ORIGINAL RESEARCH article
Front. Photobiol.
Sec. Light Reactions of Photosynthesis
This article is part of the Research TopicHarnessing light for Metabolites synthesis: innovations in marine algae biotechnologyView all articles
The color within light is a crucial cue that impacts key metabolites and vitamins in the diatom Odontella aurita
Provisionally accepted- 1Anton Dohrn Zoological Station Naples, Naples, Italy
- 2Consiglio Nazionale delle Ricerche Area di Ricerca di Napoli 3 - Pozzuoli, Pozzuoli, Italy
- 3Universita degli Studi di Salerno Dipartimento di Farmacia, Fisciano, Italy
- 4Syddansk Universitet, Odense, Denmark
Select one of your emails
You have multiple emails registered with Frontiers:
Notify me on publication
Please enter your email address:
If you already have an account, please login
You don't have a Frontiers account ? You can register here
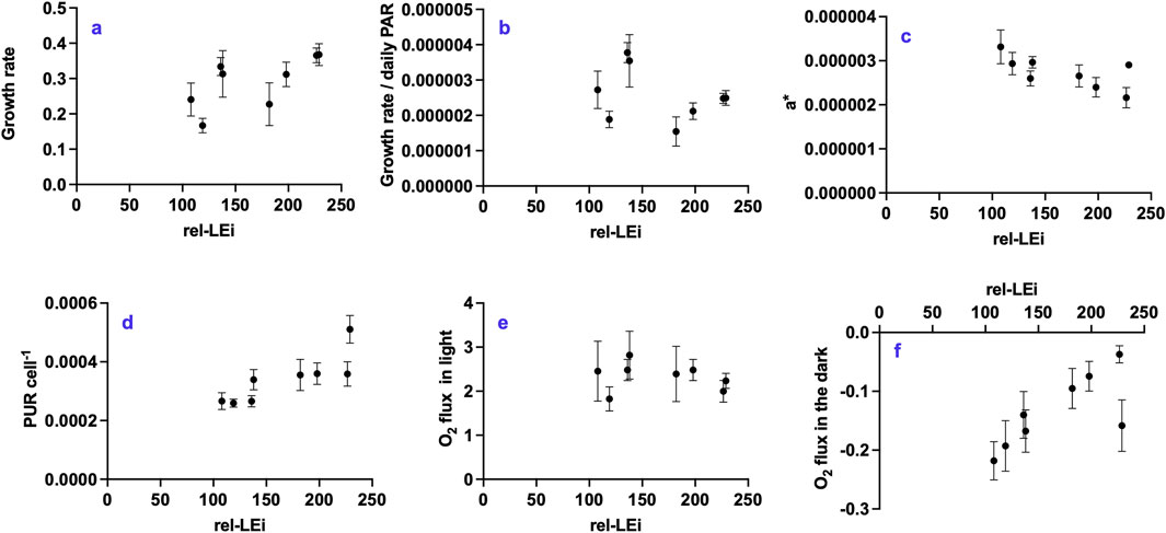
The light environment is a key factor regulating the growth and biomass production of microalgae. Photon flux density and spectral composition i.e., the relative contribution of different wavelengths, are among the most important light parameters influencing microalgal efficiency. The red, green and blue bands are used by microalgae as both energy source for photosynthesis and as external cue that triggers biological signaling and physiological adjustments. This study mechanistically explores the effects of light modulation on key metabolites in the emerging model Odontella aurita, the only diatom species currently approved as a food supplement in the EU. Four spectral compositions with red (590-656 nm) ranging from 0 to 60% and blue (422-496 nm) from 60 to 20% were set up under two light conditions: limiting and saturating intensities . Growth and photosynthetic performances were assessed, together with a wide set of metabolites involved in various biochemical pathways including vitamins (A, B1, B2, B6, B8, B9, B12, K1, D2, D3, C and E), auxin, amino acids and other compounds identified by NMR. In addition, the biomass was characterized for its macromolecular composition, carotenoids, phytosterols, total flavonoid and total phenolic content, iron and zinc content, and total antioxidant capacity of the biomass using different assays were evaluated. Results revealed the complementary roles of blue and red lights: blue light enhanced growth and photosynthesis, as well as the use or regulation of photoenergy, whereas red light promoted the regulation of key metabolites e.g., B vitamins or auxin, involved in the modulation of metabolic pathways. These findings provide insight for optimizing diatom cultivation under controlled light environments e.g., with the aim to boost growth and metabolism.
Keywords: Amino Acids, antioxidant, auxin, Carotenoids, diatom, Metabolomics, Red light, Vitamins
Received: 29 Sep 2025; Accepted: 17 Nov 2025.
Copyright: © 2025 Sansone, Russo, Paris, Pistelli, Maselli, Corato, Tramice, Iodice, Margiotta, Smerilli, Balzano, Del Prete, Fabris and Brunet. This is an open-access article distributed under the terms of the Creative Commons Attribution License (CC BY). The use, distribution or reproduction in other forums is permitted, provided the original author(s) or licensor are credited and that the original publication in this journal is cited, in accordance with accepted academic practice. No use, distribution or reproduction is permitted which does not comply with these terms.
* Correspondence:
Clementina Sansone, clementina.sansone@szn.it
Christophe Brunet, christophe.brunet@szn.it
Disclaimer: All claims expressed in this article are solely those of the authors and do not necessarily represent those of their affiliated organizations, or those of the publisher, the editors and the reviewers. Any product that may be evaluated in this article or claim that may be made by its manufacturer is not guaranteed or endorsed by the publisher.
