- 1WorldFish, Aquatic Food Biosciences, Penang, Malaysia
- 2Genomics, Patriot Biotech Sdn Bhd, Selangor, Malaysia
Introduction: Tilapia (Oreochromis spp.) are among the most widely cultivated freshwater finfish species worldwide. The industry increasingly relies on tilapia strains selected for improved growth and other traits, particularly the Genetically Improved Farmed Tilapia (GIFT) strain. Despite the industry’s reliance on tilapia, knowledge of microbiome dynamics in reared tilapia remains limited. Understanding normal successional patterns in the microbiome of farmed tilapia is essential for identifying the characteristics that constitute a healthy microbial community.
Methods: In this study, we assessed the microbiomes of tank and pond-reared GIFT tilapia by analyzing 568 samples, including water, gut, skin, and gill microbiomes of tilapia, from tank systems housing the source GIFT populations in Malaysia. We compared them to those reared in earthen ponds on another farm in Malaysia.
Results: A total of 2,307 amplicon sequence variants (ASVs) were identified, encompassing a broad taxonomic diversity of 39 phyla, 86 classes, 180 orders, 299 families, 501 genera, and 399 species. Our findings elucidated distinct microbial community structures between rearing environments and across fish tissues, shedding light on intricate host-microbe interactions shaped by environmental conditions and management practices. The gut microbiome of tank-reared tilapia was dominated by Fusobacteriota (71.14%), in contrast to pond-reared fish (22%). At the same time, other taxa, such as Bacteroidota, Firmicutes_A, and Cyanobacteria, also varied markedly between environments and sampling periods. Skin and gill samples exhibited notable variability in the relative abundances of Fusobacteriota and Deinococcota between the two rearing sites. Principal Coordinates Analysis (PCoA) highlighted the distinct clustering of samples by rearing environment, particularly within gut microbiomes. Biomarkers such as Cyanobiaceae (pond water) and Sphingomonadaceae (tank water) underscored the impact of rearing conditions on microbial composition.
Discussion: These results establish valuable baseline information on the types of bacteria associated with healthy, genetically defined (GIFT) tilapia strains. This foundational information will help identify specific microbial taxa associated with beneficial or detrimental effects on tilapia health and productivity across varying rearing conditions. Such insights can guide the development of practical microbiome monitoring strategies, such as early-warning tools for farm health, and inform targeted interventions to improve aquaculture performance.
Introduction
Aquaculture is a vital solution to meet the escalating global demand for seafood commodities amidst declining wild fish stock populations and mounting food security challenges of an ever-expanding global population (FAO, 2024; Tacon and Shumway, 2024). Among the diverse array of species cultivated in aquaculture systems, tilapia (Oreochromis spp.) is the most widely farmed freshwater finfish, being produced in over 140 countries (Dong et al., 2023). Many species of tilapia are produced globally, dominated by Nile tilapia (Oreochromis niloticus L.), cultured mainly in lower-middle-income countries (LMICs) across the Southeast Asian, African, and South American continents (Debnath et al., 2023). Tilapia stands out for its adaptability to diverse farming conditions, rapid growth, resistance against disease, and widespread consumer acceptance, making it a cornerstone of worldwide aquaculture production.
The Genetically Improved Farmed Tilapia (GIFT) strain represents a significant advancement in tilapia aquaculture, characterized by its rapid growth, high productivity, and adaptability to various geographies and farming environments (Hamzah et al., 2014; Ponzoni et al., 2011). Developed through selective breeding programs, the GIFT strain is renowned for its superior performance traits, making it a preferred choice among aquaculturists worldwide. Originating from internationally collaborative efforts coordinated by the International Center for Living Aquatic Resources Management (ICLARM, now the WorldFish center) in cooperation with Norwegian and Philippine partners, the GIFT strain was first established in the 1980s through systematic selection for growth rate, survival, and other economically important traits (Ponzoni et al., 2011). Over the years, continuous breeding and selection have refined the GIFT strain, resulting in improved genetic lines capable of outperforming conventional tilapia strains in terms of growth efficiency and disease resistance (Barria et al., 2020; Hamzah et al., 2014). With the recent publication of the GIFT tilapia genome (Etherington et al., 2022), the characterization of the microbial systems (microbiomes) of both the host-farmed species and their aquatic environments becomes even more imperative. Characterizing the gills, skin outer mucosal surface, and gut microbiomes and their relationship to the host’s genetics can provide insights into the mechanisms underlying host-microbe interactions and their contributions to key performance traits such as growth rate, fish health, disease resistance, nutrient metabolism, and overall host physiology. Furthermore, targeted interventions can be developed to modulate the microbiome and enhance aquaculture performance by identifying specific microbial taxa associated with beneficial or detrimental effects on GIFT health and productivity.
Several investigations have been undertaken to elucidate the microbiome dynamics of Nile tilapia. Wu et al. (2021) conducted a study examining alterations in the gut microbiota of GIFT strains cultivated in a commercial fish farm (cement ponds) located in Hubei Province, China, following inoculation with an inactivated bivalent Aeromonas hydrophilia/Aeromonas veronii vaccine. Their findings revealed a significant reduction in the relative abundance of fish pathogens within the gut post-vaccination. Meanwhile, Zhu et al. (2022) explored disparities in the gut microbiota in tilapia reared in both pond culture and in-pond raceway systems, highlighting a progressive divergence in gut microbiota as the specimens mature. Additionally, Parata et al. (2020) investigated the influence of diet on the gut microbiome of GIFT strains reared in earthen ponds in Papua New Guinea. Their study demonstrated that dietary composition influences the proliferation of specific bacteria, particularly those associated with the breakdown and digestion of consumed carbohydrates. Moreover, fish fed a consistent diet tended to exhibit a more stable microbiome. In addition to investigations into the gut microbiome, recent studies have ventured into the skin microbiome of Nile tilapia cultivated in Malawi, aiming to establish connections between the skin microbiome and the microbiome of the rearing water (McMurtrie et al., 2022). These investigations underscored compositional distinctions between fish skin and water microbial communities yet revealed shared taxa. Notably, pond locations strongly influenced the water microbiome compared to the fish skin microbiome. Furthermore, the skin microbiome holds promise as a potential indicator for monitoring disease in fish populations. Further expanding on microbiome research, Elsheshtawy et al. (2021) investigated the microbiomes of the gills, skin, and pond water of Nile tilapia co-cultured with grey mullet (Mugil capito) in semi-intensive polyculture fish farms in Egypt. This study showed distinct gills bacterial communities from those of the skin in both species. Gill microbial communities were species-specific, while skin communities showed some overlap between both species, with the rearing water exhibiting the highest abundance and richness.
Despite the growing interest in microbiome research worldwide, studies specifically targeting the microbiome of Malaysia-derived GIFT tilapia strains distributed worldwide are lacking. This knowledge gap is particularly noteworthy considering the unique environmental conditions and microbial diversity inherent to tropical ecosystems, which can significantly impact aquaculture dynamics and fish health. Consequently, this gap poses a significant obstacle to developing tailored aquaculture management strategies adapted to the region’s distinctive environmental and microbial landscapes. The composition and dynamics of the tilapia microbiomes can vary significantly due to differences in farming and breeding practices and environmental factors such as water quality, nutrient availability, and sunlight exposure. Notably, in earthen ponds, which are expansive bodies of water, these ecosystems allow for the proliferation of microbial and algal communities with minimal water exchange. In addition, the abundance of sunlight throughout the year in tropical countries will foster the growth of algae and other phototrophic and eukaryotic organisms in these ponds, serving as an alternative nutrient source for tilapia. In contrast, tank water cultivation systems, characterized by their smaller scale and controlled environment, necessitate frequent water changes and rigorous management practices. These systems afford greater control over water quality parameters such as temperature, dissolved oxygen levels, and nutrient concentrations.
In this study, we conducted a large-scale microbiome investigation of GIFT strains cultured under Malaysian climatic conditions in two distinct rearing systems: tank systems and earthen pond water, characterizing and comparing their roles on microbial communities’ structure, diversity, and variance using different biological samples. Our sampling strategy encompassed water samples from the aquatic environment where the fish were raised and all major mucosal organs, including the gut, gills, and skin. Our results reveal significant differences in microbial community structure between tank and pond water samples, reflecting each system’s contrasting environmental conditions and management practices. Furthermore, we observed distinct microbial signatures in different organ samples, indicating the presence of specialized microbial communities associated with specific anatomical niches. These findings highlight the importance of considering both host-associated and environmental factors in shaping the microbiome of aquaculture-reared fish and provide valuable insights into potential functional roles and ecological interactions within the tilapia microbiome.
