Your new experience awaits. Try the new design now and help us make it even better

ORIGINAL RESEARCH article

Front. Lang. Sci., 17 November 2025

Sec. Bilingualism

Volume 4 - 2025 | https://doi.org/10.3389/flang.2025.1671807

Investigating patterns of language dominance and mixed dominance among Farsi-German bilingual children in Germany

  • Department of Rehabilitation Sciences, Research Unit of Language and Communication, TU Dortmund University, Dortmund, Germany

Introduction: This study aimed to operationalize language dominance based on relative language proficiency across vocabulary and morphosyntax and to classify children into dominant and balanced groups. These language dominance classifications were compared with those based on relative language experience, which is characterized by two child-external factors: relative language exposure and use in Farsi. This study further explored child-internal and -external factors contributing to mixed language dominance, defined as a divergence in dominance classification across linguistic domains.

Methods: Thirty-two Farsi-German bilingual children (age range: 3.10–8.9 years, mean = 6.9 years, SD = 16.8), who speak Farsi as their heritage language (HL) in Germany, participated in the study. All children were tested on vocabulary and morphosyntax in both Farsi and German using the LITMUS-Crosslinguistic Lexical Tasks (CLTs) and Sentence Repetition Tasks (SRTs). Children's relative language experience was documented based on parental ratings.

Results: The findings indicated that the 0.5 SD-based classification is a reliable method for identifying language dominance. In contrast, relative language experience in the HL only partially predicted Farsi-dominant status when compared to German-dominant and balanced children across domains. Mixed dominance was observed in 45% of the children and was influenced by relative language use in the HL and length of exposure (LoE) to German.

Discussion: Overall, this study highlighted that using a 0.5 SD threshold provides a more consistent approach to determining relative language proficiency and that mixed dominance is a characteristic feature of bilingualism. Recognizing this feature and its contributing factors may help reduce the risk of misdiagnosing developmental language disorder (DLD) in bilingual children.

1 Introduction

Language dominance is a long-standing and well-established concept in bilingualism (e.g., Lambert et al., 1959; Treffers-Daller and Korybski, 2016; Treffers-Daller, 2009, 2011, 2019). In conventional assessment frameworks for bilingual children, language dominance has been used to determine the language in which bilingual children receive speech and language therapy (American Speech-Language-Hearing Association, 1985). This, however, might have stemmed from an incorrect assumption that bilingual children perform monolingual-like in their dominant language. Under this assumption, if a bilingual child has not acquired a linguistic ability in their dominant language that a monolingual child would typically master at the same age, the bilingual child may be diagnosed with developmental language disorder (DLD). This unfair comparison has therefore contributed to the over-identification of DLD in bilinguals (Peña et al., 2023).

Shifts in focus from studies on monolingual-bilingual comparisons to within-bilingual comparisons have underscored the relevance of language dominance, particularly in explaining variability in bilingual children's linguistic abilities across their two languages (Luk and Bialystok, 2013; Montrul, 2016; Treffers-Daller, 2019). While language dominance is increasingly examined in longitudinal studies (Oppenheim et al., 2020; Paradis et al., 2025), it remains highly relevant in research on cross-linguistic influence and code-switching, especially in bilingual heritage language (HL) children who acquire their home language from birth but may acquire the majority language (ML) at different ages (Montrul, 2015; Van Dijk et al., 2021; Olson, 2023).

The hallmark of language dominance is its multidimensionality, meaning that language dominance can be framed based on the dimension under investigation. The definition of language dominance has mostly been built on either relative language proficiency—referring to a more developed language—or relative language experience—referring to a language with greater exposure or use as a dominant language (Bedore et al., 2012; Montrul, 2016; Unsworth, 2016; Treffers-Daller and Korybski, 2016; Snape and Kupisch, 2017; Unsworth et al., 2018; Treffers-Daller, 2019). Language dominance can be operationalized in two main ways: through relative performance-based measures, such as language tests, or experiential-based measures, which focus on relative language experience (relative language exposure and use). A comprehensive understanding of the dual language development of bilingual children is thus closely tied to the operationalization of language dominance (Silva-Corvalán and Treffers-Daller, 2016; Treffers-Daller and Korybski, 2016; Kootstra and Doedens, 2016; Olson, 2023; Unsworth, 2016; Unsworth et al., 2018).

Although relative language experience has often served as a means of capturing language dominance in research and is even recognized as a proxy for language dominance in Unsworth et al. (2018), this approach involves some limitations. First, the relationship between relative language proficiency and relative language experience differs in strength across various studies (Unsworth, 2016; Treffers-Daller, 2019). Second, Unsworth et al. (2018) investigated the correlation between relative language experience and relative language proficiency measured by mean-length of utterance in words (MLU) in children's spontaneous speech samples. Since MLU is significantly dependent on typological aspects of the languages involved, it might not provide accurate results (Cantone et al., 2008; Unsworth, 2016; Scherger, 2018; Unsworth et al., 2018; Yip and Matthews, 2006; Allen and Dench, 2015). Third, relative language experience is just one of many individual difference (ID) factors influencing dual language development. Relying on it alone might risk overlooking the complexities of language dominance (e.g., Paradis, 2023). One such complexity level lies in mixed dominance—where a bilingual child may be dominant in vocabulary in one language but dominant in morphosyntax in the other. Studies have found that nearly half of bilingual children exhibit this incongruent pattern of domain-specific dominance (Bedore et al., 2012, 2016; Peña et al., 2020, 2023). Thus, considering only relative language experience does not always lead to a meaningful proxy for language dominance.

In summary, using relative language experience alone to operationalize language dominance remains controversial. Therefore, the present study aimed to classify Farsi-German bilingual children as Farsi-dominant, German-dominant, or balanced based on their vocabulary and morphosyntactic abilities, and then to evaluate whether relative language experience can reliably serve as a proxy for language dominance in both linguistic domains. In addition, this study explored the extent to which bilingual HL children demonstrate mixed dominance. This study attempted to make the use of language dominance more feasible for researchers and speech and language pathologists (SLPs) as this concept accounts for variability in bilingualism. Moreover, this study enriched our knowledge regarding mixed dominance, which may provide a more accurate reflection of dual language development due to its consideration of language dominance across linguistic domains. The remainder of this introduction is structured as follows: first, we review studies that have used various approaches to measure language dominance; next, we discuss the variability in how indices of language dominance are computed; finally, we present previous research on cases of mixed dominance. Rather than discussing each study individually, we organize the literature around these key points, meaning that some studies may appear in more than one section if they address multiple aspects of language dominance.

1.1 Language dominance

In attempts to advance our understanding of language dominance, many studies have delved into how language dominance is constructed and how it can be measured (Silva-Corvalán and Treffers-Daller, 2016; Montrul, 2016; Treffers-Daller and Korybski, 2016; Kootstra and Doedens, 2016; Unsworth, 2016; Unsworth et al., 2018; Olson, 2023). Montrul (2016) differentiated between language proficiency and language dominance arguing that language proficiency taps into the language abilities of only one language, while language dominance is attributed to a comparison between the two languages of a bilingual individual. This goes beyond comparing proficiency in two languages (relative language proficiency) because language dominance also takes into account child-internal factors, such as age and length of exposure (LoE), as well as child-external factors, among which relative language exposure and use have received considerable attention (Bedore et al., 2012; Montrul, 2016; Unsworth et al., 2018).

Bedore et al. (2012), for example, classified bilingual Spanish-English children (mean age: 5.3 years) into five groups based on their relative language experience. Children with 80–100% exposure/use to either Spanish or English were considered functionally monolingual in that language; those with 60% to 80% use in one language and 20–40% in the other language were categorized as either Spanish- or English-dominant; and children who used English and Spanish each between 40% and 60% were classified as balanced bilinguals. Bedore et al.'s findings showed that although current language exposure and use were highly correlated (0.95), current language use accounted for more variation in children's vocabulary and morphosyntax tested by means of the BESOS (Bilingual English Spanish Oral Language Screening, developed; Peña et al., 2010). Their findings also indicated that children with language use greater than 80% performed better in English than Spanish vocabulary whereas the pattern was reverse for children with language use lower than 80%. In contrast, the cut-off point dropped to 50% for morphosyntax. This led to an inconsistency in language dominance based on vocabulary and morphosyntax when children had between 50% to 80% language uses. This phenomenon will be discussed further in the section on mixed dominance.

Unlike Bedore et al. (2012), Unsworth et al. (2018) (see also Unsworth, 2016) classified 35 English-Dutch speaking children aged 2.0–5.1 into Dutch-dominant, balanced, and English-dominant based on their relative language proficiency across various productive and receptive measures. 20 of the children had Dutch as ML and the rest had English as ML. Similar to the Bedore et al. (2012), this study also adopted a child-by-child rather than a group-based approach, examining the relation between relative language proficiency and children's language exposure and use. Since bilingual children differ widely in their language development as well as language experience, a child-by-child exploration i.e., an analysis of individual results and comparison of different scores within a single child, allows for a more accurate capture of individual variability that would otherwise be masked by group averages. Unsworth and her colleagues found that in contrast to the fixed cut-off points used by Bedore et al. (2012), balanced children typically had less than 65% exposure to Dutch and less than 90% use of Dutch; Dutch-dominant children had 65% or more exposure and 90% or more use; and English-dominant children had 35% or less exposure and 10% or less use. This pattern was observed across nearly all measures, except for receptive vocabulary.

Unsworth et al. also found that the link between relative language proficiency and relative language experience was most evident in MLU and productive verbs, but less informative in receptive and productive nouns. The fact that relative language experience predicted morphosyntactic components more accurately than receptive or productive nouns may reflect the greater complexity of morphosyntax compared to semantics. In other words, the children in this study seemed to acquire receptive and productive nouns with somewhat less dependence on relative language experience than morphosyntactic abilities and verbs, which may be more closely linked to morphosyntax (Unsworth, 2013; Unsworth et al., 2018).

Since relying on MLU can be misleading due to its limitations in cross-linguistic comparisons (Montrul, 2016), using tests developed with a cross-linguistic perspective may help address this issue. The LITMUS tools (Language Impairment Testing in Multilingual Settings; COST Action IS0804, Armon-Lotem and de Jong, 2015) have specifically been designed for bilingual children across many languages. These tools have initially been developed with the aim of distinguishing bilingual children with and without DLD. However, they also represent robust measures of bilingual children's language proficiency and can thus be used to operationalize language dominance (Treffers-Daller, 2019).

To our knowledge, the only study that measured both languages of bilingual children across various linguistic domains using LITMUS tools and attempted to determine language dominance is Komeili et al. (2023). They tested Farsi-English bilingual children aged 6.1–11.6 on the LITMUS Crosslinguistic Lexical Tasks (CLTs), Sentence Repetition Tasks (SRTs), and the retelling component of Multilingual Assessment Instrument for Narratives (MAIN; Gagarina and Lindgren, 2020). These children had acquired Farsi within the first 2 years of life and had at least 2 years of exposure to English.

