Your new experience awaits. Try the new design now and help us make it even better

ORIGINAL RESEARCH article

Front. Physiol., 17 September 2021

Sec. Exercise Physiology

Volume 12 - 2021 | https://doi.org/10.3389/fphys.2021.719580

This article is part of the Research TopicFactors Affecting Performance and Recovery in Team Sports: A Multidimensional PerspectiveView all 13 articles

Effects of Three Preseason Training Programs on Speed, Change-of-Direction, and Endurance in Recreationally Trained Soccer Players

  • 1Laboratoire Interuniversitaire de Biologie de la Motricité, Université Jean Monnet, Saint-Etienne, France
  • 2Albacete Balompie SAD, Albacete, Spain
  • 3Department of Clinical and Exercise Physiology, Sports Medicine Unit, Faculty of Medicine, University Hospital of Saint-Etienne, Saint-Etienne, France

Background: Modern coaches experience a drastic reduction of the available training time with an increasingly large number of competitions during the competitive season. Thus, they must choose wisely the most efficient methods to improve the physical fitness of their players during the preseason. Among all the methods, this study compared the effects of plyometric training (PT), sprint interval training (SIT), and small-sided games (SSGs) on the performance of recreationally trained soccer players.

Methods: Seventy-three participants were randomly assigned in one of the three experimental groups (i.e., PT [n = 23], SIT [n = 26] or SSGs [n = 24]) and completed two sessions per week for a total of 3 weeks. Meanwhile, the whole group maintained their habitual soccer-specific training program who do not interfere in the preparation of the season. Repeated sprint ability (RSA), maximal aerobic speed (MAS), and a 30-m sprint were assessed at baseline (PRE) and post-training (POST).

Results: Performance in SSGs decreased for the average speed from 0 to 10 m (V0−10m; −0.84 km h−1, −4 ± 5%, p < 0.001), the maximal distance (Dmax) covered in the 30-s RSA test (−3.65 m, −3 ± 6%, p < 0.01) and MAS (−0.52 km h−1, −3 ± 6%, p < 0.01). PT increased the mean distance (Dmean) covered in the 30-s RSA test (+5.98 m, 5 ± 4%, p < 0.001) and MAS (+0.58 km h−1, 7 ± 5%, p < 0.01) while an improvement of all parameters but the maximal sprint speed reached during the 30-m trip (Vmax) was found in the SIT group (V0−10m: +1.462 km h−1, 8 ± 5%, p < 0.001; Dmax: +7.89 m, 6 ± 5%, p < 0.001; Dmean: +8.69 m, 7 ± 5%, p < 0.001 and MAS: +1.74 km h−1, 12 ± 8%, p < 0.001). All SSG POST values were significantly lower than PT and SIT (p < 0.01). Dmean and MAS in POST were also significantly higher in SIT than in the PT group (p < 0.001).

Conclusion: This study suggests that both PT and SIT could be a better alternative to SSGs to boost performances during preseason. Moreover, SIT seems to produce higher improvements in physical performances than PT.

Introduction

Soccer is an invasive team field game with an intermittent activity profile (Drust et al., 2000), which is characterized by around 1,200 acyclical, very variable, and unpredictable actions (Iaia et al., 2009). Those bouts involve various types of linear sprints interspersed with rapid changes-of-direction (CoD), decelerations, sudden starts, stops, jumps, kicks, and tackles (Bloomfield et al., 2007; Iaia et al., 2009; Pavillon et al., 2021). More specifically, it is well-established that during a professional soccer match, an average of 80% of physical activities is considered as low-to-moderate intensities such as standing, walking, or jogging, and the remaining 20% of physical activities are classified as high-intensity activities (running 12–20 km h−−1) or sprints (Mohr et al., 2003; Bloomfield et al., 2007; Pavillon et al., 2021). Despite those last intense actions that have been reported to occur only each 60 s for high intensities (Strudwick et al., 2002) or every 4–5 min for the sprints (Drust et al., 2000; Strudwick et al., 2002; Rampinini et al., 2007a), they are crucial and nearly always precede match-winning actions such as goal situation (Faude et al., 2012).