Materials and methods
Study population and sites
The Nile tilapia (Oreochromis niloticus) population used in this study was from a selective breeding program established in Malaysia and managed by WorldFish since 2000. The population originated from the GIFT strain, which was initially selected for improved growth rate. To retain pedigree information, each individual was tagged with a Passive Integrated Transponder (PIT) tag at an average weight of 5 to 7g. All fish were humanely euthanized, and their body weight, standard length, total length, depth, width, sex, and PIT tag were recorded (Figure 1A). The fish originated from earthen ponds at Jitra Aquaculture Research Center, Kedah state (Figure 1B), and in Batu Maung, Penang, WorldFish headquarters site in a non-recirculating tank-based system (Figure 1C). Fish represented different age and size classes (Table 1). All fish were assessed for the presence of ectoparasites as part of routine health assessments (Supplementary File 1). As described in the quick wet mount sampling guide for ectoparasites (https://hdl.handle.net/20.500.12348/4837), the fish were then processed for microbiome sampling (Figure 1D).

Figure 1. Experimental design used in this study. (A) All fish were euthanized by an overdose of clove oil, and their length, weight, sex, and PIT tag were measured; (B) A typical earthen pond system with hapas is located at the Jitra Aquaculture Extension Center in Kedah State (inset of a satellite picture with pond layout); (C) Typical non-recirculating tank-based system used at WorldFish headquarters site located in Batu Maung in Penang state (upper picture: tanks in hatchery covered by roof (later referred as indoor tanks); lower picture: tanks in open air located in block L (later referred as outdoor tanks); (D) Detailed microbiome sampling information (i.e., time, number of system units sampled, sample type) for tilapia skin, gills, gut and their water samples collected at both Jitra and Penang sites.
Feed inputs and environmental conditions
Fish in tank systems were fed twice daily with a commercial floating pellet (Uni-President, 30% protein, 5% lipid). Pond-reared fish were fed the same commercial feed but had access to naturally occurring algae and organic matter, likely contributing to microbiome variability.
Water quality data were not recorded daily; the pond temperature ranged from 28–30°C, and the dissolved oxygen was 5.0–7.0 mg/L, with paddle wheels. Tank systems’ temperature typically ranged from 27–32°C, with constant aeration and weekly water changes of 100% volume. Other water quality parameters (e.g., ammonia, nitrite, nitrate, pH, etc.) were not recorded and are noted as a limitation.
Microbiome sample collection
Skin mucus, gills mucus, and gut samples were collected individually from all the tilapia used in this study (Figure 1D). Animals from Jitra were collected from four ponds on two occasions—September and November 2020—to capture potential seasonal variability within the pond environment. In contrast, animals from Penang were collected from 20 tanks once, in October 2020. This was due to logistical and operational constraints, including the requirement that fish be a minimum size for sample collection (Table 1; Supplementary Data Sheet 2). Briefly, for skin samples, two sterile cotton swabs (1 swab/body side) were collected and placed in 1.5 mL screw cap tubes filled with 95% molecular grade ethanol. For the gill samples, we followed a similar procedure in a separate tube, where two sterile cotton swabs were used to collect the mucus from between the gill racks and filaments of at least 3 gill racks per swab for each fish (Figure 1D). For the gut, small pieces of fore-, mid-, and hindgut were dissected out and placed in a separate tube filled with ethanol. Water samples were collected only on two occasions, once at Jitra (September 2020) and once in Penang (October 2020) (Table 1; Supplementary Data Sheet 2). At Jitra, water samples were collected from four ponds at three different depths (surface, 50 cm, and 150 cm) at each pond’s corners. Each sample was collected in 50 mL Falcon tubes (four for each depth), kept on ice, and sent immediately to the lab for processing as described in the Quick Microbiome Sampling Guide (https://hdl.handle.net/20.500.12348/4838).
DNA extraction
Gut samples preserved in ethanol underwent centrifugation at 10,000 × g for 5 minutes, followed by removal of the ethanol supernatant. Subsequently, 0.1 mm acid-washed silica beads were introduced into the tube containing the dissected gut sample, and homogenization was performed using a Taco Prep Bead Beater (GeneReach, Taiwan). The resulting homogenate underwent a second centrifugation at 10,000 × g for 10 minutes, with the supernatant used for automated nucleic acid extraction using the Taco™ Nucleic Acid Automatic Extraction System (GeneReach, Taiwan) following the manufacturer’s instructions. For skin and gill samples collected on cotton swabs and preserved in ethanol, an initial centrifugation at 10,000 x g for 5 minutes was conducted to collect any unbound or dislodged biological matter. Following the removal of the ethanol supernatant, the tubes were heated at 50°C for 30 minutes to eliminate residual ethanol on the cotton swabs. Subsequently, 200 µL of lysis buffer (1% Triton-X 100, 50 mM Tris-HCL pH 8, 5 mM EDTA, and 150 mM NaCl) was added to each swab, and the mixture was incubated at 95°C for 10 minutes (Sung et al., 2003). Then, the lysate was combined with 600 µL of chloroform and centrifuged at 10,000 x g for 5 minutes to facilitate phase separation. The upper aqueous layer was transferred to a new tube containing 1x volume Solid-phase reversible immobilization (SPRI) beads and 0.5x volume isopropanol (Oberacker et al., 2019). After incubation at room temperature for 15 minutes, the bead-bound DNA was separated on a magnetic rack, washed once with 70% ethanol, and eluted with 50 µL TE buffer. A similar methodology was applied to water samples. Briefly, 50 mL tubes containing pond or tank water were centrifuged at 4,000 rpm for 15 minutes. After removing the supernatant, the pellet was resuspended in a lysis buffer, and the same boiling lysis-based DNA extraction protocol described above was then followed.
Metabarcoding: 16S V4 rRNA amplicon sequencing
The amplification of the 16S rRNA V4 hypervariable region was performed using a modified set of primers incorporating a partial Illumina-adapter (underlined). The forward primer used was 519F (Lanzén et al., 2016), 5’-TCGTCGGCAGCGTCAGATGTGTATAAGAGACAGCAGCMGCCGCGGTAA-3’, and the 806R reverse primer, 5’ GTCTCGTGGGCTCGGAGATGTGTATAAGAGACAGGGACTACNVGGGTWTCTAAT-3’. Initially, the standard 515F primer was used (Caporaso et al., 2012; Walters et al., 2016), but it resulted in substantial co-amplification of host mitochondrial 12S rRNA, especially in host-rich samples such as skin (data not shown). The slightly shorter 519F primer reduces mismatch tolerance with host mitochondrial sequences, minimizing non-target amplification. The PCR reaction utilized NEB OneTaq 2X Mastermix (NEB, Ipswich, MA) and followed a profile comprising an initial denaturation at 94°C for 2 minutes, followed by 30 cycles of 95°C for 15 seconds, 47°C for 30 seconds, and 68°C for 30 seconds (Walters et al., 2016). The initial PCR product underwent purification using 0.8 times the volume of SPRI beads. The cleaned PCR product was used as the template for the subsequent index PCR reaction to incorporate a dual-index Nextera barcode and the remaining Illumina adapter sequence. The resulting index PCR products were pooled and separated on a 2% agarose gel. PCR band corresponding to the microbial amplicon (~420 bp) was excised and gel-extracted using the WizBio gel purification kit (Wizbio, Korea). Negative controls (no-template PCR controls) were included to monitor potential contamination. Positive controls (mock microbial communities) were not included due to logistical constraints and costs. However, stringent aseptic procedures and sterile reagents were used throughout.
Library quantification of the pooled library was performed using the Denovix high-sensitivity fluorescence quantification kit (Denovix, Delaware, USA). Subsequently, the library was sequenced on an ISeq100 (Illumina, San Diego, CA) with a run configuration of 1 x 300 bp, following the recommended protocol for 16S V4 sequencing on this system (https://help.ezbiocloud.net/16s-mtp-protocol-for-illumina-iseq-100/).
Data analysis
Raw single-end reads were trimmed with cutadapt to remove the forward primer sequence followed by truncation of the primer-trimmed reads to a uniform length of 250 bp. Then, the reads were denoised using dada2 v1.22 (Callahan et al., 2016) as implemented within the QIIME2 pipeline (Bolyen et al., 2019). Taxonomic classification of the generated ASV used sklearn v0.22.1 (Bokulich et al., 2018) that has been trained on the recently published GreenGenes2 database (McDonald et al., 2023). The generated amplicon sequence variants (ASVs) count table and taxonomy table were subsequently exported from QIIME2 and formatted manually so that the table format is compatible with analysis using MicrobiomeAnalyst (Chong et al., 2020). During data preprocessing within MicrobiomeAnalyst, data were normalized at the ASV level with no ASVs filtered based on prevalence and variance. All ASVs were retained for analysis to improve sensitivity across diverse sample types, and a total sum scaling normalization was performed.
Subsequent calculations and visualizations of microbial relative abundance, beta diversity, alpha diversity, and LefSE analyses were performed (Segata et al., 2011) on the MicrobiomeAnalyst web server (Chong et al., 2020) using normalized data. For the assessment of both alpha and beta diversity, statistical significance between the different groups was evaluated using permutation-based ANOVA (PerMANOVA) with 999 permutations. Linear discriminant analysis Effect Size (LefSE) analysis employed a corrected p-value cutoff of 0.05 and LDA score cutoff of 5 to identify biomarkers significantly correlated with the categories of interest.