The children's performance was analyzed at the group level by comparing the mean scores for each language on the CLT and the SRT using ANOVA. Children's narratives were assessed using microstructure analysis, focusing on complexity, accuracy, and fluency (CAF method; Housen and Kuiken, 2009). For CLT, Komeili et al. (2023) considered three factors including language (English and Farsi), modality (comprehension and production), and word type (noun and verb) in the analysis. Their results showed that the children performed significantly better in English than in Farsi across most measures, except for verb comprehension, which yielded on par performance in both languages. For SRT, only the factor of language was included, and no significant difference was found between Farsi and English. Microstructure analysis revealed that children's narrative production was more complex, accurate, and fluent in English than in Farsi. Therefore, while children were more English-dominant in vocabulary and narrative microstructure, they appeared to be balanced in morphosyntax, performing comparably in both languages.

1.2 Computing dominance indices

Even accepting that relative language proficiency might be more valid than relative language experience to measure language dominance, computing dominance indices—derived from mathematical calculations comparing two language proficiencies—and approaches to classify bilingual children still remain challenging (Birdsong, 2016; Treffers-Daller, 2019). Birdsong (2016) drew a detailed comparison among various ways of computing dominance indices like ratio- or subtraction-driven ones, that is, dividing or subtracting the score of one language by/from that of the other. He also pointed out that dominance indices, no matter how they are calculated, are inherently continuous variables and better be interpreted continuously rather than categorically, whenever possible. This is especially important as the concept of perfectly balanced bilinguals is controversial and therefore language indices as a continuous variable can properly indicate in which language the bilingual child is more proficient compared to the other (Birdsong, 2016; Silva-Corvalán and Treffers-Daller, 2016; Wu and Struys, 2021).

However, some studies have shown that balanced bilinguals perform differently to their unbalanced counterparts on linguistic and non-linguistic tasks. This suggests that classifying them as a separate group could reveal meaningful differences (Wang, 2012; Rosselli et al., 2015; Goriot et al., 2018; Meir, 2018; among many). For instance, Meir (2018) examined morphosyntactic abilities using LITMUS-SRTs in balanced and unbalanced Russian-Hebrew speaking children aged 5.5–6.5. In order to classify children based on their language dominance and balance, children's language proficiency in both languages was tested using Russian Language Proficiency Test for Multilingual Children (Gagarina et al., 2010) and the Goralnik Screening Test for Hebrew (Goralnik, 1995). Given the use of two diverse tests, the results were not fully comparable and hence the subtraction of the scores in two languages could not lead to valid language indices. Instead, provisional cut-off points (Altman et al., 2016) were adopted to classify balanced and unbalanced groups. That is, balanced bilinguals scored higher than −1.25 in both languages while unbalanced children scored below −1.25 in one of their languages. Their findings revealed that unbalanced children underperformed balanced children in their weaker language on the SRTs, indicating a nuanced difference between balanced and unbalanced bilinguals. Therefore, as Treffers-Daller (2019) discussed, researchers need to decide what kind of variable best serves their study goals.

Bedore et al. (2012) also relied on relative language proficiency to classify children in the five groups using the subtraction-based method (differential percent = English percent – Spanish percent) across semantics and morphosyntax: Children ranging from −100 to −61 and from 61 to 100 exposure/use to either Spanish or English were considered functionally monolingual in that language; exposure/use ranging from −60 to −21 or from 21 to 60 was categorized as Spanish-dominant or English-dominant, respectively; and those with exposure/use ranging from −20 to 20 as balanced bilinguals. Their findings showed that while children were mostly balanced in morphosyntax, they were more Spanish-dominant in semantics.

In Treffers-Daller and Korybski (2016), 26 Polish-English adults aged 18–64 took part in a story-telling task in both their languages. The transcriptions of their stories were analyzed for lexical diversity, defined as the variety of different words used during storytelling. The authors scaled the scores (henceforth z-scores) to the word counts in both languages to enable cross-linguistic comparison and then computed the subtraction-based dominance index. To classify participants into dominance groups (Polish-dominant, balanced, and English-dominant), they first used the 1 standard deviation (SD) as a cut-off point, a widely accepted criterion in statistics for identifying significant differences. Accordingly, participants with z-scores above +1 were classified as English-dominant, those below −1 as Polish-dominant, and those with scores between −1 and +1 as balanced bilinguals. They found that 16 participants (72%) turned out to be balanced while 3 participants (13%) were dominant in each language. Applying the 0.5 SD, however, led to a smaller number of balanced bilinguals and a greater number of Polish- and English-dominant bilinguals. Treffers-Daller and Korybski argued that the 1 SD cut-off may be a relatively lenient criterion, potentially favoring the classification of individuals as balanced bilinguals. However, adopting a more restrictive threshold—such as 0.5 SD—can reveal more fine-grained distinctions in bilingual language dominance.

Unsworth et al. (2018) attempted to validate whether the 1 SD cut-off point yielded proper language dominance and balanced groups by using k-means cluster analysis (Ward's minimum variance method; Ward, 1963). K-means cluster analysis is an exploratory method that groups individuals into clusters based on their similarities on one or more variables. Members of each cluster share close internal similarities, while the clusters themselves differ from one another. In other words, k-means cluster analysis is a data-driven method that classifies children into language dominance and balanced groups by identifying patterns of similarity and difference in the dataset, rather than relying on pre-defined cut-off points. Another advantage of k-means cluster analysis is that the number of clusters can be specified depending on the interpretability of the resulting groups. Unsworth et al. (2018) opted for a three-cluster solution, which allowed them to compare groups in terms of both the 1 SD and the k-means classification.

Unsworth et al. (2018) tested Dutch-English speaking children on receptive vocabulary tasks (PPVT or BPVS; Dunn et al., 1997, 2005; Dunn and Dunn, 2007) in both languages. In addition, children's spontaneous speech productions during a half-hour interaction with a parent or researcher were video-recorded and transcribed. The transcriptions were analyzed in terms of MLU (in words), the average length of the longest five utterances in the sample (Upper Bound, UB5), the number of different verbs (VERBS) and nouns (NOUNS). In order to classify children based on the 1 SD in MLU, the authors opted for a differential score (Dutch–English) of at least 0.99 words (Bernardini and Schlyter, 2004; Unsworth, 2016). That is, if the differential scores were greater than 0.99 words, the children were classified as Dutch-dominant, and vice-versa. Nevertheless, children were balanced if their differential scores were less than 0.99 words. The language-dominance and balance classifications based on the 1 SD were compared to that of k-means cluster analysis, showing that there was a 94 % overlap between these two methods of classification in MLU. The overlap for VERBS and NOUNs was 82 % and 74%, respectively. The two methods diverged more significantly in UB5 and receptive vocabulary, with an almost 50% overlap. Interestingly, the dissimilarity between these two methods in MLU, VERBS and NOUNS stemmed from the diverse classification of the balanced children in that general k-means cluster analysis tended to classify fewer children in the balanced group rather than the 1 SD.

In sum, the SD-based method has so far been used mostly in spontaneous speech. Furthermore, there are not many studies examining the appropriateness of cut-off points (the 1 or 0.5 SD) across various domains (Treffers-Daller and Korybski, 2016). Thus, it is unclear whether the SD-based method can properly classify children into language dominance and balanced groups on vocabulary and morphosyntactic tasks.

1.3 Mixed dominance

Studies operationalizing language dominance have found that the classification might vary from one linguistic domain to another (Bedore et al., 2010, 2012, 2016; Unsworth et al., 2018; Treffers-Daller, 2019; Peña et al., 2020, 2023; Komeili et al., 2023). This has been known as mixed dominance. Bedore et al. (2012) found that almost 51% of children were assigned to different language dominance or balanced bilingual groups depending on whether vocabulary or morphosyntactic abilities were used as the basis for classification. In other studies, language dominance was determined by vocabulary, sentence repetition, and grammatical close tasks in kindergarten-age children (Bedore et al., 2010, 2016). They reported the level of mixed dominance at almost 60%. Peña et al. (2020) also classified school-aged Spanish-English speaking children into different language dominance groups by testing their vocabulary, morphosyntax, and narratives. Their comparison between dominance and balanced groups indicated that almost 65% of children showed mixed dominance across domains. This suggests that language dominance operationalized by one linguistic domain might not be aligned with the language dominance of other domains.

In a recent study, Peña et al. (2023) investigated the probability of mixed dominance across exposure to English in 5- to 12-year-old Spanish-English speaking children with typical language development. Children's vocabulary and morphosyntactic skills were assessed to determine language dominance such that children were dominant in a language in which their accuracy scores were higher. Their findings showed that children were more likely to have mixed dominance when their exposure to English was between 80% and 100%. They also found that mixed dominance is a common phenomenon that occurs independently of language development status in both children with and without DLD.

1.4 The present study

The present study sought to expand the previous literature by investigating language dominance in HL child speakers of Farsi living in Germany, an understudied population, based on relative language proficiency across both vocabulary and morphosyntactic domains using LITMUS tools. This study aimed to determine the degree of alignment between the SD-based and clustering methods in classifying children into Farsi-dominant, balanced, and German-dominant groups across both domains; to examine whether relative language experience in the HL can represent a proxy for language dominance; and to identify child-internal and -external factors that predict the probability of mixed dominance. Together, these aims contribute to more empirically grounded approaches to the operationalization of language dominance and provide a new insight into mixed dominance as a characteristic of bilingualism. Based on these aims, our research questions and their corresponding predictions were as follows:

(1) Is there an overlap between SD-based and clustering methods in classifying children into language dominance and balanced groups?

We hypothesize that the 1 SD method will show greater overlap with the clustering method on the SRT in line with Unsworth et al. (2018), who reported the highest overlap for MLU in spontaneous speech—an indicator of morphosyntactic complexity. In contrast, we expect the 1 SD method to show smaller overlap with the clustering method on the CLT, consistent with Unsworth et al.'s finding of lower overlap for productive and receptive vocabulary. Furthermore, we predict that the 0.5 SD method will classify children into language dominance and balanced groups more precisely than the 1 SD, thereby increasing the overlap between the two methods across both tests.

(2) Does relative language experience in the HL serve as a proxy for language dominance?

We hypothesize that relative language experience in the HL reliably predicts language dominance, consistent with previous work that used relative language experience to classify language dominance and with the findings of Unsworth et al. (2018), which support its use as a proxy for language dominance.

(3) To what extent do child-internal and -external factors predict the probability of mixed dominance?

With respect to age and LoE to German as child-internal factors, we predict that the probability of mixed dominance will increase in children who are older and have greater LoE to German. With respect to relative language experience in the HL as a child-external factor, we predict that the probability of mixed dominance will also increase when relative language experience in the HL remains high in HL children who are exposed to German-ML in kindergartens and schools.

2 Methods

2.1 Participants

Thirty-two Farsi-German bilingual children (age range: 3.10–8.9, M = 6.9 years, SD = 16.8 months, 18 girls) were recruited for this study. The inclusion criteria for the study were that children had to live in Germany, have been exposed to German for at least 6 months, and have been exposed to Farsi from birth. As a result, the age at which the children were first exposed to German via parents, kindergartens or schools varied. This is known as age of onset (AoO), which is reported in Table 1. Consequently, although LoE to Farsi was equal to children's age, LoE to German was calculated by subtracting the AoO of German from the children's age. Due to the homogeneity in AoO for Farsi (0 months) and the equivalence of LoE to Farsi with age, Table 1 includes only AoO and LoE for German. Of all the children, six were born in Iran and 26 in Germany. Eighteen children attended after-school HL classes in Farsi offering a weekly 2-hour session. All of the children were recruited through HL-Farsi educators, expatriate groups on social media, and word of mouth.