Consequently, both coaches and researchers have focused on determining the optimal training methods (i.e., strength training and repeated sprint training) for the development of CoD and repeated maximal linear sprint performance, which constitute the key physical qualities in soccer (Cometti et al., 2001; Markovic et al., 2007; Faude et al., 2012; Trecroci et al., 2016, 2020; Pavillon et al., 2021). To do so, three main approaches are usually considered. The first two are inspired by track and field training methods, one focused on strength training and another on traditional running-based conditional exercises, whereas the last one is more ecological and tries to mimic as much as possible the game conditions.

The strength training approach is based on several studies that reported strong correlations between lower-body strength and short-sprint performance (Seitz et al., 2014). For instance, maximal strength is reported to be one of the most important factors in maximizing power output (Cronin and Hansen, 2005; Weyand et al., 2006, 2010; Thapa et al., 2021). Hence, there is no doubt about the beneficial effects of strength training to increase short-sprint performance (Styles et al., 2016) and/or sprint ability (Markovic et al., 2007). Up to now, practitioners and researchers have mostly focused on heavy resistance training and plyometric training (PT) in soccer (De Hoyo et al., 2016; Bauer et al., 2019; Ramirez-Campillo et al., 2020). Most of them tend to agree that PT, due to a rapid eccentric to concentric muscle contraction, represents a method of choice when aiming to enhance a wide range of athletic performance particularly those involving the stretch-shortening cycle (SSC) such as jumping, sprinting, and agility (Fatouros et al., 2000; Markovic et al., 2007; Slimani et al., 2016; Negra et al., 2020). Thapa et al. (2021) even considered PT as a bridge between strength and speed. Nevertheless, as the distance traveled during a game is comprised between 9,995 and 11,233 m (Rampinini et al., 2007a), soccer relies primarily on aerobic metabolism for energy (Strøyer et al., 2004). In addition, when measuring the effects of PT on endurance in soccer, the results are more contrasted.

The second approach is a direct consequence of the aforementioned necessity of developing endurance. Coaches usually dedicate a non-negligible amount of time during the preseason to improve this capacity because they are aware that the aerobic pathway and more specifically VO2max are of crucial importance in soccer (Mallo and Navarro, 2008). For instance, Helgerud et al. (2001) reported that the higher the VO2max and running economy, the better the performances during the game. Moreover, the optimization of VO2max has been reported (i) to allow better repeat sprints (Glaister, 2005), (ii) to better recover between each sprint (Aziz et al., 2007; Brown et al., 2007), and therefore (iii) to maintain higher sprint velocity during the game (Bishop and Edge, 2006). In addition, traditional running-based training programs have been broadly studied, especially when based on very high intensities. Those methods seem to be focused on enhancing maximal performance while reducing the total workout time. Among these techniques, sprint interval training (SIT) seems particularly interesting, because (i) it is nearly costless as no special equipment is needed; (ii) it generates improvements not only in all muscle energy pathways (i.e., aerobic and anaerobic; Parra et al., 2000; Rodas et al., 2000; Ross and Leveritt, 2001; Burgomaster et al., 2007; Weston et al., 2014; Milanović et al., 2015) but also on endurance, strength, power, and speed performance (Taylor et al., 2015; Koral et al., 2018). Nevertheless, sports science literature has quite neglected the possible use of this potentially useful explosive exercise for training purposes when various studies suggest that sprint training could lead to improvements in human muscle power capabilities (Malisoux et al., 2005) and dynamic athletic performance in both concentric and SSC muscle function (Markovic et al., 2007). Additionally, repeated sprints have been reported to be more efficient at improving short-sprint performance than methods such as PT (Taylor et al., 2015). Yet, soccer coaches still do not often use the SIT or strength training as they may find it quite distant from their specific activity and/or too demanding in preseason.

