ORIGINAL RESEARCH article
Front. Conserv. Sci.
Sec. Plant Conservation
This article is part of the Research TopicInvasive Plants in Mediterranean Coastal Areas: Strategies for Management and RestorationView all articles
Effects of the coastal salt gradient on the removal of the invasive clonal plants Carpobrotus sp. pl. (Aizoaceae) in a Mediterranean dune ecosystem
Provisionally accepted- 11Department of Chemical, Physical, Mathematical and Natural Sciences, University of Sassari, Via Piandanna 4, I-07100 Sassari, Italy, Sassari, Italy
- 22e.INS- Ecosystem of Innovation for Next Generation Sardinia, Spoke 09 Environment, Sardinia, Italy., Sassari, Italy
- 33Department of Architecture, Design and Urban Planning, University of Sassari, Piazza Duomo 6, I-07041 Alghero, Italy., Alghero, Italy
- 44National Biodiversity Future Center (NBFC), Palermo, Italy
Select one of your emails
You have multiple emails registered with Frontiers:
Notify me on publication
Please enter your email address:
If you already have an account, please login
You don't have a Frontiers account ? You can register here
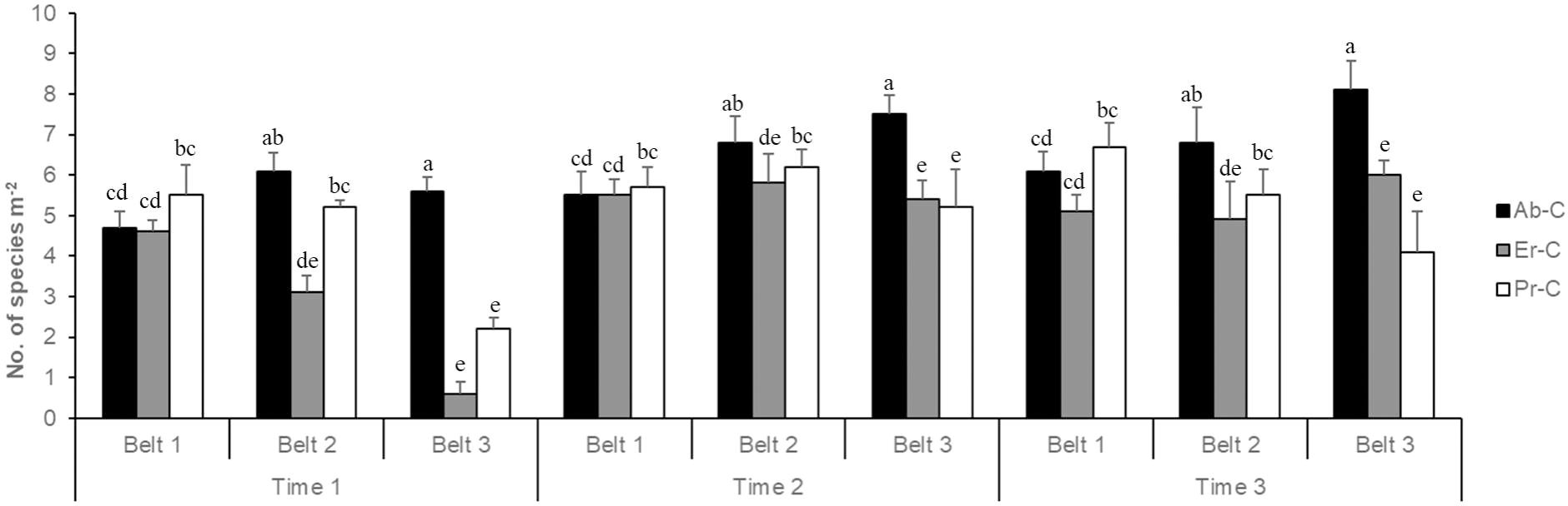
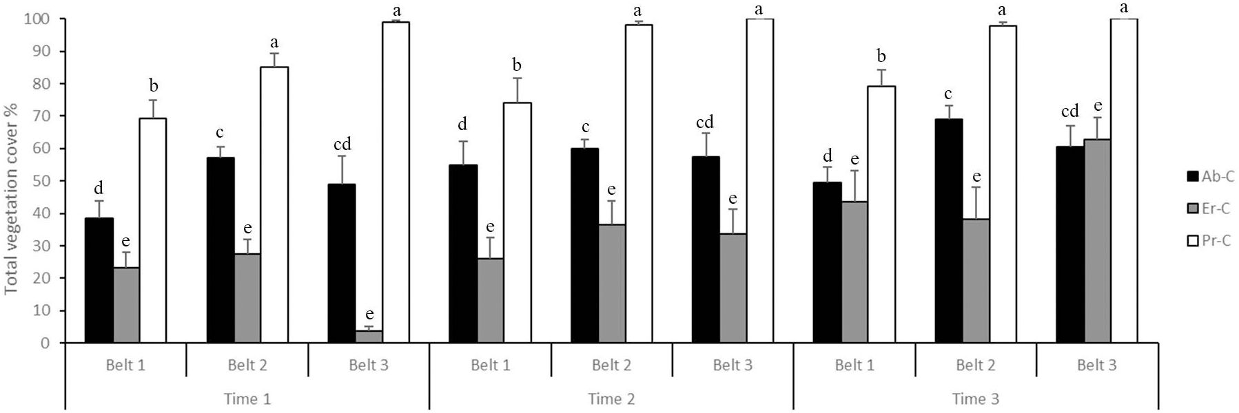
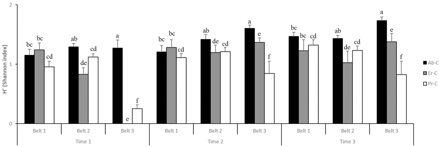
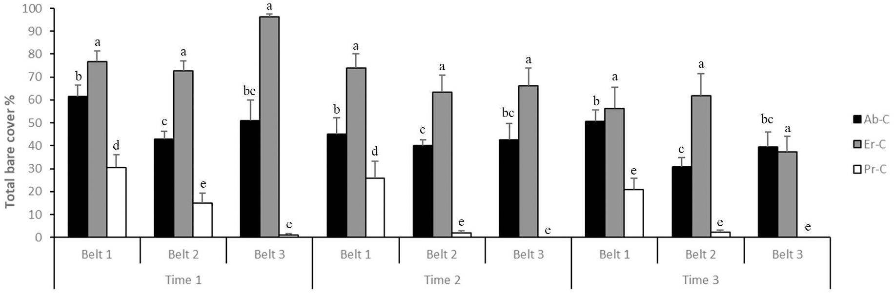
Invasive alien species represent an increasing threat to the biodiversity conservation at both the species and the ecosystem levels. Damages caused by invasive alien plants are more impactful when acting in areas of particular concentration of endemic species, as biodiversity hotspots. In the Mediterranean Basin, one of the global biodiversity hotspots, the effects of alien plant invasions are well studied, especially in coastal environments. However, a lack of investigation on the effect of the coastal salt gradient on the interactions between native and alien plants seems to exist. Here, we explored the impact of the eradication of the invasive clonal plants referred to Carpobrotus sp. pl. on vascular plant richness and diversity along a salinity coastal gradient in a dune system located in northern Sardinia (Italy). At the study area, we established 3 belts from the sea, each 50 m deep: at each belt, we eradicated