Table 1
www.frontiersin.org

Table 1. Sample characteristics.

2.2 Parental questionnaire

We conducted a semi-structured interview with parents while completing the Quantifying Bilingual Experience questionnaire (Q-BEx; De Cat et al., 2022, 2025). Q-BEx is an online parental questionnaire that takes a user-friendly approach to capturing comprehensive background information on bilinguals across multiple languages. Given its availability in Farsi—the language in which the interview took place—as well as its finer measure of relative language experience, Q-BEx was a more suitable tool for this study than other parental questionnaires, such as the ALEQ-4 (Alberta Language Environment Questionnaire; Paradis et al., 2020) and the PABiQ (Questionnaire for Parents of Bilingual Children; Tuller, 2015).

We focused on assessing current rather than cumulative language experience, as our aim was to capture the child's language exposure and use at the time of testing rather than over the entire developmental period. Moreover, current language experience has been identified as a significant predictor of maintaining dual language acquisition (Unsworth, 2013), and recent findings highlight its specific role as a strong predictor of HL proficiency (De Cat et al., 2025).

In the module “Current Estimates of Language Exposure and Use (short version),” parents answered two questions for each setting (home, day care/school, community, and holidays): (1) how often others use each language (HL and ML) when speaking to the child, and (2) how often the child uses each language (HL and ML) when speaking to others. Parents reported these amounts using sliders, where moving the slider toward “more” indicated higher exposure or use, and moving it toward “less” indicated lower exposure or use. Adjustments on the sliders modified the sections of a pie chart, representing the relative proportions of exposure and use—in this case, HL vs. ML. For example, a child might be exposed 43% of the time to the HL and 57% to the ML. This design allowed parents to indicate relative language exposure and use without performing explicit calculations (De Cat et al., 2025). In this study, the child's relative language exposure and use in Farsi (HL) were calculated as the mean across the four settings, as shown in Table 1.

2.3 Vocabulary and morphosyntactic tasks

In order to assess vocabulary and morphosyntactic abilities in Farsi and German, CLTs and SRTs from the LITMUS test battery, were administered (Farsi CLT: Talabi, 2018; German CLT: Rinker and Gagarina, 2014; Farsi SRT: Komeili et al., 2020; German SRT: Hamann et al., 2013, 2017). The LITMUS test battery offers several advantages for crosslinguistic comparisons within and across bilingual children. In addition to assessing children's language proficiency, it was developed according to a set of principles that account for cultural and linguistic differences. This design makes it possible to adapt LITMUS tools across a variety of languages, including Farsi and German in the present study.

CLT is the vocabulary test of the LITMUS battery and include picture-selection and -naming components to comprehensively assess receptive nouns, receptive verbs, expressive nouns, and expressive verbs. Each subtest includes 32 items in both languages. The target word items were selected based on estimates of their age of acquisition and a composite measure of word complexity index (Haman et al., 2017). These two properties make the CLT a reliable tool for assessing bilingual children up to a mean age of 8 years (Ringblom and Dobrova, 2019).

SRT is the grammatical test of the LITMUS test battery that requires active sentence processing and relies on morphosyntactic knowledge. Syntactically complex structures have been shown to be vulnerable cross-linguistically (Marinis and Armon-Lotem, 2015). Since particular syntactic structures are language-specific and cannot always be organized in parallel across languages, the construction of the LITMUS SRTs followed two principles. First, each SRT includes syntactically complex structures that are generally challenging for children with DLD, typically involving syntactic movement and/or embedding, together with simple patterns that serve as control structures. Second, each SRT includes language-specific structures that have been shown to be particularly difficult for children with DLD in the respective language.

The shortened version of the Farsi SRT contains 30 sentences across 10 conditions (three sentences per condition). Level 1 and Level 2 each include three conditions: Level 1 includes present progressive, possessive clitics, and object who-questions, and Level 2 includes object clitics, complex Ezafe, and object which-questions. Level 3 consists of four conditions, including subordinates, conditionals, right-branching object relatives, and center-embedded object relatives.

In contrast, the German SRT contains 45 sentences across 15 conditions (three sentences per condition). Each level consists of five conditions: Level 1 includes simple declaratives and assesses subject-verb-agreement, tense, and the sentence bracket; Level 2 includes object who- and which-questions, coordination, and finite and non-finite complement clauses, contrasting with coordinate structures; and Level 3 includes passive, topicalization, subject relatives, and object relatives with and without an intervener. The difference in length between the Farsi and German SRTs is due to the fact that the reduction process for the German version has not yet been completed.

2.4 Procedure

All participants completed the study in a quiet room at their home, their HL school, or the child-friendly lab at [TU Dortmund] University after their parents had given their written consent (the data collection was part of the project [SPEAK] and covered by the ethics vote of [the DGfS (German Linguistics Society)]). All instructions and items for the Farsi and German CLTs and SRTs were pre-recorded by Farsi and German native speakers and integrated into the CLT app and SRT PowerPoint slides. The children were tested first on the CLT, followed by the SRT in both languages. The CLT subtest order was as follows: (1) receptive noun, (2) receptive verb, (3) expressive noun, and (4) expressive verb.

The children were video-recorded while performing the tasks for reasons of quality check. In addition to the protocol conducted online during the session, the transcriptions and analyses were afterwards double-checked online by an independent rater for every child by means of the videos. Data collection took place in two separate sessions (one in Farsi and the other in German, with a randomized language order). Each session was administered by a native Farsi or German speaker and lasted approximately 30 min. During the tasks, the children were asked to listen to the pre-recorded instructions displayed on an iPad and to swipe through the slides, clicking on the target picture in the receptive subtests and naming the items in the expressive subtests. If a child was unable to swipe the slides, the administrator took over.

Although only one language was used per session, children sometimes code-switched between Farsi and German during the expressive subtests. In such cases, we asked whether they knew the name of the item in the target language. If not, we provided the correct name and continued with the test. To maintain the children's motivation, if they had difficulty naming several items in a row in the target language, they were encouraged to name the items in the other language until they were able to name one in the target language. For example, if a child was not able to name multiple items in Farsi, the administrator said “It is fine if you do not know or remember the name of this item in Farsi; you can name it in German first and then I will tell you its name in Farsi”. For the following items, the child might have tended to stick to German but the administrator asked each time whether they could also name the item in Farsi. In this way, children had the opportunity to produce words—even if not in the target language—rather than simply saying “I don't know”, which could lead to frustration. It is important to note that all the assistance was provided in a general and neutral language. Similar to the CLTs, children were asked to carefully listen to the pre-recorded instructions in the SRTs and to swipe the slides after repeating the sentences as closely as possible to what they had heard. As a token of appreciation for children's participation, they received a certificate of participation and a reward, while parents received a brief report of their children's performance in both languages.

2.5 Scoring

The children's responses were transcribed by two native speakers of Farsi and German. In CLT receptive subtests, pictures matched the named items were scored as correct (1) and unmatched pictures were scored as incorrect (0). In the expressive subtests, productions were considered as correct when they matched the name of the showed picture. Moreover, productions were scored 1 if at least one third of a word was produced. For example, a response is considered correct if a child sees a picture of a banana and says “ban” instead of “Banane” in German. For the CLT, the scores of the four subtests were combined to create an aggregated score. The goal was to provide a comprehensive picture of children's overall vocabulary skills rather than focusing on well-established patterns of noun-verb and receptive-expressive gaps among bilinguals (e.g., Haman et al., 2017; Hoff, 2018; Giguere and Hoff, 2022).

Responses on SRTs can be scored using different scoring schemes. For this study, identical sentence repetition was used as the scoring method, that is, if the children repeated a whole sentence identically to what they heard, they would get the value 1, otherwise the value 0 points. This scoring scheme was chosen with practitioners in mind as it is more time-saving and feasible for SLPs as well as researchers than more in-depth scoring (e.g., phenomenon-based target structure analyses) and does not deal with the complexity of target structures, which requires reliability-checking. For example, subordinate clauses included in the SRT are shown in (1) as a challenging Farsi item, and (2) illustrates an instance of inaccurate repetition, demonstrating the identical repetition scoring method.

Farsi stimulus

(1)  qætar        gæblæz             inkε

train    before               that

man     bεrεsæm,             ræftε

I           SUBJ-arrive-1SG        leave-PAST.PTCP

bud   

be-PAST.3SG

“The train had left before I arrived”

Child's response

(2)      * qætar       ræftε                         bud

train           leave-PAST.PTCP    be-PAST.3SG

kε               man                           bεrεsæm

that             I                                SUBJ-arrive-1SG

2.6 Analysis

We used SD-based and clustering analysis methods to classify children as Farsi-dominant, balanced, or German-dominant, following the approach in Unsworth et al. (2018). Participants' scores were scaled on CLTs and SRTs in both languages (z-scores). It is worth noting that although the CLTs and SRTs in Farsi and German were developed following LITMUS principles, it remains unclear whether they yield comparable results in terms of complexity and difficulty in practice. One study by Van Wonderen and Unsworth (2020) examined the validity of the CLTs in monolingual Spanish- and Dutch-speaking children aged 4.0–9.7 who were comparable in age and SES. They found that the CLTs effectively indicated children's language proficiency, as scores on the CLTs correlated with scores on the SRTs. Nevertheless, monolingual Spanish-speaking children outperformed monolingual Dutch-speaking children on the CLT's production subtest. This finding points to the possibility of unequal complexity between the Spanish and Dutch CLTs, even though both were constructed based on the estimated age of acquisition and phonological complexity index of the target words.

Given the authors' caution in using CLTs to measure relative language proficiency and the lack of validation studies of the CLTs and SRTs with monolingual Farsi-speaking and German-speaking children, we opted to scale the scores across tasks and languages to mitigate the effects of potential test-level variation. Afterwards, differential z-scores (diff_z-scores) were computed by subtracting German scores from Farsi scores per test (Farsi z-scores–German z-scores). One child scored below 1.5 SD in at least one domain in each language. Therefore, this child was excluded due to being at risk for DLD. The analyses were continued with a dataset of 31 children.

The classifications based on two cut-off points (0.5 SD and 1 SD) were compared to the outcomes derived from a hierarchical agglomerative clustering analysis (HAC; cluster package; Maechler et al., 2022). The analysis was conducted in R (R Core Team, 2024). Similar to k-means cluster analysis, HAC uses a distance measure, such as Euclidean distance, to calculate how far apart points are, and then applies Ward's method (ward.D2) to form clusters. Ward's method minimizes the total variance within clusters, creating groups that are as compact and homogeneous as possible (Murtagh and Legendre, 2014). Compared to k-means clustering, HAC provides greater stability in small samples, making it a more suitable choice for this study with its limited participants. Although HAC is a bottom-up method and can form clusters without a pre-specified number, a three-cluster solution was applied to both the CLT and SRT to ensure interpretability and comparability of language dominance and balanced groups with the SD-based methods. The three clusters were labeled as Farsi-dominant, balanced, and German-dominant, reflecting relatively higher performance in Farsi, similar performance across both languages, and relatively higher performance in German, respectively. To assess whether the three-cluster solution significantly predicted differential performance on the CLT and the SRT, we conducted a one-way analysis of variance (ANOVA; car package; Fox and Weisberg, 2019).

