google Scholar

Loccarini, F. (2017). “Behaviour of rammed earth structures: sustainable materials and strengthening techniques,”. Ph.d. thesis (Florence, Italy: University of Florence and University of Braunschweig - Institute of Technology).

Google Scholar

Loccarini, F., Ranocchiai, G., Rotunno, T., and Fagone, M. (2020). Experimental and numerical analyses of strengthened rammed earth masonry arches. Comput. Struct. 239, 106329. doi:10.1016/j.compstruc.2020.106329

CrossRef Full Text | Google Scholar

Maniatidis, V., and Walker, P. (2003). A review of rammed Earth construction for DTi partners in innovation project “Developing Rammed Earth for UK Housing”, 109.

Google Scholar

Martín-del Rio, J. J., Canivell, J., Torres-González, M., Mascort-Albea, E. J., Romero-Hernández, R., Alducin-Ochoa, J. M., et al. (2021). Analysis of the materials and state of conservation of the medieval rammed earth walls of Seville (Spain). J. Build. Eng. 44, 103381. doi:10.1016/j.jobe.2021.103381

CrossRef Full Text | Google Scholar

Meek, A. H., Elchalakani, M., Beckett, C. T., and Dong, M. (2021). Alternative stabilised rammed earth materials incorporating recycled waste and industrial by-products: a study of mechanical properties, flexure and bond strength. Constr. Build. Mater. 277, 122303. doi:10.1016/j.conbuildmat.2021.122303

CrossRef Full Text | Google Scholar

Mileto, C., López-Manzanares, F. V., Cristini, V., and Soriano, L. G. (2021). Earthen architecture in the Iberian Peninsula: a portrait of vulnerability, sustainability and conservation. Built Herit. 5, 24. doi:10.1186/s43238-021-00043-9

CrossRef Full Text | Google Scholar

Morel, J. C., Mesbah, A., Oggero, M., and Walker, P. (2001). Building houses with local materials:means to drastically reduce the environmental impact of construction. Build. Environ. 36, 1119–1126. doi:10.1016/S0360-1323(00)00054-8

CrossRef Full Text | Google Scholar

New Zealand Standard (1998a). NZS 4297:1998. Engineering design of earth buildings.

Google Scholar

New Zealand Standard (1998b). NZS 4298:1998. Materials and workmanship for earth buildings.

Google Scholar

Pekmezci, B. Y., Kafescioglu, R., and Agahzadeh, E. (2012). Improved performance of Earth structures by lime and gypsum addition. METU J. Fac. Archit. 29, 205–221. doi:10.4305/METU.JFA.2012.2.9

CrossRef Full Text | Google Scholar

Portland Cement Association (2022). Carbon footprint.

Google Scholar

Pu, S., Zhu, Z., and Huo, W. (2021). Evaluation of engineering properties and environmental effect of recycled gypsum stabilized soil in geotechnical engineering: a comprehensive review. Resour. Conserv. Recycl. 174, 105780. doi:10.1016/j.resconrec.2021.105780

CrossRef Full Text | Google Scholar

Raavi, S. S. D., and Tripura, D. D. (2020). Predicting and evaluating the engineering properties of unstabilized and cement stabilized fibre reinforced rammed earth blocks. Constr. Build. Mater. 262, 120845. doi:10.1016/j.conbuildmat.2020.120845

CrossRef Full Text | Google Scholar

Raj, S., Sharma, A. K., and Anand, K. B. (2018). Performance appraisal of coal ash stabilized rammed earth. J. Build. Eng. 18, 51–57. doi:10.1016/j.jobe.2018.03.001

CrossRef Full Text | Google Scholar

Reichl, C., and Schatz, M. (2024). World mining data 2024. Vienna, Austria: Federal Ministry of Finance.

Google Scholar

Sanz Zaragoza, J. M. (2014). “Aragón,” in La restauración la Tapia en la Península Ibérica. Criterios, técnicas, Result. y Perspect. Editors C. Mileto, and F. Vegas (Valencia, Spain: Argumentum - TC Cuadernos), 90–97.

