ORIGINAL RESEARCH article
Front. Microbiomes
Sec. Host and Microbe Associations
This article is part of the Research TopicThe Respiratory System Microbiome: Diversity, Function and HealthView all 10 articles
Active fungal infections alter the respiratory microbiome profiles of Mayo Clinic Arizona patients
Provisionally accepted- 1Arizona State University, Tempe, United States
- 2Mayo Clinic Arizona, Scottsdale, United States
- 3Northern Arizona University, Flagstaff, United States
Select one of your emails
You have multiple emails registered with Frontiers:
Notify me on publication
Please enter your email address:
If you already have an account, please login
You don't have a Frontiers account ? You can register here
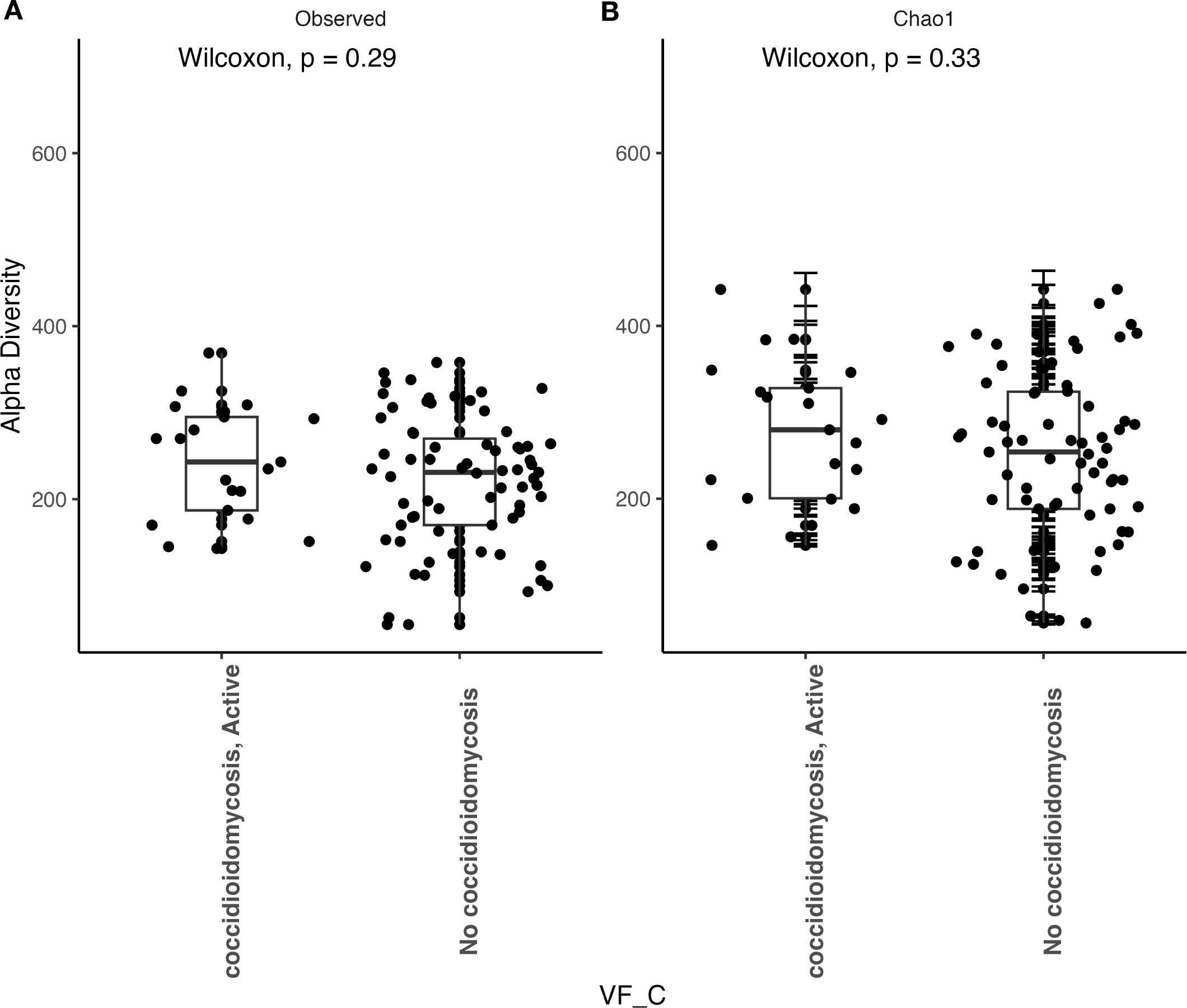
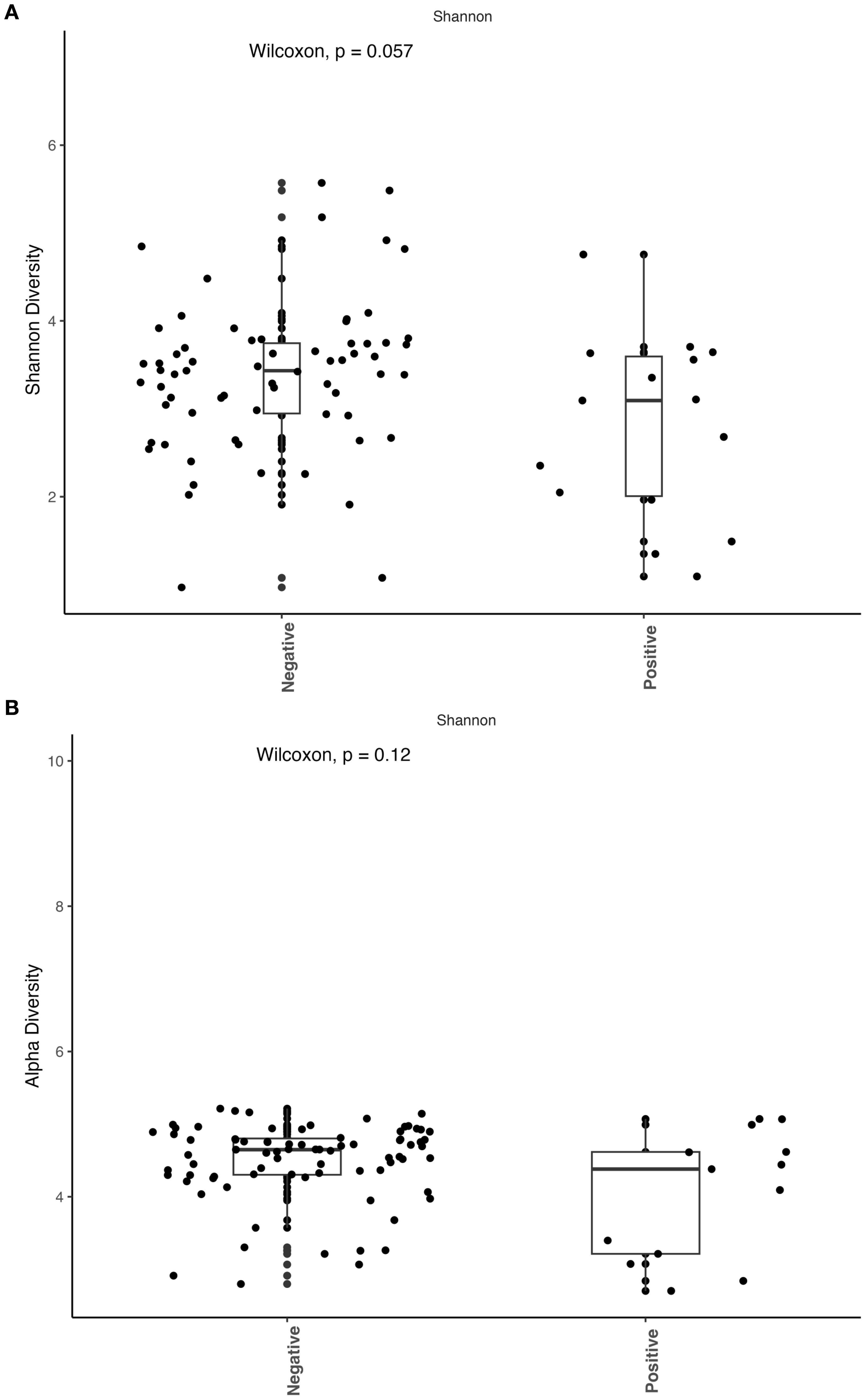
The function of the respiratory microbiome during an active infection is not well characterized. Studies from the gut microbiome suggest a diverse community can aid in modulating the immune system to control infectious pathogens. To determine if there are microbial community compositional changes in the human lung during an infection, we conducted an analysis of both the 16S rDNA and the Internal Transcribed Spacer (ITS) region of DNA from bronchoalveolar lavage fluid (BALF) of patients from Mayo Clinic Arizona. In addition to general classification, we assessed differences in the lung microbiome of patients with different infections including coccidioidomycosis, a common fungal pneumonia in Arizona. We observed patterns of dysbiosis in the lung microbiome during active fungal infection. Patients with active coccidioidomycosis infections had an overabundance of Malassezia, Epicoccum, and Penicillium species in the fungal communities and bacteria in the classes Bacilli, Bacteroidia, Clostridia, and Gammaproteobacteria. Patients with