In order to explore the association between relative language proficiency and relative language experience, we conducted Bayesian multinomial logistic regression analyses (brms package; Bürkner, 2017), using language dominance classification per task as the outcome and relative language exposure and use in Farsi as predictors. Moreover, we plotted relative language experience (relative language exposure and use in Farsi) against relative language proficiency (diff_z-scores) on the CLT and the SRT using the ggplot2 package (Wickham, 2016). We also conducted a Bayesian logistic regression (using the brms package; Bürkner, 2017) to investigate the predicted probability of mixed dominance, defined as cases where children were classified into different language dominance or balanced groups across domains. This could address the limited participant size and increase the robustness and reliability of models. All the models used the default weakly informative priors on the regression coefficients provided by the brms package. A predictor was considered to have a significant effect if its 95% credible interval (CI) did not include zero, indicating a high posterior probability that the effect was different from zero.

Prior to constructing the models, the multicollinearity between relative language exposure and use in Farsi was checked, showing a high correlation (0.95). Therefore, the initial two models comprised relative language exposure and use in Farsi separately along with age, LoE to German and their interactions as fixed factors. All the factors were scaled. As these models encountered several convergence issues, they were simplified backwards by removing the interactions step by step. The models were compared with each other in terms of improvement and convergence using loo package (Vehtari et al., 2023). These comparisons leaned toward the simplest models with no interactions. The interactions did not significantly improve the models as the differences in predictive accuracy between models (elpd_diff) were not at least twice as large as their uncertainty of those differences (se-diff). The final two models (one for relative language exposure in Farsi and the other one for relative language use in Farsi) did not show a significant difference either, which, in turn, yielded fairly similar results. Therefore, in the interest of simplicity, we only report the outcomes of the model including relative language use in Farsi for mixed dominance (see Section 3).

To estimate the probability of mixed language dominance, we used posterior predictions from our Bayesian model. For each variable (e.g., relative language use in Farsi), predicted probabilities were generated using the posterior_epred function. We then calculated the mean predicted probability across all posterior samples to obtain the expected probability of mixed dominance for each variable. To quantify uncertainty, 95% credible intervals were derived from the 2.5% and 97.5% quantiles of the posterior predictions.

3 Results

Figure 1 illustrates language dominance classifications based on the SD-based and HAC methods across both the CLT and the SRT. Children's Farsi z-scores are presented on the x-axis, while their German z-scores are presented on the y-axis, with individual data points labeled by Participant_ID. Each Participant_ID is represented by either a filled or open shape, distinguishing the 0.5 SD from. the 1 SD classification and by a color representing the HAC classification. As the visualization suggests, the alignment between the SD-based and HAC classifications is high overall, as indicated by the largely overlapping shapes and colors in each classification.

Figure 1
Line graphs labeled A and B depict mixed dominance as a function of language use. Graph A shows mixed dominance increasing with higher relative language use in Farsi. Graph B shows mixed dominance increasing with longer length of exposure to German. Shaded areas indicate confidence intervals. Filled shapes indicate the 0.5 SD cut-off point, while open shapes indicate the 1 SD cut-off point. Colors represent the HAC-based classifications.

Figure 1. Language dominance classifications based on the SD-based and HAC methods. SD-based classifications were applied to relative language proficiency, calculated as diff_z-scores (Farsi z-scores—German z-scores). Filled shapes indicate the 0.5 SD cut-off point, while open shapes indicate the 1 SD cut-off point. Colors represent the HAC-based classifications.

One-way analysis of variance revealed a statistically significant effect of cluster on differential performance (p < 0.001), as expected given that the clusters were defined based on language performance. This result indicates that the three groups capture distinct dual-language profiles across both CLT and SRT. Moreover, pairwise group differences were explored using Tukey's Honest Significant Difference (HSD; multcomp package; Hothorn et al., 2008) post hoc test, exhibiting significant differences across groups (p < 0.001), with the Farsi-dominant group performing significantly better in Farsi than German, the German-dominant group showing the opposite pattern, and the balanced group performing similarly across both languages.

Table 2 presents the extent to which the 0.5 SD and the 1 SD-based classifications aligned with the three-cluster solution derived from the HAC analysis for the CLT and the SRT. The 0.5 SD showed higher agreement with the HAC compared to the 1 SD. This was evident in higher percentages of agreement for both the CLT and the SRT, with a more robust increase in agreement for the SRT than for the CLT.

Table 2
www.frontiersin.org

Table 2. Alignment between the SD-based and HAC methods.

A detailed examination of the visualization of CLT in Figure 1 revealed that the 1 SD approach classified 23 children as balanced, 4 as Farsi-dominant, and 4 as German-dominant. In contrast, the 0.5 SD approach classified only 12 children as balanced, 10 as Farsi-dominant, and 9 as German-dominant. This distribution more closely resembled that of the HAC, which classified 16 children as balanced, 12 as Farsi-dominant, and 3 as German-dominant. To examine the differences between the 0.5 SD and the HAC classification approaches in more detail, we conducted a participant-level comparison. Children with Participant_IDs 25 and 21 were classified as balanced by the 0.5 SD method, but the HAC approach classified them as Farsi-dominant. Moreover, children with Participant_IDs 10, 11, 19, 22, 24, and 29 were classified as German-dominant by the 0.5 SD method, but the HAC approach classified them as balanced.

For the SRT, the three approaches classified children as follows: 19 children balanced, 5 Farsi-dominant, and 7 German-dominant for the 1 SD approach; 15 children balanced, 9 Farsi-dominant, and 7 German-dominant with the 0.5 SD approach; and 17 children balanced, 9 Farsi-dominant, and 5 German-dominant, when applying the HAC. The discrepancy between the 0.5 SD and the HAC was primarily due to two children (Participant_IDs 9 and 16), who were classified as German-dominant by the 0.5 SD but as balanced by the HAC. The divergence was more substantial between the 1 SD and the HAC, with four children classified as balanced under the 1 SD approach but Farsi-dominant by the HAC (8, 12, 24, and 26), in addition to the two children noted in the comparison between the 0.5 SD and the HAC. Therefore, the higher agreement levels and the closer classification patterns between the 0.5 SD and the HAC reflected that the 0.5 SD was a more precise cut-off point in classifying children on the CLT and the SRT.

Due to a high comparability between the 0.5 SD and the HAC and more importantly, to the practical feasibility of the 0.5 SD-based classification—being easier to implement for both researchers and SLPs—this approach was opted for in subsequent analyses. The Bayesian multinomial logistic regression analyses with Farsi-dominant as the reference group for the CLT revealed that relative language exposure in Farsi significantly reduced the odds of being classified as balanced (β = 0.12, 95% CI [−0.25, −0.02]) or German-dominant (β = −0.17, 95% CI [−0.30, −0.06]) compared to Farsi-dominant. That is, children with higher relative language exposure in Farsi were significantly more likely to be classified as Farsi-dominant, and less likely to be balanced or German-dominant. In order to explore other comparisons, we ran a post-hoc analysis to subtract the posterior difference in the effect of relative language exposure in Farsi on the odds of being German-dominant vs. balanced. The posterior comparisons indicated no credible difference in the effect of relative language exposure in Farsi between German-dominant and balanced groups (Δβ = −0.047, 95% CI [−0.123, 0.017]), suggesting that relative language exposure in Farsi does not clearly distinguish between these two groups. Similar results were found when relative language use in Farsi was the predictor of the model. Children who used Farsi more frequently were significantly more likely to be classified as Farsi-dominant, and less likely to be classified as balanced or German-dominant on the CLT, with reduced odds of being classified as balanced (β = −0.12, 95% CI [−0.24, −0.03]) or German-dominant (β = −0.17, 95% CI [−0.30, −0.06]) compared to Farsi-dominant. As with relative language exposure in Farsi, relative language use in Farsi failed to differentiate between German-dominant and balanced groups in the posterior comparisons (Δβ = −0.046, 95% CI [−0.119, 0.016]).

For the SRT, greater relative language exposure in Farsi was associated with significantly reduced odds of being classified as German-dominant (β = −0.26, 95% CI [−0.48, −0.10]) but had no credible effect on the odds of being classified as balanced (β = −0.04, 95% CI [−0.14, 0.06]) compared to Farsi-dominant. This can be taken to mean that children with higher relative language exposure in Farsi were much less likely to be German-dominant than Farsi-dominant but equally likely to be balanced or Farsi-dominant on the SRT. Like relative language exposure in Farsi, higher relative language use in Farsi significantly reduced the odds of being German-dominant vs. Farsi-dominant (β = −0.25, 95% CI [−0.45, −0.10]), but not being balanced vs. Farsi-dominant (β = −0.04, 95% CI [−0.13, 0.05]). Unlike on the CLT, the posterior revealed that relative language exposure in Farsi and use on the SRT distinguished German-dominant from balanced children in a statistically credible way (respectively; Δβ = −0.22, 95% CI [−0.43, −0.08]; Δβ = −0.21, 95% CI [−0.39, −0.07]).

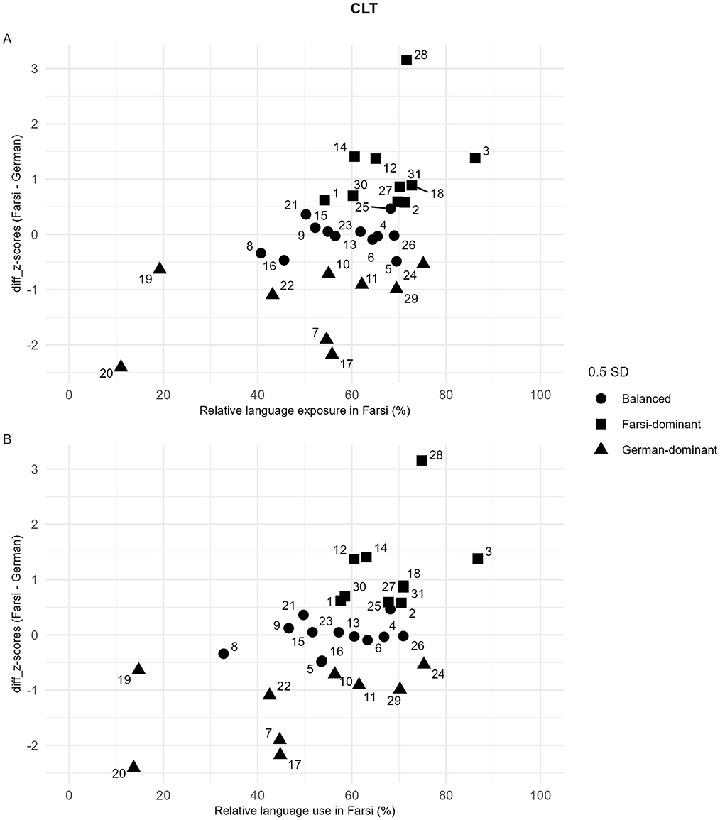
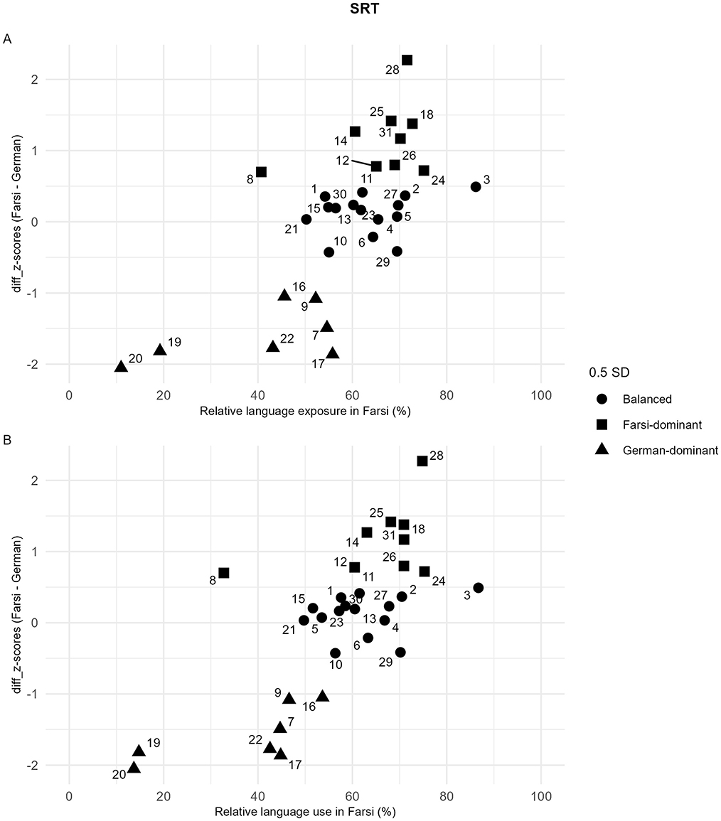
Figures 2 and 3 illustrate the 0.5 SD-based classifications as a function of relative language experience (current exposure and use) in Farsi (%) on the CLT and the SRT, respectively. Figure 2 shows that the German-dominant children were dispersed from 10 % to 80 % relative language exposure and use in Farsi. The other two groups, spanned from 40% to 80 % relative language exposure and use in Farsi. Figure 3 illustrates that the German-dominant children showed relative language exposure and use in Farsi lower than 60%. However, the balanced and Farsi-dominant children still appeared within the same range as the CLT.