Associations between descriptive variables and microbiomes
To determine whether the samples from various origins (sex, pond, site, tissues) exhibited markedly different microbiome profiles, we used Principal Coordinates Analysis (PCoA). PCoA is a multivariate statistical technique used to visualize similarities or differences in the microbiome abundance data by projecting distance matrices into a lower-dimensional space. In our case, the Jensen Shannon Divergence distance method was used. However, PCoA does not allow the addition of illustrative quantitative variables, i.e., all quantitative variables are necessarily used to construct the analysis. Besides, PCoA, due to its construction based on a distance matrix, cannot account for potential qualitative variables. However, variables such as fish sex, body weight, or age might partly explain their microbiome and parasite profiles. Thus, before constructing the PCoA, we used a PCA (R package FactoMineR v. 2.11) to assess the influence of these variables. Similarly to the PCoA, microbiome and parasite abundance data were used to construct the dimensions of the PCA. However, fish body weight and age were still projected as illustrative quantitative variables on those dimensions. Moreover, once the individuals were projected on the dimensions, the barycenters of each combination of qualitative variables (location, sampled tissue, sampling date, sex) were projected.
Results
Tilapia microbiome is shaped by environmental origins and isolation sources
A total of 568 samples were sequenced and analyzed in this study (Table 1). Following initial data processing, these samples underwent denoising procedures, resulting in the identification of 2,307 amplicon sequence variants (ASVs). These ASVs represented a diverse taxonomic array, spanning 39 phyla, 86 classes, 180 orders, 299 families, 501 genera, and 399 species (Supplementary Data Sheet 1). A total of 4,305,794 reads were generated, with an average count per sample of 7,580, a maximum of 37,796 counts per sample, and a minimum of 25 counts per sample. A total of 11 experimental factors with replicates were included (9 categoricals: sample type, location, pond, batch, loc_organ, loc_organ_pond, loc_org_month, loc_organ_month_pond, loc_month_pond; and 2 continuous, dactylogyrus and trichodina) (Supplementary Data Sheet 2).
When examining the Earthen pond water environment, we found that the alpha diversity of the rearing water was the highest, closely followed by the fish gill samples. In contrast, the fish gut and skin samples exhibited relatively similar average alpha diversity metrics (Figure 2A). Conversely, within the context of the tank water environment, the fish gill samples displayed the highest alpha diversity, followed by the tank water itself. In contrast, the gut samples exhibited the lowest alpha diversity. When categorizing based on isolation sources, including pond water, tank water, gill, gut, and skin (Figure 2A), both the Mann-Whitney and ANOVA tests indicated significant differences in alpha-diversity values among the groups, with p-values of 2.9374e-58 and 1.2783e-94, respectively.

Figure 2. Analysis overview (A) Alpha diversity index: Shannon for each main group (sample type) at both Jitra and Penang locations and different time points. Statistical methods: [Mann-Whitney/Kruskal-Wallis]: p-value: 2.9374e-58; [Kruskal-Wallis] statistic: 298.69; [T-test/ANOVA]: p-value: 1.2783e-94; [ANOVA] F-value: 73.033; (B) PCoA plot, beta-diversity that shows every sample from Jitra and Penang combined, establishing similarity between the gills, skin and water microbiomes, with gut clustering separately on the plot [ANOSIM, R: 0.3766, p-value < 0.001].
A Principal Coordinates Analysis (PCoA) plot utilizing the Jensen Shannon Divergence distance method showed a clear separation of gut samples from the remaining samples (Figure 2B). Specifically, the fish gut samples occupied a distinct area, spanning from the lower right quadrant of the plot to the upper middle region. The separation among isolation sources was significant, as indicated by an ANOSIM value of R = 0.3766 with a p-value <0.001. In contrast, samples derived from water, skin, and gill sources coalesced into a relatively expansive cluster, horizontally spanning along Axis 1, with noticeable overlap among these categories. Further stratification of the samples based on their environmental origins, specifically distinguishing between water from earthen ponds and fish tanks, revealed additional clustering patterns (Figure 3A). Notably, a distinctive clustering pattern emerged within the gut samples, with fish gut samples from earthen pond water forming a discernible cluster separate from gut samples originating from fish reared in tank water (Figure 4C). This separation based on the rearing environment also extended to gill and skin samples. In these instances, gill and skin samples from fish reared in tank water clustered predominantly along the middle-lower right horizontal axis, while earthen pond gill and skin samples from fish reared in earthen ponds exhibited a more scattered distribution, notably concentrated in the lower left quadrant of the analysis. The separation among isolation sources was deemed significant, as indicated by an ANOSIM value of R = 0.67861 with a p-value of less than 0.001.

Figure 3. Differentiation of microbial composition in tank and pond water samples. (A) Principal Coordinate Analysis (PCoA) of microbial communities in tank and pond water samples [ANOSIM]: 0.96, p-value < 0.001; (B) LEfSe analysis identified biomarkers distinguishing microbial communities between tank and pond environments; (C) PCoA of tank water samples, annotated by indoor tanks (hatchery, h) vs. outdoor tanks (block L, bl) [ANOSIM]: 0.767, p-value < 0.001; (D) LEfSe analysis identified biomarkers specific to indoor tanks (hatchery, h) and outdoor tanks (block L, bl); (E) PCoA of pond water samples annotated by pond and sampling depth [ANOSIM]: 0.65, p-value < 0.001; (F) Google Mapview of the earthen pond.

Figure 4. PcOA plots and LEfSe (Linear discriminant analysis Effect Size) for Jitra versus Penang skin (A), gill (B), gut (C), and water (D). Distance method: Jensen_Shannon_Divergence; Taxonomic Level: Feature level for PcOA and family level for LEfSe; Statistical method: [ANOSIM]; Skin ANOSIM, R: 0.60735, p-value < 0.001; Gill ANOSIM, R: 0.6524, p-value < 0.001; Gut ANOSIM, R: 0.50382, p-value < 0.001; Water ANOSIM: 0.96, p-value < 0.001. Taxa in the LEfSe graphs were colored and highlighted based on family groups to facilitate the visualization of shared and unique taxa across different sample types.
In the PCA, any given combination (location, sampled tissue, sampling date) was projected separately for males and females, but it always resulted in two closely barycentric points (Supplementary Data Sheet 3). Thus, we concluded that sex had a negligible influence on the fish microbiome and parasite profiles. Once the variables were projected on the dimensions, the cos² value of the fish age and body weight illustrative variables were extracted from the PCA. It appeared that fish age cos² ranged between 2.25*10–6 and 0.177 on the first five dimensions, while fish body weight cos² ranged between 5.92*10–8 and 0.115 on the first five dimensions. These very low (< 0.2) values of cos² indicate a poor projection of fish age and body weight variables on the first five dimensions. Thus, it was concluded that these two variables also have a negligible influence on the fish microbiome and parasite profiles.
Sample clustering at a glance: insights from phyla-level composition
The microbial composition at the phyla level revealed clear distinctions among sample groups (Figure 5). Specifically, tilapia gut samples demonstrated the highest average relative abundance of reads classified under Fusobacteria. Notably, Fusobacteriota made up a greater percentage (71.14%) of reads in gut samples from fish reared in tank water (Penang) compared to those from Earthen ponds (Jitra) (22%). Unlike Fusobacteriota, which remained relatively consistent throughout both sampling periods (September and November 2022) in Earthen pond samples, the phylum Bacteroidota experienced a substantial decrease from an average of 31.58% in September gut samples to 8.98% after two months (Figure 5). Furthermore, the gut samples of tilapia reared in tank water exhibited a notable absence of prominent relative abundance of reads assigned to Firmicutes_A and Cyanobacteria compared to the Earthen pond samples. While reads assigned to Firmicutes_A remained relatively consistent over the two months in Earthen pond gut samples, there was a substantial increase in Cyanobacteria in Jitra from September to November (3.63% to 11.49%). In contrast, it was nearly absent in Penang (0.03%).

Figure 5. Average relative abundance of microbial phyla. Sample groups are shown along the y-axis, while phylum contributions are displayed as horizontally stacked bars, with each color representing a different phylum. The width of each segment reflects the relative abundance of that phylum within the microbial community.
Both skin and gill samples exhibited relatively similar phyla composition, reflecting the overlap observed in the PCoA plot (Figure 2B). There was a striking disparity in Fusobacteriota levels between the two locations (Figure 5). In Jitra, Fusobacteriota constituted only 2.25% and 5.50% of the gill microbiome in September and November, respectively, whereas it represented the largest portion in Penang at 32.45%. This trend was mirrored in the skin microbiome, with an average of 18.60% of reads classified as Fusobacteriota in Penang skin samples, compared to only 6.01% and 4.44% in Jitra for September and November, respectively. On the contrary, there was a noticeable uptick in the percentage of reads classified under the phylum Deinococcota in Jitra from September (11.77% skin, 12.47% gill) to November (29.49% skin, 23.80% gill). In contrast, Deinococcota was significantly less represented by sequencing reads in Penang skin and gill samples, with only 0.57% and 0.23%, respectively.
