ORIGINAL RESEARCH article
Front. Hum. Neurosci.
Sec. Brain-Computer Interfaces
This article is part of the Research TopicBrain-computer interfaces in neuroprosthetics & neurorehabilitationView all articles
Motor Imagery-Based Brain-Computer Interface for Differential Diagnosis in Prolonged Disorders of Consciousness
Provisionally accepted- 1Capital Medical University, Beijing, China
- 2China Rehabilitation Research Center Department of Neurological Rehabilitation, Beijing, China
- 3Beijing Tiantan Hospital Department of Neurosurgery, Beijing, China
- 4China Rehabilitation Research Center, Beijing, China
- 5Xi'an Jiaotong University School of Life Science and Technology, Xi'an, China
Select one of your emails
You have multiple emails registered with Frontiers:
Notify me on publication
Please enter your email address:
If you already have an account, please login
You don't have a Frontiers account ? You can register here
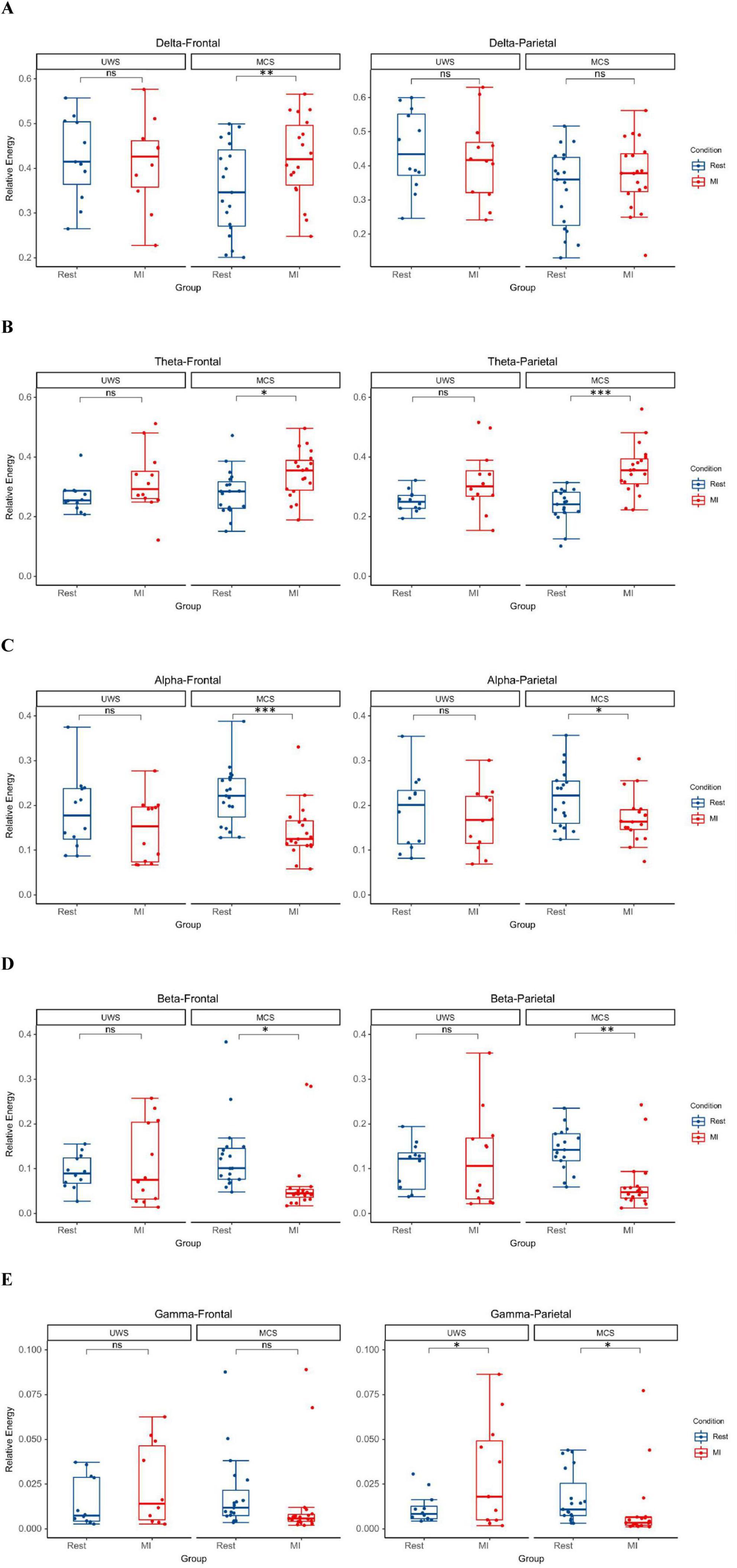
Introduction: Patients with prolonged disorders of consciousness (pDoC) present significant challenges to the assessment of consciousness. This study investigated the clinical utility of motor imagery-based brain-computer interface (MI-BCI) for discriminating consciousness levels in patients with pDoC. Methods: Thirty-one pDoC patients (12 with unresponsive wakefulness syndrome [UWS] and 19 in a minimally conscious state [MCS]) underwent EEG recordings during resting state and MI-BCI training. The analysis focused on relative power spectral density across five frequency bands (delta, theta, alpha, beta, gamma) in motor imagery-related regions (frontal and parietal cortices), along with BCI performance metrics (classification accuracy and attention indices). Results: We found that MCS patients exhibited multiband neural oscillation modulation during MI-BCI tasks, including slow-wave enhancement (delta in frontal lobes [p=0.003]; theta in frontal [p=0.026] and parietal lobes [p<0.001]) and fast-wave suppression (alpha in frontal [p<0.001] and parietal lobes [p=0.049]; beta in frontal [p=0.014] and parietal lobes [p=0.001]; gamma in parietal lobes [p=0.023]). In contrast, UWS patients only showed localized parietal gamma enhancement (p=0.042). Notably, the MCS group achieved significantly higher classification accuracy (55% vs. 38%, p=0.02), and attention indices correlated moderately with CRS-R scores across all patients (Spearman's ρ=0.43, p=0.02). Conclusion: The findings suggest that MI-BCI classification accuracy and attention indices may serve as auxiliary discriminators between UWS and MCS patients, with MCS patients demonstrating superior responsiveness to MI-BCI training.
Keywords: Prolonged Disorders of consciousness, Electroencephalography, Motorimagery, Brain-computer interface, assessment
Received: 30 Aug 2025; Accepted: 10 Nov 2025.
Copyright: © 2025 Liu, Qianqian, Dong, Jiao, Han, Kang, Wang, He and Zhang. This is an open-access article distributed under the terms of the Creative Commons Attribution License (CC BY). The use, distribution or reproduction in other forums is permitted, provided the original author(s) or licensor are credited and that the original publication in this journal is cited, in accordance with accepted academic practice. No use, distribution or reproduction is permitted which does not comply with these terms.
* Correspondence:
Jianghong He, he_jianghong@sina.cn
Hao Zhang, crrczh2020@163.com
Disclaimer: All claims expressed in this article are solely those of the authors and do not necessarily represent those of their affiliated organizations, or those of the publisher, the editors and the reviewers. Any product that may be evaluated in this article or claim that may be made by its manufacturer is not guaranteed or endorsed by the publisher.