Figure 2
Scatterplots titled “CLT” display data on language exposure and use in Farsi. Graph A shows “Relative language exposure in Farsi (%)” on the x-axis against “diff_z-scores (Farsi - German)” on the y-axis. Graph B shows “Relative language use in Farsi (%)” on the x-axis. Data points represent three groups: balanced (circles), Farsi-dominant (squares), and German-dominant (triangles). Each graph includes clustered data points mainly between 40% and 80% Farsi, with varied z-scores. A reference for 0.5 standard deviation is provided.

Figure 2. 0.5 SD-based classifications as a function of (A) relative language exposure and (B) relative language use in Farsi (%) on the CLT. SD-based classifications were applied to relative language proficiency, calculated as diff_z-scores (Farsi z-scores—German z-scores).

Figure 3
Scatter plots labeled A and B depict the relationship between relative language exposure or use in Farsi and diff z-scores (Farsi minus German) for SRT. Points represent individuals, categorized as balanced (circles), Farsi-dominant (squares), and German-dominant (triangles). The x-axis measures Farsi percentage, and the y-axis represents z-scores. A legend indicates a 0.5 SD.

Figure 3. 0.5 SD-based classifications as a function of (A) language exposure and (B) relative language use in Farsi (%) on the SRT. SD-based classifications were applied to relative language proficiency, calculated as diff_z-scores (Farsi z-scores—German z-scores).

When the 0.5 SD-based classifications on the CLT and the SRT were not similar to one another, we defined children as mixed dominant and were assigned the value 1; otherwise, they were assigned 0. For example, a child was recognized as mixed dominant when the child was dominant in two different languages across the tasks or even balanced on one task but Farsi- or German-dominant on the other. The comparison of language dominance classifications across vocabulary and morphosyntax showed that 45 % of the children had a mixed dominance profile.

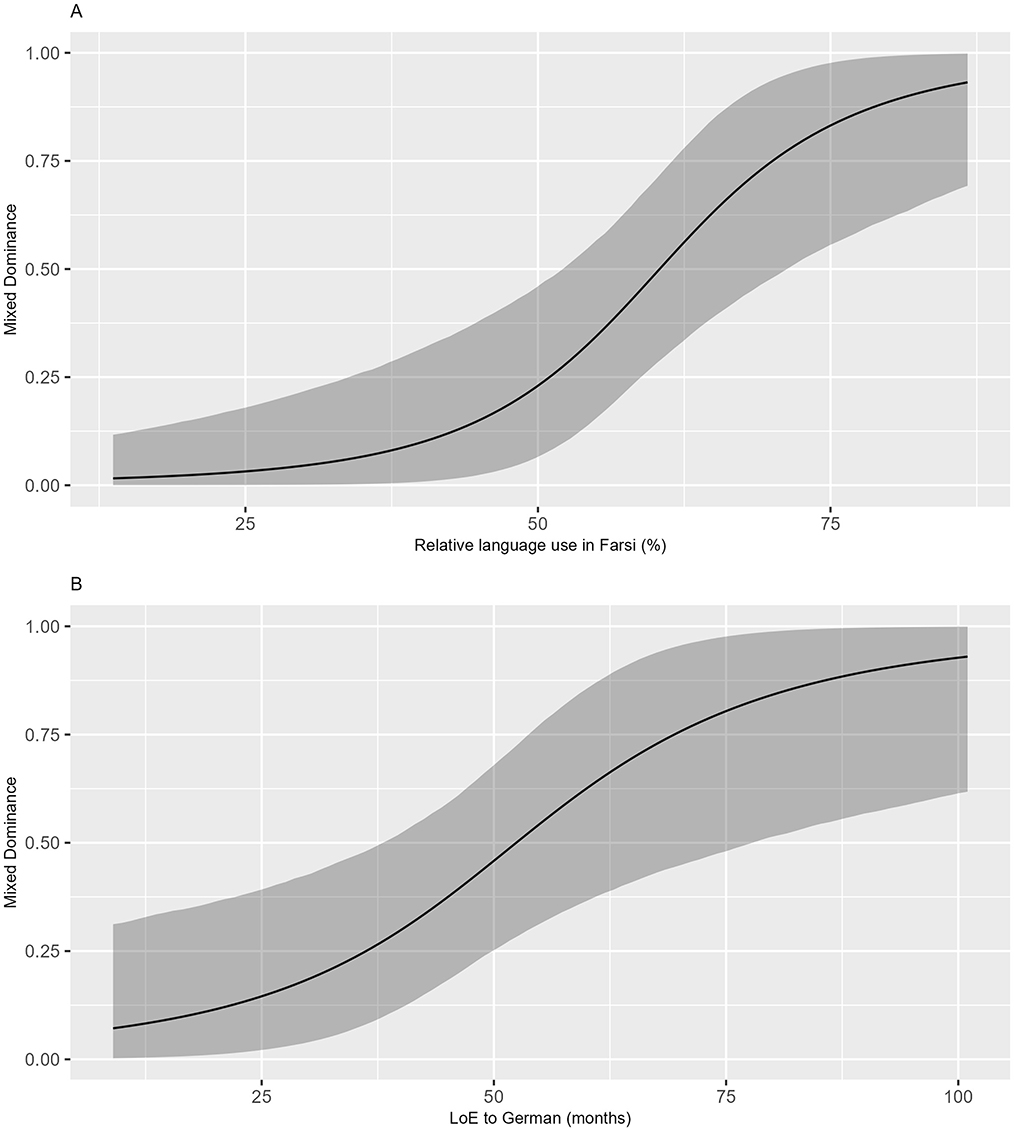
The Bayesian logistic regression model was used to reveal the effects of the child-internal and -external factors on the probability of mixed dominance. The results showed that unlike age, relative language use in Farsi and LoE to German were significant and credible predictors of mixed dominance. Children with greater relative language use in Farsi were more likely to exhibit mixed dominance (β = 2.04, 95% CI [0.68, 3.75]). Additionally, longer exposure to German (LoE) was significantly associated with an increased probability of mixed dominance (β = 1.60, 95% CI [0.37, 3.09]).

Figure 4 illustrates the probability of mixed dominance across relative language use in Farsi and LoE to German. For relative language use in Farsi, the relationship with the probability of mixed dominance is positive and non-linear. This means that small increases in relative language use in Farsi do not have a strong effect at first—but once relative language use in Farsi exceeds around 50%, the probability of a child showing mixed dominance rises sharply.

Figure 4
Line graphs labeled A and B depict mixed dominance as a function of language use and LoE to German. Graph A shows mixed dominance increasing with higher relative language use in Farsi. Graph B shows mixed dominance increasing with longer length of exposure to German. Shaded areas indicate confidence intervals.

Figure 4. Effects of (A) relative language use in Farsi (%) and (B) LoE to German (months) on the probability of mixed dominance.

Similarly, the effect of LoE to German follows a positive, non-linear pattern. This trend is relatively gradual up to about 40 months of exposure and then becomes steeper, continuing until approximately 75 months. As children's LoE to German increases, the probability of mixed dominance gradually increases as well, without the sharp acceleration seen with relative language use in Farsi. This suggests that while both factors are important, relative language use in Farsi shows a threshold effect, whereas LoE has a more continuous influence.

4 Discussion

This study examined language dominance determined by relative language proficiency and relative language experience in the HL among Farsi-German children. We, specifically, aimed to (1) compare the language dominance classifications across vocabulary and morphosyntax based on the SD-based and clustering analysis (HAC) methods; (2) examine whether relative language experience in the HL can be used as a proxy for language dominance; and (3) explore the contribution of child-internal and -external factors to the mixed dominance profile.

4.1 Language dominance determined by the SD-based and clustering analysis methods

Our first question examined language dominance classifications using the SDs and clustering analysis. The findings showed higher classification alignment between the 0.5 SD and the HAC than between the 1 SD and the HAC for the CLT and the SRT. Notably, the increase in alignment with the 0.5 SD was more striking for the SRT than for the CLT. Overall, the 1 SD tended to classify more children as balanced than either the 0.5 SD or the HAC on both the CLT and the SRT. Although the alignment percentages for the 0.5 and 1 SD on the CLT were relatively comparable, the classification pattern spoke in the favor of the 0.5 SD. For the SRT, the alignment percentage and pattern similarity showed a closer match to the HAC when using the 0.5 SD compared to the 1 SD.

These findings are partially in line with Unsworth et al. (2018). Recall that Unsworth et al. (2018) examined expressive vocabulary and MLU based on children's spontaneous speech, while receptive vocabulary was assessed by standardized vocabulary tests. In contrast, our study employed CLTs to assess both receptive and expressive vocabulary, as well as, SRTs tapping into morphosyntactic phenomena. Regarding receptive and expressive vocabulary, Unsworth et al. (2018) found the overlaps between the 1 SD-based and k-means cluster analysis methods ranging from 50% to 82%, which is comparable to the 71% we found for vocabulary in our study. By contrast, although MLU in their study yielded an overlap of 94%, the overlap for SRT was relatively lower, at about 81%. The discrepancy between Unsworth et al. (2018) and our study, therefore, might be attributed to the way morphosyntax was elicited: SRT is a structured task that targets morphosyntactic phenomena under controlled conditions whereas MLU is highly dependent on the context of the language sample and may miss certain morphosyntactic structures that do not occur spontaneously.