Interestingly, Jitra’s Earthen Pond water samples exhibited a very diverse and evenly distributed composition of phyla, a feature distinct from other samples. Notably, there was a substantial abundance of reads classified as Cyanobacteria and Planctomycetota in the Earthen pond water samples (7.00% and 5.76%, respectively), contrasting with the Penang tank water samples (0.02% and 1.23%, respectively).
Significant variation in host microbiota between culture conditions and their key drivers
A more apparent pattern emerged after narrowing the microbiome analysis to focus on comparing samples from the same tissue source (e.g., skin, gut, gill). Analysis of the subsampled dataset using PCoA plots revealed significant differentiation among sample groups, highlighting the impact of the rearing environment on the host microbiome. Across all PCoA plots, ANOSIM values exceeded 0.5, with p-values less than 0.001, indicating strong statistical significance (Skin: R = 0.60735, p < 0.001; Gill: R = 0.6524, p < 0.001; Gut: R = 0.50382, p < 0.001; Water: R = 0.96102, p < 0.001). Although the distinction between Jitra’s September and November samples was less apparent, particularly with substantial overlap observed for the skin and gill samples, a more pronounced difference was evident in the gut samples. Notably, over the two-month period, the fish gut microbiota from Jitra underwent significant changes, as reflected by a shift from the middle bottom part of the PCoA plot (September 2022 samples) to a more widely dispersed distribution in the upper right quadrant (November 2022 samples). Based on LEfSe analyses, the family Deinococcocea emerged with one of the highest Linear Discriminant Analysis (LDA) scores, indicating a significantly elevated representation of reads in the skin and gill samples of fish reared in earthen ponds (Figures 4A, B, right). Conversely, the family Bacillacea_H, with an LDA score nearly on par with Deinococcacea, was notably more represented in the skin samples of fish raised in tank water (Figure 4A, right). Moreover, among the skin, gill, gut and water samples, there was a noticeable increase in the representation of reads from the family Fusobactericeae in all four types of microbiome from the Penang tank water system (Figures 4A–D, right). The family Sphingomonadaceae was found to be the most significant biomarker in the Penang tank water microbiome, displaying the highest LDA score (Figure 4D, right).
Comparative analysis of microbial communities in tank and pond environment
Principal Coordinates Analysis (PCoA) of water samples obtained from tanks and ponds revealed significant and distinct clustering patterns (ANOSIM: R = 0.96102, p-value < 0.001), indicative of microbial community variation between the two aquatic environments (Figure 3A). Notably, the dispersion patterns observed in the PCoA plot differed markedly between tank and pond water samples. While pond water samples formed a remarkably tight cluster in the middle-left quadrant, presumably indicating a homogeneous microbial community within ponds, tank water samples exhibited a notable dispersion, occupying both the upper and lower right quadrants. Subsequent LEfSe analysis unveiled notable differences in the abundance of microbial families between pond and tank water samples (Figure 3B). Specifically, Cyanobiaceae exhibited the most pronounced enrichment in pond water, supported by a logarithmic Linear Discriminant Analysis (LDA) score approaching 6, while Oligoflexacea also demonstrated significant enrichment. Conversely, Sphingomonadaceae and Fusobacteriaceae were significantly enriched in tank water samples (Figure 3B). By focusing the analysis solely on the microbial composition of tank water samples, a distinct clustering pattern emerged between water samples collected from indoor and outdoor tanks (Figure 3C). Notably, LefSE analysis showed that Sphingomonadaceae exhibited enrichment in samples from outside tanks, whereas Spiromaceae displayed higher abundance in inside tanks (Figure 3D). Interestingly, despite forming a very tight cluster among the Pond water samples (Figure 3A), subsequent PCOA analysis, refined to only the pond water samples, revealed discrete clusters by pond origin (Figures 3E, F). This observation underscores the importance of targeted analyses to uncover subtle variations within seemingly homogeneous sample groups. In addition, we observed clear separations among different pond water samples but not so much when comparing the depth. This suggests that the microbiome can be a relatively “stable” indicator of pond water despite different depths.
Potential pathogen load assessment in tilapia amid limited taxonomic resolution
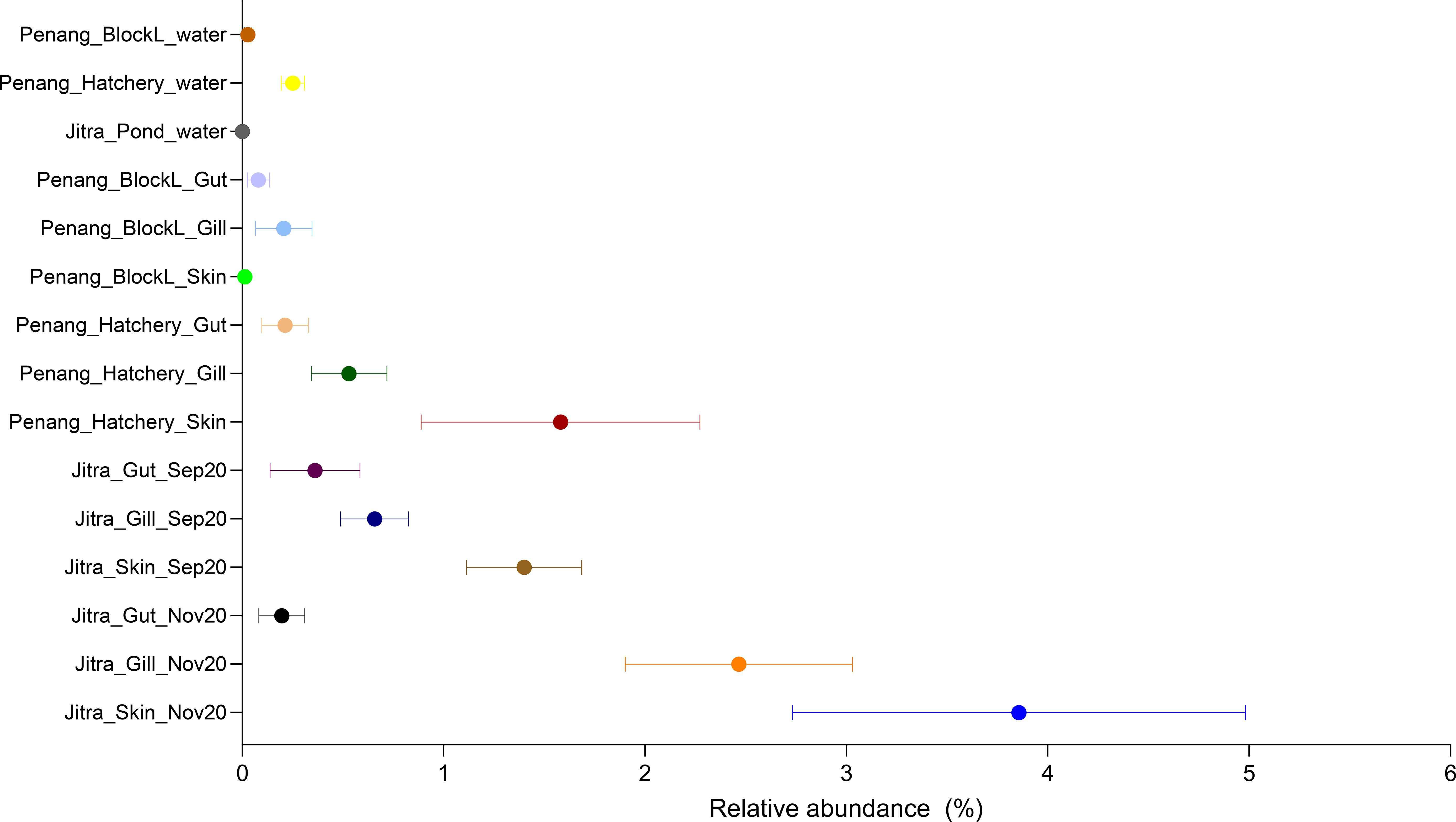
Given the highly conserved nature of the 16S V4 hypervariable region, we could not identify ASVs that were classified as potential fish pathogen species, such as Aeromonas veronii, Edwardsiella tarda, Flavobacterium columnaris, and S. agalactiae. Consequently, this poses challenges for accurately analyzing pathogen load based on 16S V4 amplicon data. However, through BLAST searches of the selected ASVs from potentially pathogenic genera against the NCBI 16S rRNA refseq targeted loci database, we identified ASV15 (Aeromonas spp.) and ASV80 (Edwardsiella spp.) as potential indicators of pathogen load, as they displayed 100% nucleotide identity to multiple pathogenic species within their respective genera. For instance, ASV15 exhibited numerous identical matches to A. media, A. jandaei, A. veronii, A. ichthiosmia and A. caviae, all previously documented as opportunistic fish pathogens. Similarly, BLAST searches of ASV80 revealed identical matches to E. tarda. However, it is essential to note that such assumptions cannot be generalized to other genera, such as Flavobacterium and Streptococcus, as some of their members are non-pathogenic environmental or probiotic strains. The skin samples, particularly from apparently healthy Jitra fish, exhibit a higher relative abundance (~4%) of ASV15. This is followed by gill samples, with comparatively lower relative abundances observed in gut samples. A similar trend was observed in the Penang samples, albeit with even lower relative abundance across all sample types (Figure 6).