Google Scholar

Shaaban, M. (2021). Sustainability of excavation soil and red brick waste in rammed earth. Civ. Eng. Archit. 9, 789–798. doi:10.13189/cea.2021.090320

CrossRef Full Text | Google Scholar

Shan, Y., Liu, Z., and Guan, D. (2016). CO2 emissions from China’s lime industry. Appl. Energy 166, 245–252. doi:10.1016/j.apenergy.2015.04.091

CrossRef Full Text | Google Scholar

Shapiro, S. S., and Wilk, M. B. (1965). An analysis of variance test for normality (complete samples). Biometrika 52, 591. doi:10.2307/2333709

CrossRef Full Text | Google Scholar

Strazzeri, V., Karrech, A., and Elchalakani, M. (2020). Micromechanics modelling of cement stabilised rammed earth. Mech. Mater. 148, 103540. doi:10.1016/j.mechmat.2020.103540

CrossRef Full Text | Google Scholar

Toufigh, V., and Kianfar, E. (2019). The effects of stabilizers on the thermal and the mechanical properties of rammed earth at various humidities and their environmental impacts. Constr. Build. Mater. 200, 616–629. doi:10.1016/j.conbuildmat.2018.12.050

CrossRef Full Text | Google Scholar

Tripura, D. D., and Singh, K. D. (2015). Characteristic properties of cement-stabilized rammed earth blocks. J. Mater. Civ. Eng. 27, 04014214. doi:10.1061/(ASCE)MT.1943-5533.0001170

CrossRef Full Text | Google Scholar

Türkmen, I., Ekinci, E., Kantarci, F., and Sarici, T. (2017). The mechanical and physical properties of unfired earth bricks stabilized with gypsum and Elazıg Ferrochrome slag. Int. J. Sustain. Built Environ. 6, 565–573. doi:10.1016/j.ijsbe.2017.12.003

CrossRef Full Text | Google Scholar

Varela Gomes, R., and Varela Gomes, M. (2014). “Recinto fortificado del Silves, Portugal (1981-2010),” in La restauración la Tapia en la Península Ibérica. Criterios, técnicas, Result. y Perspect. Editors C. Mileto, and F. Vegas (Valencia, Spain: Argumentum - TC Cuadernos), 196–201.

Google Scholar

Vegas, F., Mileto, C., Cristini, V., and García Soriano, L. (2014). “La tapia en la Península Ibérica,” in La restauración la Tapia en la Península Ibérica. Criterios, técnicas, Result. y Perspect. Editors C. Mileto, and F. Vegas (Lisbon, Portugal: Argumentum - TC Cuadernos), 32–51.

Google Scholar

Vroomen, R. H. (2007). “Gypsum stabilised earth: research on the properties of cast Gypsum-stabilised earth and its suitability for low cost housing construction in developing countries,”. Master thesis (Eindhoven, Netherlands: Eindhoven University of Technology).

Google Scholar

Walker, P.Standards Australia (2002). HB 195-2002 the Australian Earth building handbook. Sydney, Australia: Standards Australia International Ltd.

Google Scholar

Walker, P., Keable, R., Martin, J., and Maniatidis, V. (2005). Rammed earth: design and construction guidelines.

Google Scholar

Zare, P., Sheikhi Narani, S., Abbaspour, M., Fahimifar, A., Mir Mohammad Hosseini, S. M., and Zare, P. (2020). Experimental investigation of non-stabilized and cement-stabilized rammed earth reinforcement by waste tire textile fibers (WTTFs). Constr. Build. Mater. 260, 120432. doi:10.1016/j.conbuildmat.2020.120432

CrossRef Full Text | Google Scholar

Keywords: rammed earth, gypsum, stabilization, mechanical characterization, compressive strength

Citation: Ávila F, Fagone M, Gallego R, Puertas E and Ranocchiai G (2025) Gypsum stabilization for enhancing the compressive behavior of rammed earth: experimental and statistical assessment. Front. Built Environ. 11:1708488. doi: 10.3389/fbuil.2025.1708488

Received: 18 September 2025; Accepted: 16 October 2025;
Published: 28 October 2025.

Edited by:

Marta Maria Sesana, University of Brescia, Italy

Reviewed by:

Carolina Piña Ramírez, Polytechnic University of Madrid, Spain
Hanaa Shihab Humadi, University of Kufa, Iraq

Copyright © 2025 Ávila, Fagone, Gallego, Puertas and Ranocchiai. This is an open-access article distributed under the terms of the Creative Commons Attribution License (CC BY). The use, distribution or reproduction in other forums is permitted, provided the original author(s) and the copyright owner(s) are credited and that the original publication in this journal is cited, in accordance with accepted academic practice. No use, distribution or reproduction is permitted which does not comply with these terms.

*Correspondence: Fernando Ávila, ZmF2aWxhQG1lcy51cHYuZXM=

Disclaimer: All claims expressed in this article are solely those of the authors and do not necessarily represent those of their affiliated organizations, or those of the publisher, the editors and the reviewers. Any product that may be evaluated in this article or claim that may be made by its manufacturer is not guaranteed or endorsed by the publisher.