The child-by-child analysis in Unsworth et al. (2018) showed that, with the exception of two children who were classified as balanced by the 1 SD but as Dutch-dominant by the HAC, all remaining children received identical classifications on MLU. In our study, however, six children showed discrepancies between these two methods on the SRT: two were classified as German-dominant by the 1 SD but as balanced by the HAC, and four were classified as balanced by the 1 SD but as Farsi-dominant by the HAC. Applying a 0.5 SD threshold to the SRT resolved the classification differences for the latter four children, increasing overall agreement to nearly 94%. This observation suggests that a finer cut-off point (0.5 SD) is better suited for SRT, as it accounts for the task's focus on morphosyntactic structures and enables the detection of more subtle differences in morphosyntactic performance.

The findings from this study differ from those of Komeili et al. (2023), primarily because we conducted a child-by-child analysis, whereas Komeili et al. focused on group averages. They found that Farsi-English bilingual children were more likely to be English-dominant on the CLT and the MAIN but balanced on the SRT. In our study, using the 0.5 SD classification, 39% of the children were balanced, 32% were Farsi-dominant, and 29% were German-dominant on the CLT. For the SRT, these percentages were 48%, 29%, and 23%, respectively. Thus, although a larger proportion of children were balanced—particularly on the SRT—the other dominance groups still represented considerable proportions of the sample. Another possible explanation for the difference between the two studies is that the Farsi-English bilingual children were older (aged 6–11) than the Farsi-German bilingual children in our study (aged 3–8), making them more likely to have experienced dominance shift from Farsi-HL to English-ML, as indicated at least on the CLT and the MAIN (Paradis et al., 2025). The findings suggest vocabulary and morphosyntactic tests tap into different aspects of language knowledge, and combining them provides a more comprehensive picture of dominance. Additionally, we suggest including other domains, such as narratives (e.g., MAIN), as they capture how children use language in everyday communication and can reveal patterns that isolated tasks might fail.

4.2 The association between relative language proficiency and relative language experience

The second question asked whether relative language experience served as a proxy for language dominance. The findings revealed that children with higher relative language exposure and use in Farsi were more likely to be Farsi-dominant than German-dominant on both CLT and SRT. However, distinguishing a Farsi-dominant child from a balanced child was not consistent across the tasks. While children with higher relative language exposure and use in the HL were more likely to be Farsi-dominant than balanced on the CLT, they were equally likely to be Farsi-dominant and balanced on the SRT. These findings indicate that relative language experience in the HL plays a role in shaping language dominance, its influence appears to be primarily restricted to distinguishing Farsi-dominant children from German-dominant children across tasks. In other words, relative language experience in the HL was only partially able to predict the language dominance classifications, which, in turn, should be considered as a proxy for it with caution. This is unlike Unsworth et al.'s suggestion concerning relative language experience as a proxy for language dominance. However, it is important to mention that the children who participated in their study were younger (mean age = 3.9) than those in the current study (mean age = 6.9). This age difference might modulate the influence of relative language experience and other possible factors on developing two languages and hence language dominance. In fact, the language dominance classification of older children may be associated with additional factors such as input richness, that are just as crucial as the amount of language exposure and use (Paradis et al., 2025). Therefore, relative language experience is only one of the factors influencing language dominance and should not serve as the proxy for language dominance, at least among older children.

The observation of the association between relative language proficiency and relative language experience in the plots did not yield the same cut-off points as those reported by Unsworth et al. (2018). What was of particular interest, was the difference between the German-dominant children across the tasks: while the German-dominant children on the CLT had relative language experience in the HL ranging from 10% to 80%, those on the SRT had less than 60% relative language experience in the HL. This suggests that, in order for children to become German-dominant in morphosyntax, they need at least 40% exposure to and use of German, whereas they can become German-dominant in vocabulary with even less than 40% exposure to and use of German. These findings highlight the need for considering vocabulary and morphosyntax separately and in addition to one another when trying to determine a child's language dominance.

An implication of these findings is that HL children may achieve ML dominance in vocabulary with less than 40% exposure and use in the ML, while a minimum of approximately 40% appears necessary to attain ML dominance in morphosyntax. This underscores the differential sensitivity of linguistic domains to relative language experience and suggests that morphosyntactic development may depend more strongly on relative language experience than vocabulary growth does.

Furthermore, relative language exposure and use capture only two dimensions of child-external factors. Other vital dimensions including input richness in HL and ML, as well as distal factors such as LoE, family socio-economic status (SES), and family attitudes also play a significant role in shaping the dual language development of heritage bilinguals and, consequently, their language dominance (Paradis, 2023). Therefore, if the aim is to measure language dominance indirectly, we suggest considering relative language experience alongside these additional child-external factors to provide a more comprehensive assessment.

4.3 The influence of child-internal and -external factors on mixed dominance

The third question concerned child-internal and -external factors that might predict the probability of mixed dominance. In this study, mixed dominance was operationalized categorically, with children whose CLT and SRT classifications differed assigned to the mixed dominance group. The findings revealed that almost half of the children showed mixed dominance. Moreover, the findings regarding age as a child-internal factor showed no significant effect on mixed dominance. In contrast, both child-external factors had significant effect on mixed dominance; that is, the probability of mixed dominance increased when children's amount of relative language use in Farsi and LoE to German increased. Specifically, the sharp increase in the probability of mixed dominance once relative language use in the HL exceeds approximately 75% suggests that very high levels of relative language use in the HL in children aged 4 to 8 may not simply strengthen HL dominance but rather lead to mixed language profiles. For LoE to German, the effect was positive, suggesting that LoE to German also increases the probability of mixed dominance but more steadily. These findings suggest that relative language use in Farsi may act as a more immediate indicator of mixed dominance, whereas LoE to German influences the outcome more consistently over time.

Together, the findings suggest that mixed dominance is a common phenomenon occurring in different language combinations and SLPs need to take this into consideration while assessing bilingual children's abilities (Peña et al., 2023). This also highlights the importance of multiple domain assessment model for bilingual children as they might have different levels of strength per domain and hence making a decision based on only one domain might be misleading (e.g., Peña et al., 2023; Gagarina et al., 2025). Mixed dominance might also offer a more promising way to conceptualize language dominance than the traditional three-group classification. First, mixed dominance takes into account a child's abilities across multiple domains, rather than relying on a single measure, allowing for a more comprehensive assessment of bilingual competence. Second, it better highlights the malleability of language dominance, acknowledging that a child may show HL dominance in one domain (e.g., vocabulary) but ML dominance or balance in another (e.g., morphosyntax), reflecting domain-specific shifts over time.

5 Limitations and future research

A first limitation concerns the sample size, which was relatively small, and the age range of the children, which was relatively wide. Smaller and more heterogeneous samples can reduce statistical power, potentially compromising the validity and generalizability of the findings. Future studies should aim to recruit larger and more age-homogeneous samples to strengthen the robustness and generalizability of results. Second, although all children were HL speakers of Farsi, they varied considerably in their length of exposure (LoE) to German. This variability could have influenced language dominance patterns and contributed to individual differences in performance. Future research could control for LoE to achieve more homogeneous samples and include speakers of other heritage languages.

Third, the study focused on only two linguistic domains—vocabulary and morphosyntax. This limitation may overlook other domain-specific differences. Therefore, future studies may extend the investigation to additional domains, such as narrative skills, to provide a more comprehensive understanding of language dominance and mixed dominance. Fourth, the study adopted a score standardization approach due to the lack of validity studies on Farsi and German CLTs and SRTs. While this approach allowed comparability, it may mask meaningful differences between the languages. Future research should consider this trade-off and examine whether more direct validity information is available for the languages of interest.

Fifth, diff_z-score is only one of the language dominance indices, so future research would benefit from comparing different indices (e.g., ratio- or subtraction-driven ones). Sixth, this study aggregated relative language exposure and use in HL across all the settings (e.g., home, school, community, and holiday). This aggregation may override setting-specific effects, which are important because HL use in the home setting has been consistently linked to HL development, whereas use in other settings (e.g., school) may have variable associations (Rodina et al., 2020; Vorobyeva and Bel, 2021; Daskalaki et al., 2024; Paradis et al., 2025). Future studies should examine relative language exposure and use separately by setting to clarify how context-specific experiences relate to language proficiency. Finally, mixed dominance is an understudied phenomenon that may contribute to a better understanding of dual language development. This study operationalized mixed dominance using a categorical approach, classifying children based on differing language dominance across vocabulary and morphosyntax. It may also be useful for future studies to explore mixed dominance continuously, capturing varying degrees of mismatch between Farsi and German in vocabulary and morphosyntax. To fully assess the utility of mixed dominance, we suggest that future studies examine how heritage language children with mixed dominance profiles differ from those without such profiles in dual-language development using longitudinal designs.

6 Conclusion

The current study provided an insight into language dominance and its potential measurements. The findings showed that if researchers attempt to classify children based on language dominance, the 0.5 SD might result in more precise classifications than the 1 SD at least when it is measured by LITMUS-CLTs and -SRTs. Therefore, this study suggests a way of determining language dominance that is both practical and feasible in terms of the cut-off point and measures used across languages for researchers and SLPs. Relative language proficiency remains a more reliable indicator of language dominance as relative language experience represents only one child-external factor among several that might also influence language dominance at the same time. Moreover, it is crucial to recognize mixed dominance as a characteristic of dual language development; accounting for it when assessing children's abilities may help reduce the risk of misdiagnosing DLD.

Data availability statement

The raw data supporting the analyses and conclusions of this article will be made available by the authors upon request.

Ethics statement

The studies involving humans were approved by the Ethics Committee of the DGfS (German Linguistics Society). The studies were conducted in accordance with the local legislation and institutional requirements. Written informed consent for participation in this study was provided by the participants' legal guardians/next of kin.

Author contributions

TG: Conceptualization, Methodology, Investigation, Formal analysis, Visualization, Writing – original draft, Writing – review & editing. JT: Conceptualization, Investigation, Writing – review & editing. A-LS: Conceptualization, Funding acquisition, Supervision, Writing – review & editing, Resources, Project administration.

Funding

The author(s) declare that financial support was received for the research and/or publication of this article. This study was conducted as part of the PhD dissertation of the first author within the project SPEAK (03VP11464; PI: Anna-Lena Scherger) and was funded by the Federal Ministry of Research, Technology and Space (BMFTR). We gratefully acknowledge financial support from the Deutsche Forschungsgemeinschaft (DFG) and TU Dortmund University through the funding program Open Access Costs.

Acknowledgments

We thank all the children and parents for their enthusiasm and participation. We are grateful to people who helped us recruit children and our research assistants (Paul Bauten, Lilli Brokinkel, Jonna Johanning, Anna Koban, Kristina Nagel, and Marie Willenbrink) who were fully committed to data collection. We would also like to thank our colleagues and the division of Statistical Consulting and Analysis Center for Higher Education, TU Dortmund University for their outstanding support. Finally, we would also like to thank the four anonymous reviewers for their invaluable comments on the initial manuscript of this study.

Conflict of interest

The authors declare that the research was conducted in the absence of any commercial or financial relationships that could be construed as a potential conflict of interest.