Figure 6. Relative abundance of ASV15 classified as Aeromonas in different tilapia organs and aquaculture environments.
Discussions
We present a comprehensive analysis of the microbiome associated with GIFT tilapia raised in two aquaculture settings, encompassing three primary anatomical sites: gills, gut, and skin, as well as the microbiome of their rearing water. This study provides valuable insights into the differentiation and overlap of microbiomes among fish and their immediate growth environment. Our findings indicate that pond water microbiomes consistently exhibited the highest alpha diversity, suggesting a rich diversity of bacterial taxa within this environment. This phenomenon can be attributed partly to the widespread use of earthen ponds for tilapia cultivation in Malaysia, which is favored for its cost-effectiveness compared to tank-based systems. Moreover, the sourcing of pond water from rivers introduces a diverse array of natural microbes (Tang et al., 2020), complemented by additional microbial contributions from the soil due to continuous water-soil interaction at pond bottoms, known reservoirs of microbial diversity (Colette et al., 2023; Liu et al., 2020; Wolińska et al., 2022). This heightened diversity may facilitate efficient nutrient cycling, enhancing waste conversion within the pond ecosystem. Furthermore, the daily exposure of pond water to long hours of sunlight that is naturally prevalent in Malaysia results in a notable enrichment of cyanobacteria (Panwar et al., 2022; Zhou et al., 2014) and other aquatic plant species that serve as an additional nutritional source for fish and other pond organisms, thereby diversifying nutrient availability beyond traditional commercial fish feed. In contrast, tank water microbiomes exhibited significantly lower alpha diversity, likely attributed to factors such as pre-chlorination of town water sources before use and weekly water exchanges, which disrupt microbial communities before they can stabilize, thereby limiting diversity (Bertelli et al., 2018; Zhang et al., 2022; Zhou et al., 2021). While this may mitigate the accumulation and spread of pathogens, it also reduces overall microbiome diversity. This suggests that there may be trade-offs between health and growth in these different aquaculture systems.
Despite continuous exposure and interaction with the water microbiome, the microbiomes of the tilapia tissue types sampled exhibited distinct gut microbial compositions, indicative of host-driven microbial selection. The gut microbiome consistently exhibits lower diversity compared to other organs, a well-established observation in the scientific literature (Abdelhafiz, 2022; Parata et al., 2020; Wu et al., 2021). However, it is intriguing to note that the gut microbiome diversity in Jitra samples was generally higher than that of tank-reared counterparts, likely influenced by dietary factors (Do Vale Pereira et al., 2024; Escalas et al., 2022; Soh et al., 2024). While tank-reared fish adhere to controlled feeding regimes, fish reared in earthen ponds take water by limited drinking and benefit from a diet supplemented by naturally available materials within the pond environment, such as algae, detritus, aquatic plants, and associated microbial communities. This is supported by the increased abundance of Firmicutes_A in Jitra fish guts, reported for their role in plant carbohydrate degradation (Berry, 2016; Do Vale Pereira et al., 2024; Flint et al., 2012). Nevertheless, although our analysis showed that fish age and body weight had a negligible influence on microbiomes based on low cos2 values in the PCA, the disparity in fish size and age among both sites remains a limitation of this study, and we cannot entirely discount their potential influence on microbiome differences (Zhao et al., 2020). As expected, a high number of reads were assigned to Fusobacteria, particularly the genus Cetobacterium, in the fish gut from both systems. Cetobacterium, a dominant genus in the gut microbiota of freshwater fish, plays key roles in gut fermentation processes and vitamin B12 synthesis for the host (Colorado Gómez et al., 2023; Ofek et al., 2021; Qi et al., 2023; Yajima et al., 2023). In addition, Fusobacteriota is recognized for its capacity to produce butyrate, a short-chain fatty acid well-known for its many benefits to the host. Butyrate serves as an anti-inflammatory agent, promoting mucus secretion and providing energy to host cells (Larsen et al., 2014; Von Engelhardt et al., 1998). Moreover, butyric acid has been reported to inhibit freshwater fish pathogens such as Aeromonas sp., Flavobacterium sp., Yersinia sp., and Vibrio sp.) (Larsen et al., 2014). That said, the increased abundance of Fusobacteria in gill and water samples from tank-reared fish is unlikely to be biologically driven but rather reflects tank operation, such as the circulation of fecal material within the tank environment driven by aeration in the absence of a physical filtration system. Gill structures, crucial for respiratory water passage, occasionally trap and sample these fecal materials, contributing to the observed microbial composition.
The prevalence of Deinoccota in the skin and gill microbiome of fish in Jitra ponds over two distinct time points spaced 60 days apart is intriguing, given that Deinoccota is not commonly reported to be present in high abundance on the skin or gill microbiome of tilapia (Berggren et al., 2022; Debnath et al., 2023; McMurtrie et al., 2022). Members of the phylum Deinoccocata, particularly within the family Deinoccocacea, are known for their exceptional resistance to extreme radiation, including UV radiation (Liu et al., 2023; Zhang et al., 2007), and are commonly found in soil microbiomes (Lang et al., 2023; Luo et al., 2021; Rainey et al., 2005). Therefore, the direct interaction of pond water with underlying soil in Jitra may provide a continuous reservoir of Deinoccota, facilitating their colonization of the fish skin microbiome. The presence of Deinoccota on the fish’s skin may serve two functional roles. Firstly, their resistance to UV radiation suggests a potential protective mechanism for the fish against sunlight exposure (Farci et al., 2016), particularly relevant in environments with continuous sunlight exposure, such as Jitra ponds. Secondly, Deinoccota may contribute to the establishment and maintenance of a stable microbiome on the fish skin, potentially through niche occupation and competitive interactions with other microorganisms, thereby aiding in the prevention of pathogen colonization and promoting a balanced microbial community (Cabillon and Lazado, 2019; Larsen et al., 2013; Takeuchi et al., 2021). The skin and gills of fish originating from either an earthen pond or a tank system had similar bacterial composition as reflected by their overlapping beta-diversity profiles and relative abundance. Those similarities could be explained by the fact that these two mucosal organs are in constant contact with their external water environment. Other studies have reported similar observations in tilapia co-cultivated with grey-mullet (Elsheshtawy et al., 2021) and in many other fish species, such as Atlantic salmon (Lorgen-Ritchie et al., 2022) and yellowtail kingfish (Legrand et al., 2018).
While our findings suggest associations between microbial composition and rearing conditions, direct functional inferences or links to host performance remain hypothetical at this stage. Although the present study focused on taxonomic composition and diversity, future investigations using shotgun metagenomic sequencing are warranted to elucidate the functional potential of the microbiomes associated with different rearing environments.
Belonging to the Proteobacteria phylum, Aeromonas encompasses several species recognized as potential opportunistic pathogens of tilapia, including A. hydrophila, jandaei, and veronii (Basri et al., 2020; Dong et al., 2017). However, Aeromonas has also been identified in the healthy intestinal mucosa of tilapia, suggesting its potential role in maintaining and stimulating mucosal immunity (Elsheshtawy et al., 2021; Nayak, 2010; Pakingking et al., 2015; Wu et al., 2021). In our study, we observed the presence of Aeromonas in healthy tilapia, albeit in low relative abundance. Predominantly, reads assigned to Aeromonas were found in the skin tissues, followed by gill samples, and to a lesser extent in the gut of fish within earthen-pond environments, with minimal occurrences in fish from tank systems, except for isolated instances in specific tanks. In farm settings, effective management of Aeromonas is crucial for maintaining levels below a critical threshold, particularly considering various stressors such as poor water quality, which can disrupt the delicate balance of the microbiome, rendering the animals more susceptible to Aeromonas and other potential opportunistic pathogens. Traditional molecular techniques for detecting Aeromonas spp, such as standard PCR, often lack quantitative data, potentially leading to false alarms for producers.
While 16S rRNA amplicon sequencing provides broad taxonomic profiling and insights into relative abundance, it lacks the quantitative precision of targeted methods such as qPCR. Therefore, it should be considered complementary rather than a replacement for established diagnostic tools when monitoring pathogen load.
Although our study offers one of the most comprehensive snapshots to date of the microbiomes associated with tank- and pond-reared GIFT tilapia, we acknowledge a key limitation: the sampling schedules differed between sites. The Jitra (pond) site was sampled at two time points (September and November 2020), whereas the Penang (tank) site was sampled only once (October 2020). This asymmetry in sampling frequency—driven by logistical and operational constraints, as well as fish availability related to ongoing breeding program activities—introduces a potential source of temporal bias.