In fact, due to the professionalization of sport that has led to a sharp increase in the number of competitions while reducing training and recovery times (Issurin, 2008, 2010), coaches progressively left out those traditional running-based conditional exercises inspired by track and field training methods (Moran et al., 2019) to focus on more ecological methods but equally effective on fitness and football-specific performance (Hill-Haas et al., 2011; Bujalance-Moreno and Garc-a-Pinillos, 2017) such as small-sided games (SSGs). Those SSGs reproduce on a smaller scale of all the aspects of soccer that are required during competitions (Clemente and Sarmento, 2020; Clemente et al., 2020, Younesi et al., 2021). They encompass the psychological, physical, technical, and tactical aspects of the game (Clemente et al., 2012) and thus are much more accepted by soccer players (Jastrzebski et al., 2014). Moreover, recent studies reported strong relationships between traditional aerobic fitness tests with external and internal training load measures during SSGs (Stevens et al., 2016; Owen et al., 2020). Nevertheless, other authors suggested that SSGs themselves may not be enough to promote the same patterns of the required physical demands during a soccer match, mainly due to the reduced frequency of high-intensity distance-based metrics of this training approach (Lacome et al., 2017; Younesi et al., 2021). For instance, Hoff and Helgerud (2004) showed that the most skilled the players are, the lower the aerobic fitness adaptations will be elicited by SSGs. Conversely, SSGs can also be counterproductive for less-skilled players as they may not be able to consistently sustain the technical skill or tactical proficiency to achieve and maintain the required metabolic strain (Castagna et al., 2004). Moreover, Casamichana et al. (2012) reported a low number of sprints performed during SSGs combined with high volumes of aerobic stimuli. This can result in an acute reduction in sprint velocity (Katis and Kellis, 2009) or no improvements in sprint ability (Hill-Haas et al., 2009) after the use of SSGs as the conditioning strategy.

Rampinini et al. (2007a, 2011) characterized soccer as an intermittent activity where brief bouts of high-intensity running are interspersed with longer periods of low-intensity exercise. In other words, when pursuing performance in soccer, speed, power, and aerobic fitness are intimately linked and need to be all upgraded. Therefore, the aim of this study was to compare the effects on physical performance of the three different approaches (i.e., PT, SIT, and SSGs) performed in the field in recreationally trained soccer players. We hypothesized that soccer players would differently beneficiate from the different types of training, being SIT the most impactful in the measured variables.

Methods

Athletes

Seventy-three recreationally trained soccer players (3–4 soccer training sessions per week) volunteered to take part in the experiment. Participants were randomly assigned to one of the three training groups, namely, PT, SIT, and SSGs. Mean (±SD) age, height, and maximal aerobic speed (MAS) are presented in Table 1. As those interventions were planned during the preseason, none of the players performed intense training (intermittent or not) during the month preceding this intervention. All training was included in addition to their usual soccer training program. The Universities Ethics Board and Human Research Ethics Committee approved this study (IRBN1042020/CHUSTE), and following a routine medical screening, participants were informed of the procedures to be employed and the associated risks and benefits of the intervention. An institutionally approved written consent form was provided and signed by all participants before any training or testing.

TABLE 1
www.frontiersin.org

Table 1. Characteristics of the participants.

Experimental Protocol

The experimental design included a familiarization procedure, pretests, 3 weeks of training (PT, SIT, or SSGs), and post-tests. Before each test and training session, participants completed a standardized warm-up consisting of light to medium muscular contractions (3 sets of 10 repetitions on knee extensors and knee flexors) and three sets of 25-m progressive runs (60, 70, and 80% of the maximal sprint speed). All familiarization, testing, and training sessions were conducted in the afternoon (5–7 P.M.) to avoid performance fluctuations due to circadian rhythms. Participants were encouraged to drink water before, during, and after each testing and training session. All participants were instructed not to deviate from their current, dietary habits, or hydration patterns throughout the duration of this study. They were asked to refrain from any other kind of exercise during the experiment.