Generative AI statement

The author(s) declare that Gen AI was used in the creation of this manuscript. ChatGPT & Scribbr was used in the creation of this manuscript.

Any alternative text (alt text) provided alongside figures in this article has been generated by Frontiers with the support of artificial intelligence and reasonable efforts have been made to ensure accuracy, including review by the authors wherever possible. If you identify any issues, please contact us.

Publisher's note

All claims expressed in this article are solely those of the authors and do not necessarily represent those of their affiliated organizations, or those of the publisher, the editors and the reviewers. Any product that may be evaluated in this article, or claim that may be made by its manufacturer, is not guaranteed or endorsed by the publisher.

References

Allen, S. E. M., and Dench, C. (2015). Calculating mean length of utterance for eastern Canadian Inuktitut. First Language. 35, 377–406. doi: 10.1177/0142723715596648

Crossref Full Text | Google Scholar

Altman, C., Harel, E., Meir, N., Iluz-Cohen, P., Walters, J., and Armon-Lotem, S. (2016). “The Goralnik Screening Test for Hebrew: bilinguals norms,” in Paper Presented at the 52nd Annual Conference of the Israeli Speech Hearing and Language Association, Jerusalem.

Google Scholar

American Speech-Language-Hearing Association (1985). Clinical Management of Communicatively Handicapped Minority Language Populations.

Google Scholar

Armon-Lotem, S., and de Jong, J. (2015). “Introduction,” in Assessing Multilingual Children: Disentangling Bilingualism from Language Impairment, eds. S. Armon-Lotem, J. de Jong, and N. Meir (Bristol: Multilingual Matters), 1–24.

Google Scholar

Bedore, L. M., Peña, E. D., Gillam, R. B., and Ho, T. (2010). Language sample measures and language ability in Spanish-English bilingual kindergarteners. J. Commun. Disord. 43, 498–510. doi: 10.1016/j.jcomdis.2010.05.002

PubMed Abstract | Crossref Full Text | Google Scholar

Bedore, L. M., Peña, E. D., Griffin, Z. M., and Hixon, J. G. (2016). Effects of age of English exposure, current input/output, and grade on bilingual language performance. J. Child Lang. 43, 687–706. doi: 10.1017/S0305000915000811

PubMed Abstract | Crossref Full Text | Google Scholar

Bedore, L. M., Peña, E. D., Summers, C. L., Boerger, K. M., Resendiz, M. D., Greene, K., et al. (2012). The measure matters: Language dominance profiles across measures in Spanish–English bilingual children. Bilingual. Lang. Cognit. 15, 616–629. doi: 10.1017/S1366728912000090

PubMed Abstract | Crossref Full Text | Google Scholar

Bernardini, P., and Schlyter, S. (2004). Growing syntactic structure and code-mixing in the weaker language: the Ivy Hypothesis. Bilingual. Lang. Cognit. 7, 49–69. doi: 10.1017/S1366728904001270

Crossref Full Text | Google Scholar

Birdsong, D. (2016). Dominance in Bilingualism: Foundations of Measurement, with Insights from the Study of Handedness, eds. C. Silva-Corvalán and J. Treffers-Daller (Cambridge: Cambridge University Press), 85–105 doi: 10.1017/CBO9781107375345.005

Crossref Full Text | Google Scholar

Bürkner, P. (2017). brms: an R package for bayesian multilevel models using stan. J. Statist. Softw. 80:1. doi: 10.18637/jss.v080.i01

Crossref Full Text | Google Scholar

Cantone, K., Kupisch, T., Müller, N., and Schmitz, K. (2008). Rethinking language dominance in bilingual children. Linguistische Berichte (LB) 2008, 51–87. doi: 10.46771/2366077500215_2

Crossref Full Text | Google Scholar

Daskalaki, E., Soto-Corominas, A., Xia, V. Y., and Paradis, J. (2024). The role of parental characteristics, home language use, and schooling in children's Mandarin heritage language development in Canada. Front. Lang. Sci. 3:1435200. doi: 10.3389/flang.2024.1435200

Crossref Full Text | Google Scholar

De Cat, C., Gusnanto, A., Kašćelan, D., Prévost, P., Serratrice, L., Tuller, L., et al. (2025). How detailed do measures of bilingual language experience need to be? A cost-benefit analysis using the Q-BEx questionnaire. Bilingual. Lang. Cogn. 1–12. doi: 10.1017/S1366728925100497

Crossref Full Text | Google Scholar

De Cat, C., Kašćelan, D., Prévost, P., Serratrice, L., Tuller, L., and Unsworth, S. (2022). How to quantify bilingual experience? Findings from a Delphi consensus survey. Bilingual. Lang. Cognit. 26, 112–124. doi: 10.1017/S1366728922000359

Crossref Full Text | Google Scholar

Dunn, L. M., and Dunn, D. M. (2007). Peabody Picture Vocabulary Test (PPVT-4). Minneapolis, MN: Pearson.

Google Scholar

Dunn, L. M., Dunn, L. M., and Schlichting, L. (2005). Peabody Picture Vocabulary Test-III-NL. Amsterdam: Pearson.

Google Scholar

Dunn, L. M., Dunn, L. M., Whetton, C., and Burley, J. (1997). The British Picture Vocabulary Scale. London: GL Assessment.

Google Scholar

Fox, J., and Weisberg, S. (2019). An R Companion to Applied Regression (3rd ed.). London: Sage. Available online at: https://CRAN.R-project.org/package=car (Accessed October 29, 2025).

Google Scholar

Gagarina, N., Grimm, A., Rinker, T., and Scherger, A.-L. (2025). TEBIK4-8: Ein Sprachtest zur Diagnose von SES bei mehrsprachigen Kindern [TEBIK 4-8: a diagnostic tool for DLD in bilingual children]. LOGOS 33, 186–192.

Google Scholar

Gagarina, N., and Lindgren, J. (2020). New language versions of MAIN: multilingual assessment instrument for narratives – revised. ZAS Papers in Linguist. 64:274. doi: 10.21248/zaspil.64.2020.543

Crossref Full Text | Google Scholar

Gagarina, N. V., Klassert, A., and Topaj, N. (2010). Sprachstandstest Russisch für mehrsprachige Kinder [Russian language proficiency test for multilingual children]. ZAS Papers Linguist. 54:54. German. doi: 10.21248/zaspil.54.2010.403

Crossref Full Text | Google Scholar

Giguere, D., and Hoff, E. (2022). Bilingual development in the receptive and expressive domains: they differ. Int. J. Biling. Educ. Bilingual. 25, 3849–3858. doi: 10.1080/13670050.2022.2087039

PubMed Abstract | Crossref Full Text | Google Scholar

Goralnik, E. (1995). Goralnik Screening Test for Hebrew. Even Yehuda: Matan.

Google Scholar

Goriot, C., Broersma, M., McQueen, J. M., Unsworth, S., and Van Hout, R. (2018). Language balance and switching ability in children acquiring English as a second language. J. Exp. Child Psychol. 173, 168–186. doi: 10.1016/j.jecp.2018.03.019

PubMed Abstract | Crossref Full Text | Google Scholar

Haman, E., Łuniewska, M., Hansen, P., Simonsen, H. G., Chiat, S., Bjekić, J., et al. (2017). Noun and verb knowledge in monolingual preschool children across 17 languages: data from Cross-linguistic Lexical Tasks (LITMUS-CLT). Clini. Linguist. Phonet. 31, 818–843. doi: 10.1080/02699206.2017.1308553

PubMed Abstract | Crossref Full Text | Google Scholar

Hamann, C., Chilla, S., Gagarina, N., and Abed Ibrahim, L. (2017). “Syntactic complexity and bilingualism: how (a)typical bilinguals deal with complex structures,” in Complexity in Acquisition, ed. E. Di Domenico (New Castle: Cambridge Scholars Publishing), 142–178.

Google Scholar

Hamann, C., Chilla, S., Ruigendijk, E., and Abed Ibrahim, L. (2013). “A German sentence repetition task: testing bilingual Russian/German children [Poster presentation],” in COST Meeting, Krakow, Poland.

Google Scholar

Hoff, E. (2018). Bilingual development in children of immigrant families. Child Dev. Perspect. 12, 80–86. doi: 10.1111/cdep.12262

PubMed Abstract | Crossref Full Text | Google Scholar

Hothorn, T., Bretz, F., and Westfall, P. (2008). Simultaneous inference in general parametric models. Biometrical J. 50, 346–363. doi: 10.1002/bimj.200810425

PubMed Abstract | Crossref Full Text | Google Scholar

Housen, A., and Kuiken, F. (2009). Complexity, accuracy, and fluency in second language acquisition. Appl. Linguist. 30, 461–473. doi: 10.1093/applin/amp048

Crossref Full Text | Google Scholar

Komeili, M., Marinis, T., Tavakoli, P., and Kazemi, Y. (2020). Sentence repetition in Farsi-English bilingual children. J. Eur. Second Lang. Assoc. 4, 1–12. doi: 10.22599/jesla.55

Crossref Full Text | Google Scholar

Komeili, M., Tavakoli, P., and Marinis, T. (2023). Using multiple measures of language dominance and proficiency in Farsi-English bilingual children. Front. Commun. 8:1153665. doi: 10.3389/fcomm.2023.1153665

Crossref Full Text | Google Scholar

Kootstra, G. J., and Doedens, W. J. (2016). How multiple sources of experience influence bilingual syntactic choice: Immediate and cumulative cross-language effects of structural priming, verb bias, and language dominance. Bilingual. Lang. Cognit. 19, 710–732. doi: 10.1017/S1366728916000420

Crossref Full Text | Google Scholar

Lambert, W. E., Havelka, J., and Gardner, R. C. (1959). Linguistic manifestations of bilingualism. Am. J. Psychol. 72, 77–82. doi: 10.2307/1420213

Crossref Full Text | Google Scholar

Luk, G., and Bialystok, E. (2013). Bilingualism is not a categorical variable: Interaction between language proficiency and usage. J. Cognit. Psychol. 25, 605–621. doi: 10.1080/20445911.2013.795574

PubMed Abstract | Crossref Full Text | Google Scholar

Maechler, M., Rousseeuw, P., Struyf, A., Hubert, M., and Hornik, K. (2022). “Cluster: cluster analysis basics and extensions,” in R package version 2.1.4. Available online at: https://CRAN.R-project.org/package=cluster (Accessed October 29, 2025).

Google Scholar

Marinis, T., and Armon-Lotem, S. (2015). “Sentence repetition,” in Assessing Multilingual Children: Disentangling Bilingualism from Language Impairment, eds. S. Armon-Lotem, J. de Jong, and N. Meir (Bristol; Blue Ridge Summit: Multilingual Matters), 95–122. doi: 10.21832/9781783093137-007

Crossref Full Text | Google Scholar

Meir, N. (2018). Morpho-syntactic abilities of unbalanced bilingual children: a closer look at the weaker language. Front. Psychol. 9:1318. doi: 10.3389/fpsyg.2018.01318

PubMed Abstract | Crossref Full Text | Google Scholar

Montrul, S. (2015). The Acquisition of Heritage Languages. Cambridge: Cambridge University Press.