To mitigate confounding effects, we structured our microbiome analyses to examine temporal and spatial variations. For instance, we visualized changes in Jitra samples over time and observed that the gill and skin microbiomes were relatively stable during the 60-day interval, while the gut microbiomes exhibited more pronounced temporal shifts. Nevertheless, microbiome profiles from the Penang (tank) and Jitra (pond) sites remained consistently distinct across all tissue types, suggesting that the rearing environment had a stronger influence on community composition than sampling time. This conclusion was supported by robust clustering in PCoA plots (Figures 2B, 4) and high ANOSIM R values (e.g., water: R = 0.96; Figure 3).
We recognize, however, that temporal dynamics—particularly in complex pond ecosystems—can influence microbial communities. To address this in future studies, we recommend (i) synchronizing sampling schedules across sites with repeated sampling at all locations, and (ii) employing time-series statistical approaches (e.g., mixed-effects models) to explicitly account for time as a variable. These strategies will enhance our ability to distinguish between temporal variation and site- or system-level effects. Moreover, integrating additional ‘omics approaches, such as shotgun metagenomics or transcriptomics, would offer functional insights to determine whether observed taxonomic shifts correspond to biologically meaningful changes.
Additionally, there were differences in fish size and age between systems, which, although assessed through PCA (Supplementary Data Sheet 3), remain potential confounders, requiring more tightly controlled cohort designs in future work. We also recognize that 16S rRNA amplicon sequencing—particularly when restricted to the V4 region—generally limits taxonomic resolution to the genus level and is often insufficient for confident species-level identification, although species-level resolution may be achieved in certain taxa. Additionally, this approach offers only limited capacity for functional prediction. Future studies incorporating full-length 16S rRNA gene sequencing —using platforms such as Nanopore—as well as shotgun metagenomics, are expected to enable more accurate and comprehensive characterization of microbial taxonomy and functional potential, thereby overcoming the inherent limitations of V4-based predictive approaches. Although our findings are primarily observational, they provide a valuable foundation for developing practical microbiome-based tools to support aquaculture productivity and health management.
These include microbiome-based health benchmarking, development of bioindicators for water quality, and early detection of microbial imbalances for routine health monitoring in breeding programs. Incorporating microbiome analysis into routine farm diagnostics could support more sustainable and data-driven health management strategies.
In conclusion, our study sheds light on the intricate dynamics of the microbiomes associated with GIFT tilapia in two different aquaculture settings. By examining microbial communities across various fish organs and water environments, we unveiled significant differences in microbial diversity and structure between pond and tank systems, highlighting the influence of environmental factors such as water source and management practices. Microbiome profiling holds significant promise for enhancing routine decision-making in pond management and bolstering aquaculture sustainability. However, its full potential can only be realized if it is readily accessible to farmers in a timely manner. Therefore, streamlining sampling, library preparation, sequencing, and analytical workflows is paramount. Encouragingly, rapid advancements in portable nanopore sequencing platforms offer promising opportunities for transformative change in microbiome profiling within aquaculture. By enabling faster and more cost-effective analysis, these innovations have the potential to enhance “real-time” monitoring of fish and water health, support early detection of disease or dysbiosis, and inform timely management interventions. Ultimately, such improvements could lead to increased productivity, better animal welfare, and more sustainable aquaculture practices.
Data availability statement
The original contributions presented in the study are publicly available. FastQ files for all 568 samples can be found under NCBI BioProject accession PRJNA1036009 with BioSample accessions SAMN38257401 to SAMN38257968. The Sequence Read Archive (SRA) accession numbers for all 568 samples are listed in Supplementary Data Sheet 4.
Ethics statement
Data collection and sampling were performed as part of a nonprofit selective breeding program run by WorldFish, where the samples were collected on euthanized fish as part of routine husbandry procedures, i.e., population health checks and stocking density adjustments. The animals from this breeding population are managed in accordance with the Guiding Principles of the Animal Care, Welfare, and Ethics Policy of WorldFish Center. The study was conducted in accordance with the local legislation and institutional requirements.
Author contributions
JD-D: Conceptualization, Data curation, Formal analysis, Funding acquisition, Investigation, Methodology, Project administration, Resources, Supervision, Validation, Visualization, Writing – original draft, Writing – review & editing. MM: Conceptualization, Data curation, Formal analysis, Investigation, Methodology, Project administration, Supervision, Validation, Writing – review & editing. HMG: Data curation, Formal analysis, Methodology, Validation, Visualization, Writing – original draft, Writing – review & editing. CR: Formal analysis, Methodology, Visualization, Writing – review & editing. LK: Investigation, Methodology, Writing – review & editing. DV-J: Writing – review & editing. CVM: Conceptualization, Funding acquisition, Investigation, Methodology, Project administration, Writing – review & editing. JAHB: Conceptualization, Funding acquisition, Investigation, Methodology, Project administration, Resources, Supervision, Validation, Writing – review & editing.
Funding
The author(s) declare financial support was received for the research and/or publication of this article. The authors gratefully acknowledge financial support from the CGIAR Research Program (CRP) on Fish Agri-Food Systems (FISH), the CGIAR Research Initiatives on Resilient Aquatic Food Systems for Healthy People and Planet, Protecting Human Health Through a One Health Approach, Sustainable Animal and Aquatic Foods (SAAF), and the Digital Transformation Accelerator science program. The Government of Norway provided additional support through the Aquatic Animal Health Africa project, Increased Sustainability in the Aquaculture Sector in sub-Saharan Africa, through Improved Aquatic Animal Health Management, jointly led by WorldFish and the Norwegian Veterinary Institute [grant no. RAF-19/0051]. We thank all funders who supported this research through their contributions to the CGIAR Trust Fund (https://www.cgiar.org/funders/) and the Government of Norway. The funders had no role in study design, data collection and analysis, decision to publish, or preparation of the manuscript. We are also grateful to the WorldFish genetics and breeding team and the Department of Fisheries Malaysia for their valuable technical contributions throughout the project. The contents of this publication are the sole responsibility of the authors and do not necessarily reflect the views of the Government of Norway or any other donors who supported this work.
Conflict of interest
The authors declare that the research was conducted in the absence of any commercial or financial relationships that could be construed as a potential conflict of interest.
Generative AI statement
The author(s) declare that no Generative AI was used in the creation of this manuscript.
Any alternative text (alt text) provided alongside figures in this article has been generated by Frontiers with the support of artificial intelligence and reasonable efforts have been made to ensure accuracy, including review by the authors wherever possible. If you identify any issues, please contact us.
Publisher’s note
All claims expressed in this article are solely those of the authors and do not necessarily represent those of their affiliated organizations, or those of the publisher, the editors and the reviewers. Any product that may be evaluated in this article, or claim that may be made by its manufacturer, is not guaranteed or endorsed by the publisher.
Supplementary material
The Supplementary Material for this article can be found online at: https://www.frontiersin.org/articles/10.3389/frmbi.2025.1567816/full#supplementary-material
Supplementary Data Sheet 1 | ASV Sequences in fasta format generated in this study.
Supplementary Data Sheet 2 | MicrobiomeAnalyst input files with various metadata combinations.
Supplementary Data Sheet 3 | PCA, coordinates of the barycenters of the PCA, and correlation and cos² values of Fish Age and Body Weight.
Supplementary Data Sheet 4 | List of SRA accession codes for each raw read.
SUPPLEMENTARY FILE 1 | Method for the assessment of Skin, Gill, and Fin Ectoparasites in Tilapia.
References
Abdelhafiz Y. A. A. (2022). Insights into the bacterial communities of Nile tilapia – core members and intergenerational transfer. Bodø: Nord University, 106.