Familiarization Procedures

Before taking part in any experimental trial (baseline measurements), all subjects performed familiarization trials to become oriented with all testing procedures. The familiarization also consisted of two to three maximal bouts of 30-s shuttle runs with 4 min of recovery between bouts.

Pre- and Post-Testing

Baseline measurements for all subjects consisted of a repeated sprint ability (RSA) test (Figure 1A), and 48 h after, a maximal sprint speed test over 30 m (Figure 1B), and a MAS test (Figure 1C) interspersed by 20-min recovery. An experienced strength and conditioning coach supervised each test session and provided participants with strong verbal encouragement.

FIGURE 1
www.frontiersin.org

Figure 1. Representation of testing protocol (PRE and POST). (A) Repeated sprint ability test, (B) maximal sprint speed test, and (C) maximal aerobic speed test.

RSA Test

On a soccer pitch, each line was materialized by placing markers 5 m from each other for a total of 30 m (Figure 1A). Based on Koral et al. (2018), participants were asked to perform four bouts of 30 s all-out shuttle sprints during which they had to travel the greatest distance possible making trips of 5, 10, 15 m, and so on (Figure 1A). A 4-min recovery was fixed between each bout. All sprints were recorded with an iPhone 7 plus (Apple, 2017) mounted to a tripod at 240 Hz. Based on Romero-Franco et al. (2017), the iPhone was placed in a fixed position at 18 m from the pitch in the frontal plane and at the 15 m marker. The following two variables were obtained for each test session:

1) Maximal distance (Dmax): the longest total distance covered in a 30-s period.

2) Mean distance (Dmean): the total distance of the session divided by the number of repetitions: Dmean = (Dmax1 + Dmax2 + Dmax3 + Dmax4)/4.

Maximal Sprint Speed Test

Participants were supervised and instructed to run as fast as possible over 30 m on a flat soccer pitch. They performed two 30-m sprints with 5-min rest. Markers were placed every 10 m (from 0 to 30 m). All sprints were recorded with an iPhone 7 plus (Apple, 2017) mounted to a tripod at 240 Hz. The iPhone was placed in a fixed position at 18 m from the track in the frontal plane and at 15 m from both starting and finishing lines (Figure 1B). Based on Romero-Franco et al. (2017), video parallax was corrected to ensure 10, 20, and 30 m split times were measured properly. Data were analyzed using the application MySprint, in which validity and reliability have been demonstrated (Romero-Franco et al., 2017) to determine the average speed from 0 to 10 m (V0−10m), and the maximal sprint speed reached during the 30-m trip (Vmax) which was determined as the fastest 10 m interval.

MAS Test

A continuous running multistage field test, known as the “University of Montreal Track Test” (Léger and Boucher, 1980), was utilized. This protocol was run on a 400-m flat running track, with markers located every 50 m along the track (Figure 1C). No warm-up was performed before the test, and the speed of the initial stage was set at 8 km.h−1 and increased by 1 km.h−1 every 2 min. The speed changes were indicated by audio cues from a prerecorded audio file. The test ceased when the subject fell 5 m short of the designated markers, or when the subject reached volitional failure. The validity and reliability of this test are well-established (Léger and Boucher, 1980).

Training Period

The training period started 2 days after baseline testing. Two weekly sessions were performed by each group (i.e., SSGs, PT, and SIT) within their usual soccer training on Mondays and Wednesdays, whereas Fridays were only dedicated to soccer. The total time of the training session (training condition + soccer or only soccer) varied from 90 to 100 min.