Google Scholar

Montrul, S. (2016). Dominance and Proficiency in Early and Late Bilingualism, eds. C. Silva-Corvalán and J. Treffers-Daller, 15–35

Google Scholar

Murtagh, F., and Legendre, P. (2014). Ward's hierarchical agglomerative clustering method: which algorithms implement Ward's criterion? J. Classificat. 31, 274–295. doi: 10.1007/s00357-014-9161-z

Crossref Full Text | Google Scholar

Olson, D. J. (2023). Measuring bilingual language dominance: an examination of the reliability of the Bilingual Language Profile. Lang. Test. 40, 521–547. doi: 10.1177/02655322221139162

Crossref Full Text | Google Scholar

Oppenheim, G. M., Griffin, Z., Peña, E. D., and Bedore, L. M. (2020). Longitudinal evidence for simultaneous bilingual language development with shifting language dominance, and how to explain it. Lang. Learn. 70, 20–44. doi: 10.1111/lang.12398

PubMed Abstract | Crossref Full Text | Google Scholar

Paradis, J. (2023). Sources of individual differences in the dual language development of heritage bilinguals. J. Child Lang. 50, 793–817. doi: 10.1017/S0305000922000708

PubMed Abstract | Crossref Full Text | Google Scholar

Paradis, J., Soto-Corominas, A., Chen, X., and Gottardo, A. (2020). How language environment, age, and cognitive capacity support the bilingual development of Syrian refugee children recently arrived in Canada. Appl. Psycholinguist. 41, 1255–1281. doi: 10.1017/S014271642000017X

Crossref Full Text | Google Scholar

Paradis, J., Soto-Corominas, A., Daskalaki, E., Janaideh, R. A., Chen, X., and Gottardo, A. (2025). The role of age of arrival and language environment factors in Arabic heritage language development: A longitudinal study. J. Child Lang. 1–24. doi: 10.1017/S0305000924000679

PubMed Abstract | Crossref Full Text | Google Scholar

Peña, E. D., Bedore, L. M., Gutiérrez-Clellen, V. F., Iglesias, A., and Goldstein, B. A. (2010). Bilingual English Spanish Oral Screener (BESOS). Austin, TX: University of Texas at Austin.

Google Scholar

Peña, E. D., Bedore, L. M., Lugo-Neris, M. J., and Albudoor, N. (2020). Identifying Developmental Language Disorder in School Age Bilinguals: semantics, grammar, and narratives. Lang. Assessm. Quart. 17, 541–558. doi: 10.1080/15434303.2020.1827258

PubMed Abstract | Crossref Full Text | Google Scholar

Peña, E. D., Bedore, L. M., and Vargas, A. G. (2023). Exploring assumptions of the bilingual delay in children with and without developmental language disorder. J. Speech Lang. Hear. Res. 66, 4739–4755. doi: 10.1044/2023_JSLHR-23-00117

PubMed Abstract | Crossref Full Text | Google Scholar

R Core Team (2024). R: A language and environment for statistical computing. Ames: R Foundation for Statistical Computing. Available online at: https://www.R-project.org/ (Accessed October 29, 2025).

Google Scholar

Ringblom, N., and Dobrova, G. (2019). Holistic constructions in heritage Russian and Russian as a second language: divergence or delay? Scando Slavica 65, 94–106. doi: 10.1080/00806765.2019.1586577

Crossref Full Text | Google Scholar

Rinker, T., and Gagarina, N. (2014). CLT – Crosslinguistic Lexical Task – German Version. Baden-Württemberg: Universität Konstanz & ZAS Berlin.

Google Scholar

Rodina, Y., Kupisch, T., Meir, N., Mitrofanova, N., Urek, O., and Westergaard, M. (2020). Internal and external factors in heritage language acquisition: evidence from heritage Russian in Israel, Germany, Norway, Latvia and the United Kingdom. Front. Educ. 5:20. doi: 10.3389/feduc.2020.00020

Crossref Full Text | Google Scholar

Rosselli, M., Ardila, A., Lalwani, L. N., and Vélez-Uribe, I. (2015). The effect of language proficiency on executive functions in balanced and unbalanced Spanish–English bilinguals. Bilingual. Lang. Cognit. 19, 489–503. doi: 10.1017/S1366728915000309

Crossref Full Text | Google Scholar

Scherger, A. (2018). German dative case marking in monolingual and simultaneous bilingual children with and without SLI. J. Commun. Disord. 75, 87–101. doi: 10.1016/j.jcomdis.2018.06.004

PubMed Abstract | Crossref Full Text | Google Scholar

Silva-Corvalán, C., and Treffers-Daller, J. (2016). Language Dominance in Bilinguals: Issues of Measurement and Operationalization. Cambridge, UK: Cambridge Univ. Press.

Google Scholar

Snape, N., and Kupisch, T. (2017). Second Language Acquisition: Second Language Systems. London: Palgrave Macmillan.

Google Scholar

Talabi, A. (2018). “Crosslinguistic lexical tasks: persian version (CLT-FA). A part of LITMUS COST IS804 Battery. Unpublished material. Based on: Haman, E., Łuniewska, M., and Pomiechowska, B. (2015). Designing Cross-linguistic lexical tasks (CLTs) for bilingual preschool children,” in Methods for Assessing Multilingual Children: Disentangling Bilingualism from Language Impairment, eds. S. Armon-Lotem, J. D. Jong, and N. Meir (Bristol: Multilingual Matters), 196–240.

Google Scholar

Treffers-Daller, J. (2009). Language Dominance and Lexical Diversity: How Bilinguals and L2 Learners Differ in their Knowledge and Use of French Lexical and Functional Items. London: Palgrave Macmillan UK eBooks, 74–90.

Google Scholar

Treffers-Daller, J. (2011). Operationalizing and measuring language dominance. Int. J. Bilingual. 15, 147–163. doi: 10.1177/1367006910381186

Crossref Full Text | Google Scholar

Treffers-Daller, J. (2019). What defines language dominance in bilinguals? Annu. Rev. Linguist. 5, 375–393. doi: 10.1146/annurev-linguistics-011817-045554

Crossref Full Text | Google Scholar

Treffers-Daller, J., and Korybski, T. (2016). Using lexical diversity measures to operationalise language dominance in bilinguals, eds. C. Silva-Corvalán and J. Treffers-Daller, 106–133.

Google Scholar

Tuller, L. (2015). “Clinical use of parental questionnaires in multilingual contexts,” in Assessing Multilingual Children: Disentangling Bilingualism from Language Impairment, eds. S. Armon-Lotem, J. de Jong, and N. Meir (Bristol: Multilingual Matters), 299–328.

Google Scholar

Unsworth, S. (2013). Assessing the role of current and cumulative exposure in simultaneous bilingual acquisition: the case of Dutch gender. Bilingual. Lang. Cognit. 16, 86–110. doi: 10.1017/S1366728912000284

Crossref Full Text | Google Scholar

Unsworth, S. (2016). “Amount of exposure as a proxy for dominance in bilingual language acquisition,” in Language Dominance in Bilinguals: Issues of Measurement and Operationalization, eds. C. Silva-Corvalán and J. Treffers-Daller (Cambridge: Cambridge University Press), 156–173.

Google Scholar

Unsworth, S., Chondrogianni, V., and Skarabela, B. (2018). Experiential measures can be used as a proxy for language dominance in bilingual language acquisition research. Front. Psychol. 9:1809. doi: 10.3389/fpsyg.2018.01809

PubMed Abstract | Crossref Full Text | Google Scholar

Van Dijk, C., Van Wonderen, E., Koutamanis, E., Kootstra, G. J., Dijkstra, T., and Unsworth, S. (2021). Cross-linguistic influence in simultaneous and early sequential bilingual children: a meta-analysis. J. Child Lang. 49, 897–929. doi: 10.1017/S0305000921000337

PubMed Abstract | Crossref Full Text | Google Scholar

Van Wonderen, E., and Unsworth, S. (2020). Testing the validity of the Cross-Linguistic Lexical Task as a measure of language proficiency in bilingual children. J. Child Lang. 48, 1101–1125. doi: 10.1017/S030500092000063X

PubMed Abstract | Crossref Full Text | Google Scholar

Vehtari, A., Gelman, A., and Gabry, J. (2023). “loo: efficient leave-one-out cross-validation and WAIC for Bayesian models,” in R Package Version 2.5.1. Available online at: https://CRAN.R-project.org/package=loo (Accessed October 29, 2025).

Google Scholar

Vorobyeva, T., and Bel, A. (2021). Factors affecting language proficiency in heritage language: the case of young Russian heritage speakers in Spain. J. Lang. Contact 14, 304–330. doi: 10.1163/19552629-14020003

Crossref Full Text | Google Scholar

Wang, X. (2012). Language dominance in translation priming: evidence from balanced and unbalanced Chinese–English bilinguals. Quart. J. Exp. Psychol. 66, 727–743. doi: 10.1080/17470218.2012.716072

PubMed Abstract | Crossref Full Text | Google Scholar

Ward, J. H. (1963). Hierarchical grouping to optimize an objective function. J. Am. Statist. Assoc. 58, 236–244. doi: 10.1080/01621459.1963.10500845

Crossref Full Text | Google Scholar

Wickham, H. (2016). “ggplot2,” in Use R!.

Google Scholar

Wu, R., and Struys, E. (2021). Language dominance and sociolinguistic experience are related to language Control and Domain-General Monitoring Control: an investigation in bilinguals who live in a Minority/Majority sociolinguistic setting. Front. Psychol. 12:594648. doi: 10.3389/fpsyg.2021.594648

PubMed Abstract | Crossref Full Text | Google Scholar

Yip, V., and Matthews, S. (2006). Assessing language dominance in bilingual acquisition: a case for mean length utterance differentials. Lang. Assessm. Quart. 3, 97–116. doi: 10.1207/s15434311laq0302_2

Crossref Full Text | Google Scholar

Keywords: language dominance, mixed dominance, HL children, HL exposure, HL use, vocabulary, morphosyntax

Citation: Ghaemi T, Thillmann J and Scherger A-L (2025) Investigating patterns of language dominance and mixed dominance among Farsi-German bilingual children in Germany. Front. Lang. Sci. 4:1671807. doi: 10.3389/flang.2025.1671807

Received: 23 July 2025; Accepted: 15 October 2025;
Published: 17 November 2025.

Edited by:

Sharon Armon-Lotem, Bar-Ilan University, Israel

Reviewed by:

Saboor Hamdani, Hong Kong Polytechnic University, Hong Kong SAR, China
Mariam Komeili, University of Reading, United Kingdom
Sveta Fichman, Hadassah Academic College, Israel
Efrat Harel, Kibbutzim College, Israel

Copyright © 2025 Ghaemi, Thillmann and Scherger. This is an open-access article distributed under the terms of the Creative Commons Attribution License (CC BY). The use, distribution or reproduction in other forums is permitted, provided the original author(s) and the copyright owner(s) are credited and that the original publication in this journal is cited, in accordance with accepted academic practice. No use, distribution or reproduction is permitted which does not comply with these terms.

*Correspondence: Tina Ghaemi, dGluYS5naGFlbWlAdHUtZG9ydG11bmQuZGU=

Disclaimer: All claims expressed in this article are solely those of the authors and do not necessarily represent those of their affiliated organizations, or those of the publisher, the editors and the reviewers. Any product that may be evaluated in this article or claim that may be made by its manufacturer is not guaranteed or endorsed by the publisher.