Barría A., Trinh T. Q., Mahmuddin M., Benzie J. A. H., Chadag V. M., and Houston R. D. (2020). Genetic parameters for resistance to Tilapia Lake Virus (TiLV) in Nile tilapia (Oreochromis niloticus). Aquaculture 522, 735126. doi: 10.1016/j.aquaculture.2020.735126
Basri L., Nor R. M., Salleh A., Md. Yasin I. S., Saad M. Z., Abd. Rahaman N. Y., et al. (2020). Co-infections of Tilapia Lake Virus, Aeromonas hydrophila and Streptococcus agalactiae in farmed red hybrid tilapia. Animals 10, 2141. doi: 10.3390/ani10112141
Berggren H., Tibblin P., Yıldırım Y., Broman E., Larsson P., Lundin D., et al. (2022). Fish skin microbiomes are highly variable among individuals and populations but not within individuals. Front. Microbiol. 12. doi: 10.3389/fmicb.2021.767770
Berry D. (2016). The emerging view of Firmicutes as key fibre degraders in the human gut. Environ. Microbiol. 18, 2081–2083. doi: 10.1111/1462-2920.13225
Bertelli C., Courtois S., Rosikiewicz M., Piriou P., Aeby S., Robert S., et al. (2018). Reduced chlorine in drinking water distribution systems impacts bacterial biodiversity in biofilms. Front. Microbiol. 9. doi: 10.3389/fmicb.2018.02520
Bokulich N. A., Kaehler B. D., Rideout J. R., Dillon M., Bolyen E., Knight R., et al. (2018). Optimizing taxonomic classification of marker-gene amplicon sequences with QIIME 2’s q2-feature-classifier plugin. Microbiome 6, 90. doi: 10.1186/s40168-018-0470-z
Bolyen E., Rideout J. R., Dillon M. R., Bokulich N. A., Abnet C. C., Al-Ghalith G. A., et al. (2019). Reproducible, interactive, scalable and extensible microbiome data science using QIIME 2. Nat. Biotechnol. 37, 852–857. doi: 10.1038/s41587-019-0209-9
Cabillon N. A. R. and Lazado C. C. (2019). Mucosal barrier functions of fish under changing environmental conditions. Fishes 4, 2. doi: 10.3390/fishes4010002
Callahan B. J., McMurdie P. J., Rosen M. J., Han A. W., Johnson A. J. A., and Holmes S. P. (2016). DADA2: High-resolution sample inference from Illumina amplicon data. Nat. Methods 13, 581–583. doi: 10.1038/nmeth.3869
Caporaso J. G., Lauber C. L., Walters W. A., Berg-Lyons D., Huntley J., Fierer N., et al. (2012). Ultra-high-throughput microbial community analysis on the Illumina HiSeq and MiSeq platforms. ISME J. 6, 1621–1624. doi: 10.1038/ismej.2012.8
Chong J., Liu P., Zhou G., and Xia J. (2020). Using MicrobiomeAnalyst for comprehensive statistical, functional, and meta-analysis of microbiome data. Nat. Protoc. 15, 799–821. doi: 10.1038/s41596-019-0264-1
Colette M., Guentas L., Patrona L. D., Ansquer D., and Callac N. (2023). Dynamic of active microbial diversity in rhizosphere sediments of halophytes used for bioremediation of earthen shrimp ponds. Environ. Microbiome 18, 58. doi: 10.1186/s40793-023-00512-x
Colorado Gómez M. A., Melo-Bolívar J. F., Ruíz Pardo R. Y., Rodriguez J. A., and Villamil L. M. (2023). Unveiling the probiotic potential of the anaerobic bacterium cetobacterium sp. nov. C33 for Enhancing Nile Tilapia (Oreochromis niloticus) Cultures. Microorganisms 11, 2922. doi: 10.3390/microorganisms11122922
Debnath S. C., McMurtrie J., Temperton B., Delamare-Deboutteville J., Mohan C. V., and Tyler C. R. (2023). Tilapia aquaculture, emerging diseases, and the roles of the skin microbiomes in health and disease. Aquacult. Int. 31, 2945–2976. doi: 10.1007/s10499-023-01117-4
Dong H. T., Chaijarasphong T., Barnes A. C., Delamare-Deboutteville J., Lee P. A., Senapin S., et al. (2023). From the basics to emerging diagnostic technologies: What is on the horizon for tilapia disease diagnostics? Rev. Aquaculture 15, 186–212. doi: 10.1111/raq.12734
Dong H. T., Techatanakitarnan C., Jindakittikul P., Thaiprayoon A., Taengphu S., Charoensapsri W., et al. (2017). Aeromonas jandaei and Aeromonas veronii caused disease and mortality in Nile tilapia, Oreochromis niloticus (L.). J. Fish Dis. 40, 1395–1403. doi: 10.1111/jfd.12617
Do Vale Pereira G., Teixeira C., Couto J., Dias J., Rema P., and Gonçalves A. T. (2024). Dietary protein quality affects the interplay between gut microbiota and host performance in nile tilapia. Animals 14, 714. doi: 10.3390/ani14050714
Elsheshtawy A., Clokie B. G. J., Albalat A., Beveridge A., Hamza A., Ibrahim A., et al. (2021). Characterization of external mucosal microbiomes of nile tilapia and grey mullet co-cultured in semi-intensive pond systems. Front. Microbiol. 12. doi: 10.3389/fmicb.2021.773860
Escalas A., Auguet J.-C., Avouac A., Belmaker J., Dailianis T., Kiflawi M., et al. (2022). Shift and homogenization of gut microbiome during invasion in marine fishes. Anim. Microbiome 4, 37. doi: 10.1186/s42523-022-00181-0
Etherington G. J., Nash W., Ciezarek A., Mehta T. K., Barria A., Peñaloza C., et al. (2022). Chromosome-level genome sequence of the Genetically Improved Farmed Tilapia (GIFT, Oreochromis niloticus) highlights regions of introgression with O. mossambicus BMC Genomics 23, 832. doi: 10.1186/s12864-022-09065-8
FAO (2024). The State of World Fisheries and Aquaculture 2024. Blue Transformation in action (Rome: Food and Agriculture Organization of the United Nations).
Farci D., Slavov C., Tramontano E., and Piano D. (2016). The S-layer protein DR_2577 binds Deinoxanthin and under desiccation conditions protects against UV-radiation in Deinococcus radiodurans. Front. Microbiol. 7. doi: 10.3389/fmicb.2016.00155
Flint H. J., Scott K. P., Duncan S. H., Louis P., and Forano E. (2012). Microbial degradation of complex carbohydrates in the gut. Gut Microbes 3, 289–306. doi: 10.4161/gmic.19897
Hamzah A., Ponzoni R. W., Nguyen N. H., Khaw H., Yee H. Y., and Mohd Nor S. A. (2014). Performance of the Genetically Improved Farmed Tilapia (GIFT) strain over ten generations of selection in Malaysia. Tropical Agricultural Science. 37, 411–429.
Lang Y., Ma Y., Wang G., Qian X., and Wang J. (2023). Optimized fertilization shifted soil microbial properties and improved vegetable growth in facility soils with obstacles. Horticulturae 9, 1303. doi: 10.3390/horticulturae9121303
Lanzén A., Epelde L., Blanco F., Martín I., Artetxe U., and Garbisu C. (2016). Multi-targeted metagenetic analysis of the influence of climate and environmental parameters on soil microbial communities along an elevational gradient. Sci. Rep. 6, 28257. doi: 10.1038/srep28257
Larsen A. M., Mohammed H. H., and Arias C. R. (2014). Characterization of the gut microbiota of three commercially valuable warmwater fish species. J. Appl. Microbiol. 116, 1396–1404. doi: 10.1111/jam.12475
Larsen A., Tao Z., Bullard S. A., and Arias C. R. (2013). Diversity of the skin microbiota of fishes: evidence for host species specificity. FEMS Microbiol. Ecol. 85, 483–494. doi: 10.1111/1574-6941.12136
Legrand T. P. R. A., Catalano S. R., Wos-Oxley M. L., Stephens F., Landos M., Bansemer M. S., et al. (2018). The inner workings of the outer surface: skin and gill microbiota as indicators of changing gut health in yellowtail kingfish. Front. Microbiol. 8. doi: 10.3389/fmicb.2017.02664
Liu Z., Iqbal M., Zeng Z., Lian Y., Zheng A., Zhao M., et al. (2020). Comparative analysis of microbial community structure in the ponds with different aquaculture model and fish by high-throughput sequencing. Microbial. Pathogenesis 142, 104101. doi: 10.1016/j.micpath.2020.104101
Liu S., Wang F., Chen H., Yang Z., Ning Y., Chang C., et al. (2023). New insights into radio-resistance mechanism revealed by (phospho)proteome analysis of Deinococcus radiodurans after heavy ion irradiation. Int. J. Mol. Sci. 24, 14817. doi: 10.3390/ijms241914817
Lorgen-Ritchie M., Clarkson M., Chalmers L., Taylor J. F., Migaud H., and Martin S. A. M. (2022). Temporal changes in skin and gill microbiomes of Atlantic salmon in a recirculating aquaculture system – Why do they matter? Aquaculture 558, 738352. doi: 10.1016/j.aquaculture.2022.738352
Luo Y., Yuan H., Zhao J., Qi Y., Cao W.-W., Liu J.-M., et al. (2021). Multiple factors influence bacterial community diversity and composition in soils with rare earth element and heavy metal co-contamination. Ecotoxicol. Environ. Saf. 225, 112749. doi: 10.1016/j.ecoenv.2021.112749