SSGs

Participants did a standard preseason based on SSGs on the field. Those SSGs were programmed with smaller fields and less players than during a traditional soccer game. Based on Rampinini et al. (2007b), SSGs were played with no goalkeepers, small goals, and free touches. In order to increase the training load in SSGs, the pitch area moved from large (1,728 m2) to small (480 m2), and the number of players was also reduced each week altering, therefore, the difficulty of the technical-tactical task. The training protocol of week 1 consisted of four sets of 4 min with 3 min of passive recovery between sets. In week 2, the number of sets was increased from 4 to 5. And in week 3, the time of work was extended from 4 to 5 min. The organization, modulations, and contents of the 3-week training period are presented in Table 2.

TABLE 2
www.frontiersin.org

Table 2. Small-sided game-specific soccer training program distribution over the 3-week training.

PT

Participants had to perform five different kinds of exercises over the 3-week PT, namely, vertical jumps, squat jumps, countermovement jumps, horizontal squats on a sled (with or without the help of elastic bands), and drop jumps (Table 3). During the first three sessions, participants did three sets of five repetitions by exercise and went up to four sets of five repetitions in the last three sessions. Due to the high impacts generated during the drop jumps, the total load was lowered to three sets of three repetitions in sessions 1–3 and four sets of three repetitions in sessions 4–6 compared with the other exercises (Table 3). Vertical jumps and squat jumps were used to enhance the concentric muscle function when countermovement jumps and drop jumps were introduced to improve the SSC muscle function. The inclusion of a Swiss-ball in squat jumps and a sledge (assisted or not with an elastic band) in the horizontal squat during sessions 3–6 were proposed to exacerbate the velocity of each repetition by reducing the body weight (Samozino et al., 2018).

TABLE 3
www.frontiersin.org

Table 3. Plyometric training program distribution over the 3-week training.

SIT

Following the distribution of the RSA test, the soccer pitch was divided by placing markers every 5 m and up to 30 m (Figure 1A). Each training session consisted of repeated 30 s of “all-out” shuttle run efforts interspersed by a period of 4-min of rest (Table 4). Regarding the RSA test, the instructions were to travel the greatest distance possible in 30 s making trips of 5, 10, 15 m, etc. SIT volume progressively increased from 4 to 7 bouts over the first five sessions and was reduced to four bouts in the last session (Table 4). Participants received strong verbal encouragement to continue running maximally without pacing throughout the 30 s bouts. Up to six players performed SIT simultaneously and, during the 4-min recovery period, they walked back to the start line where they waited for the following repetitions.

TABLE 4
www.frontiersin.org

Table 4. Sprint interval training distribution over 3 weeks.

Statistical Analysis

Data are presented as mean values ± SD in the text, tables, and figures and were analyzed using the STATISTICA 2007 version 8.0. (StatSoft, Inc., Tulsa, OK, USA) software. The normality assumption was verified using Shapiro-Wilk's test. In this study, the performance-related variables studied were analyzed using a two-factor mixed model design ANOVA to test the effect of the training along the time and the effect of each type of intervention on the participants (time × condition). Neuman-Keuls post-hoc was performed to determine between means differences if the ANOVA revealed a significant main effect or an interaction. The significance level was set at p < 0.05. Finally, the effect size was calculated using the partial eta square (η2p). Criteria for evaluating the effect size were 0.01 = small, 0.06 = medium, and 0.14 = large (Cohen, 1988).

Results

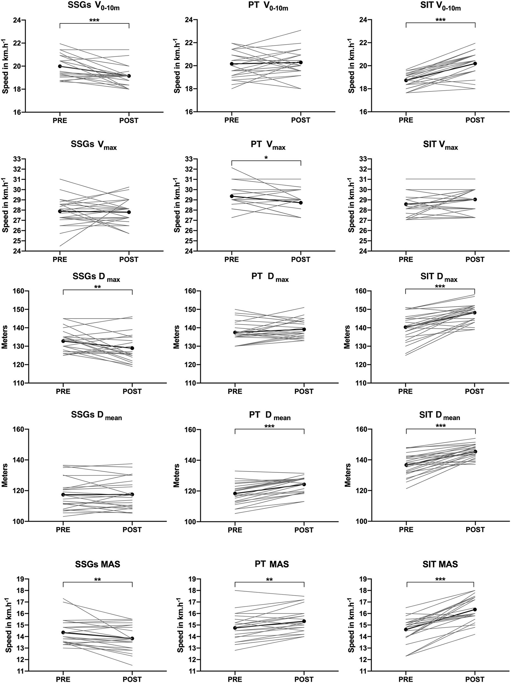
All individual mean PRE-POST changes are reported in Figure 2. All individual raw data, descriptive statistics, and effects are presented in Table 5.

