ORIGINAL RESEARCH article
Front. Netw. Physiol.
Sec. Networks of Dynamical Systems
This article is part of the Research TopicSelf-Organization of Complex Physiological Networks: Synergetic Principles and Applications — In Memory of Hermann HakenView all 14 articles
Signal Propagation in Small Networks of Hodgkin-Huxley Neurons
Provisionally accepted- Saratov State University, Saratov, Russia
Select one of your emails
You have multiple emails registered with Frontiers:
Notify me on publication
Please enter your email address:
If you already have an account, please login
You don't have a Frontiers account ? You can register here
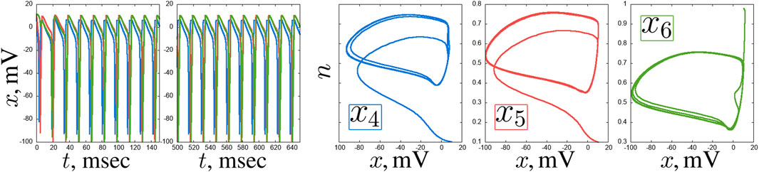
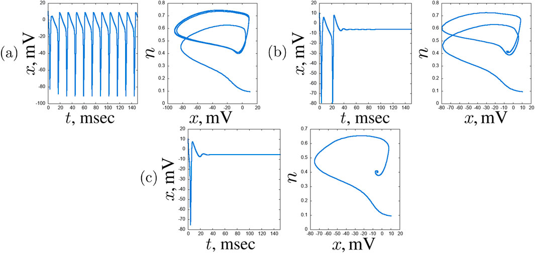
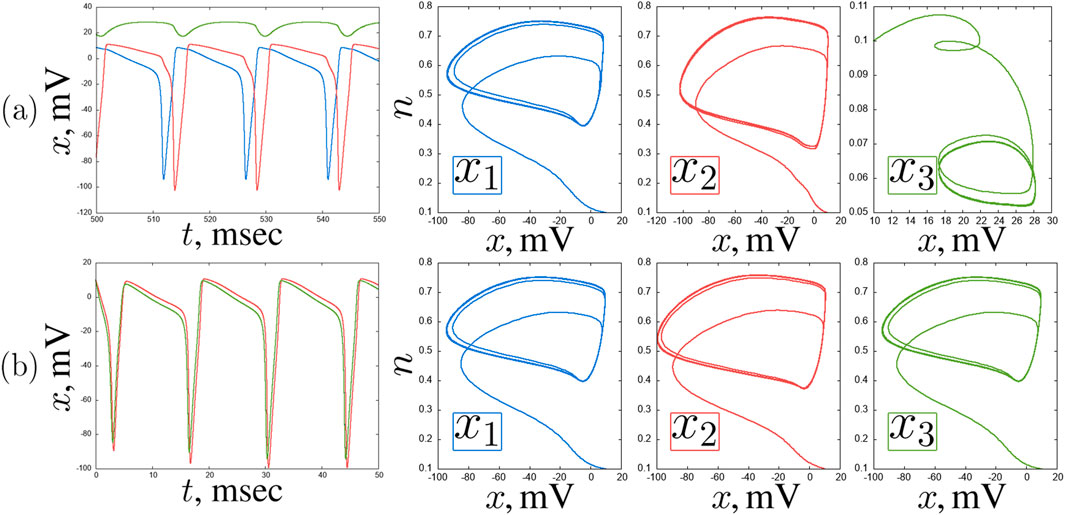
The study of neuron models and their networks is a riveting topic for many researchers worldwide because it allows to glimpse the fundamental processes using accessible methodology. The paper considers dynamics of small networks of Hodkin-Huxley neurons, namely a chain of three neurons and a small-world-like network of seven neurons. It has been found that complex quasi-periodic and chaotic regimes may arise in the systems, and the existense of such regimes is caused by the inner parameters of the systems, such as individual currents of the neurons and the coupling between them. This research contributes to the fundamental understanding of signal propagation in networks of neuron models and may provide insight into the physiology of real neuronal systems.
Keywords: Hodgkin-Huxley Neuron, synchronization, Neural oscillations, neural networks, Network physiology
Received: 22 Oct 2025; Accepted: 24 Nov 2025.
Copyright: © 2025 Bogatenko, Sergeev and Strelkova. This is an open-access article distributed under the terms of the Creative Commons Attribution License (CC BY). The use, distribution or reproduction in other forums is permitted, provided the original author(s) or licensor are credited and that the original publication in this journal is cited, in accordance with accepted academic practice. No use, distribution or reproduction is permitted which does not comply with these terms.
* Correspondence: Tatiana Bogatenko
Disclaimer: All claims expressed in this article are solely those of the authors and do not necessarily represent those of their affiliated organizations, or those of the publisher, the editors and the reviewers. Any product that may be evaluated in this article or claim that may be made by its manufacturer is not guaranteed or endorsed by the publisher.