McDonald D., Jiang Y., Balaban M., Cantrell K., Zhu Q., Gonzalez A., et al. (2023). Greengenes2 unifies microbial data in a single reference tree. Nat. Biotechnol. 42, 715–718. doi: 10.1038/s41587-023-01845-1
McMurtrie J., Alathari S., Chaput D. L., Bass D., Ghambi C., Nagoli J., et al. (2022). Relationships between pond water and tilapia skin microbiomes in aquaculture ponds in Malawi. Aquaculture 558, 738367. doi: 10.1016/j.aquaculture.2022.738367
Nayak S. K. (2010). Role of gastrointestinal microbiota in fish. Aquaculture Res. 41, 1553–1573. doi: 10.1111/j.1365-2109.2010.02546.x
Oberacker P., Stepper P., Bond D. M., Höhn S., Focken J., Meyer V., et al. (2019). Bio-On-Magnetic-Beads (BOMB): Open platform for high-throughput nucleic acid extraction and manipulation. PloS Biol. 17, e3000107. doi: 10.1371/journal.pbio.3000107
Ofek T., Lalzar M., Laviad-Shitrit S., Izhaki I., and Halpern M. (2021). Comparative study of intestinal microbiota composition of six edible fish species. Front. Microbiol. 12. doi: 10.3389/fmicb.2021.760266
Pakingking R., Palma P., and Usero R. (2015). Quantitative and qualitative analyses of the bacterial microbiota of tilapia (Oreochromis niloticus) cultured in earthen ponds in the Philippines. World J. Microbiol. Biotechnol. 31, 265–275. doi: 10.1007/s11274-014-1758-1
Panwar P., Williams T. J., Allen M. A., and Cavicchioli R. (2022). Population structure of an Antarctic aquatic cyanobacterium. Microbiome 10, 207. doi: 10.1186/s40168-022-01404-x
Parata L., Mazumder D., Sammut J., and Egan S. (2020). Diet type influences the gut microbiome and nutrient assimilation of Genetically Improved Farmed Tilapia (Oreochromis niloticus). PloS One 15, e0237775. doi: 10.1371/journal.pone.0237775
Ponzoni R. W., Nguyen N. H., Khaw H. L., Hamzah A., Bakar K. R. A., and Yee H. Y. (2011). Genetic improvement of Nile tilapia (Oreochromis niloticus) with special reference to the work conducted by the WorldFish Center with the GIFT strain. Rev. Aquaculture 3, 27–41. doi: 10.1111/j.1753-5131.2010.01041.x
Qi X., Zhang Y., Zhang Y., Luo F., Song K., Wang G., et al. (2023). Vitamin B12 produced by Cetobacterium somerae improves host resistance against pathogen infection through strengthening the interactions within gut microbiota. Microbiome 11, 135. doi: 10.1186/s40168-023-01574-2
Rainey F. A., Ray K., Ferreira M., Gatz B. Z., Nobre M. F., Bagaley D., et al. (2005). Extensive diversity of ionizing-radiation-resistant bacteria recovered from sonoran desert soil and description of nine new species of the genus deinococcus obtained from a single soil sample. Appl. Environ. Microbiol. 71, 5225–5235. doi: 10.1128/AEM.71.9.5225-5235.2005
Segata N., Izard J., Waldron L., Gevers D., Miropolsky L., Garrett W. S., et al. (2011). Metagenomic biomarker discovery and explanation. Genome Biol. 12, R60. doi: 10.1186/gb-2011-12-6-r60
Soh M., Tay Y. C., Lee C. S., Low A., Orban L., Jaafar Z., et al. (2024). The intestinal digesta microbiota of tropical marine fish is largely uncultured and distinct from surrounding water microbiota. NPJ Biofilms Microbiomes 10, 1–15. doi: 10.1038/s41522-024-00484-x
Sung K., Khan S. A., Nawaz M. S., and Khan A. A. (2003). A simple and efficient Triton X-100 boiling and chloroform extraction method of RNA isolation from Gram-positive and Gram-negative bacteria. FEMS Microbiol. Lett. 229, 97–101. doi: 10.1016/S0378-1097(03)00791-2
Tacon A. G. J. and Shumway S. E. (2024). Critical need to increase aquatic food production and food supply from aquaculture and capture fisheries: trends and outlook. Rev. Fisheries Sci. Aquaculture 32, 389–395. doi: 10.1080/23308249.2024.2324321
Takeuchi M., Fujiwara-Nagata E., Katayama T., and Suetake H. (2021). Skin bacteria of rainbow trout antagonistic to the fish pathogen Flavobacterium psychrophilum. Sci. Rep. 11, 7518. doi: 10.1038/s41598-021-87167-1
Tang X., Xie G., Shao K., Hu Y., Cai J., Bai C., et al. (2020). Contrast diversity patterns and processes of microbial community assembly in a river-lake continuum across a catchment scale in northwestern China. Environ. Microbiome 15, 10. doi: 10.1186/s40793-020-00356-9
Von Engelhardt W., Bartels J., Kirschberger S., Meyer zu Düttingdorf H. D., and Busche R. (1998). Role of short-chain fatty acids in the hind gut. Vet. Q 20 Suppl 3, S52–S59. doi: 10.1080/01652176.1998.9694970
Walters W., Hyde E. R., Berg-Lyons D., Ackermann G., Humphrey G., Parada A., et al. (2016). Improved bacterial 16S rRNA gene (V4 and V4-5) and fungal internal transcribed spacer marker gene primers for microbial community surveys. mSystems 1, e00009–e00015. doi: 10.1128/mSystems.00009-15
Wolińska A., Ndongo A., Grządziel J., Gałązka G., Marzec-Grządziel A., Szałaj K., et al. (2022). Functional and seasonal changes in the structure of microbiome inhabiting bottom sediments of a pond intended for ecological king carp farming. Biology 11, 913. doi: 10.3390/biology11060913
Wu Z., Zhang Q., Lin Y., Hao J., Wang S., Zhang J., et al. (2021). Taxonomic and functional characteristics of the gill and gastrointestinal microbiota and its correlation with intestinal metabolites in NEW GIFT strain of farmed adult nile tilapia (Oreochromis niloticus). Microorganisms 9, 617. doi: 10.3390/microorganisms9030617
Yajima D., Fujita H., Hayashi I., Shima G., Suzuki K., and Toju H. (2023). Core species and interactions prominent in fish-associated microbiome dynamics. Microbiome 11, 53. doi: 10.1186/s40168-023-01498-x
Zhang Y.-Q., Sun C.-H., Li W.-J., Yu L.-Y., Zhou J.-Q., Zhang Y.-Q., et al. (2007). Deinococcus yunweiensis sp. nov., a gamma- and UV-radiation-resistant bacterium from China. Int. J. Systematic Evolutionary Microbiol. 57, 370–375. doi: 10.1099/ijs.0.64292-0
Zhang Z., Zhang Q., Lu T., Zhang J., Sun L., Hu B., et al. (2022). Residual chlorine disrupts the microbial communities and spreads antibiotic resistance in freshwater. J. Hazardous Materials 423, 127152. doi: 10.1016/j.jhazmat.2021.127152
Zhao R., Symonds J. E., Walker S. P., Steiner K., Carter C. G., Bowman J. P., et al. (2020). Salinity and fish age affect the gut microbiota of farmed Chinook salmon (Oncorhynchus tshawytscha). Aquaculture 528, 735539. doi: 10.1016/j.aquaculture.2020.735539
Zhou Q., Chen W., Shan K., Zheng L., and Song L. (2014). Influence of sunlight on the proliferation of cyanobacterial blooms and its potential applications in Lake Taihu, China. J. Environ. Sci. 26, 626–635. doi: 10.1016/S1001-0742(13)60457-X
Zhou W., Li W., Chen J., Zhou Y., Wei Z., and Gong L. (2021). Microbial diversity in full-scale water supply systems through sequencing technology: a review. RSC Adv. 11, 25484–25496. doi: 10.1039/D1RA03680G
Keywords: genetically improved farmed tilapia (GIFT), 16S V4 rRNA sequencing, amplicon sequence variants (ASVs), microbiome analysis, principal coordinates analysis (PCoA), aquaculture systems (tank vs. pond), linear discriminant analyses (LDA, LEfSe)
Citation: Delamare-Deboutteville J, Mahmuddin M, Gan HM, Rodde C, Khor L, Verner-Jeffreys D, Mohan CV and Benzie JAH (2025) Microbiome dynamics in tank- and pond-reared Genetically Improved Farmed Tilapia (GIFT). Front. Microbiomes 4:1567816. doi: 10.3389/frmbi.2025.1567816
Received: 28 January 2025; Accepted: 28 July 2025;
Published: 01 September 2025.
Edited by:
Tim Dumonceaux, Agriculture and Agri-Food Canada (AAFC), CanadaReviewed by:
Li Lian Wong, Universiti Malaysia Terengganu, MalaysiaNurfadillah Nurfadillah, Syiah Kuala University, Indonesia
Copyright © 2025 Delamare-Deboutteville, Mahmuddin, Gan, Rodde, Khor, Verner-Jeffreys, Mohan and Benzie. This is an open-access article distributed under the terms of the Creative Commons Attribution License (CC BY). The use, distribution or reproduction in other forums is permitted, provided the original author(s) and the copyright owner(s) are credited and that the original publication in this journal is cited, in accordance with accepted academic practice. No use, distribution or reproduction is permitted which does not comply with these terms.
*Correspondence: Jérôme Delamare-Deboutteville, ai5kZWxhbWFyZUBjZ2lhci5vcmc=