disseminated coccidioidomycosis showed evidence of extreme dysbiosis in the lung microbiome with a significant overabundance of Malassezia and Bacilli. We also observed differences in the fungal communities of patients with an active Candida albicans infection, with an overabundance of the genera Candida and Nakaseomyces. Additionally, we observed a decrease in diversity in the lung fungal communities in patients with an active Coccidioides and Candida infection but no difference in the bacterial community. These compositional changes in the lung microbiome during an active Coccidioides spp. infection associated with shifts in the fungal community. This is the first study to examine how these fungal pathogens affect the lung microbial community of humans.
Keywords: Coccidiodomycosis, Candidasis, Lung Microbiome, Mycobiome, Dysbiosis, BALF (Bronchoalveolar lavage fluid)
Received: 05 Sep 2025; Accepted: 14 Oct 2025.
Copyright: © 2025 Kollath, McAulay, Higgins Keppler, Reilly, Sakata, Barker and Grys. This is an open-access article distributed under the terms of the Creative Commons Attribution License (CC BY). The use, distribution or reproduction in other forums is permitted, provided the original author(s) or licensor are credited and that the original publication in this journal is cited, in accordance with accepted academic practice. No use, distribution or reproduction is permitted which does not comply with these terms.
* Correspondence: Thomas E. Grys, grys.thomas@mayo.edu
Disclaimer: All claims expressed in this article are solely those of the authors and do not necessarily represent those of their affiliated organizations, or those of the publisher, the editors and the reviewers. Any product that may be evaluated in this article or claim that may be made by its manufacturer is not guaranteed or endorsed by the publisher.