Carpobrotus sp. pl. in 10 1×1 m plots; another 10 plots were controls with high coverage of Carpobrotus sp. pl., and another 10 plots were controls without Carpobrotus sp. pl. Since it was already demonstrated that soil salinity in dunes is negligible, we also measured sea aerosol salinity at each belt. We found that aerosol salinity was 0.0322 mg/cm2/day, corresponding to 1,174 kg/ha/year. In this paper, we show that belt was always a highly significant factor in all analyses we carried out, meaning that there were significant differences among the three belts for all the response variables investigated (bare soil and vegetation cover, number of species m-2 and Shannon index). This was especially true in those plots where Carpobrotus sp. pl. were eradicated. Our results show that the distance from the sea should always be considered when planning eradication actions, because the salinity gradient strongly influences the vegetation initial successional dynamics after the elimination of the alien plants.
Keywords: Carpobrotus acinaciformis (L.) L.Bolus, Carpobrotus edulis (L.) N.E.Br., psammophilous vegetation and flora, Biological invasion, Invasive species management, Short-term recovery, invasive species eradication, aerosol salinity
Received: 22 Oct 2025; Accepted: 25 Nov 2025.
Copyright: © 2025 MACCIONI, Dessena, Morittu, Padedda and Farris. This is an open-access article distributed under the terms of the Creative Commons Attribution License (CC BY). The use, distribution or reproduction in other forums is permitted, provided the original author(s) or licensor are credited and that the original publication in this journal is cited, in accordance with accepted academic practice. No use, distribution or reproduction is permitted which does not comply with these terms.
* Correspondence: Alfredo MACCIONI
Disclaimer: All claims expressed in this article are solely those of the authors and do not necessarily represent those of their affiliated organizations, or those of the publisher, the editors and the reviewers. Any product that may be evaluated in this article or claim that may be made by its manufacturer is not guaranteed or endorsed by the publisher.