FIGURE 2
www.frontiersin.org

Figure 2. Individuals and mean PRE-POST variations in all parameters. SSGs, small-sided games; PT, plyometric training; SIT, sprint interval training. V0−10m: maximal speed from 0 to 10 m; Vmax: maximal sprint speed reached during the 30-m trip; Pmax: peak power output; Pmean: mean power output; MAS: maximal aerobic speed. *p < 0.05; **p < 0.01; ***p < 0.001.

TABLE 5
www.frontiersin.org

Table 5. Raw data, descriptive statistics, and effects by groups.

V0–10 m

There was a significant loss of speed for the SSG group (−4 ± 5%; p < 0.001) when a statistical improvement was found in the SIT group (8 ± 5%; p < 0.001). No statistical changes were seen in the PT group (1 ± 6%; p = 0.835). A time × condition interaction was observed (p < 0.001; η2p = 0.47) for V0−10m where the SSG group was significantly lower from PT and SIT groups in POST (p < 0.001).

Vmax

Only slight and non-significant changes were obtained in Vmax for SSG and SIT groups. In contrast, Vmax significantly decreased in the PT group (−2 ± 4%; p < 0.05). Vmax showed a time × condition interaction (p < 0.05; η2p = 0.12) where the SSG group was significantly different from PT and SIT groups in POST (p < 0.05 and p < 0.01, respectively).

Dmax

No statistical differences were observed in Pmax for the PT group. There was a significant decrease for the SSG group (−3 ± 6%; p < 0.01), while the SIT group showed significant improvement with 6% ± 5% (p < 0.001). An interaction time × condition was observed (p < 0.001; η2p = 0.38) for Pmax where SSGs group was significantly different from PT and SIT groups in POST (p < 0.001).

Dmean

There was no significant change for the SSG group (0 ± 5%; p = 0.89). In contrast, both PT and SIT groups showed statistical improvements (5 ± 4 and 7 ± 5%, respectively; p < 0.001). In Pmean, a time × condition interaction was observed (p < 0.001; η2p = 0.34) where the SSG group was significantly lower from PT (p < 0.01) and SIT (p < 0.001) groups in POST. In addition, PT and SIT groups were also different in POST (p < 0.001).

MAS

A significant increase in MAS was observed for both PT (7 ± 6%; p < 0.01) and SIT (12 ± 8%; p < 0.001) groups when SSGs registered a significant decrease (−3 ± 6%; p < 0.001). An interaction time × condition was observed (p < 0.001; η2p = 0.52) in MAS where (i) the SSG group was significantly different from PT and SIT groups in POST (p < 0.001) and (ii) PT and SIT groups were also different in POST (p < 0.001).

Discussion

This study demonstrated that PT and SIT improved athletic performance when SSGs did not. More specifically, SIT significantly improved athletic performance (e.g., V0−10m, Dmax, Dmean, and MAS) while PT did not reach such a high impact, and SSGs showed no statistical increases. In fact and contrary to the literature (Impellizzeri et al., 2006; Dellal et al., 2012a; Kunz et al., 2019), the statistical changes in the SSG group were only losses in V0−10m (−4%), Pmax (−3%), and MAS (−3%).

Speed

Our results are in line with Bujalance-Moreno and Garc-a-Pinillos (2017), Jastrzebski et al. (2014), and Hill-Haas et al. (2009) as SIT and SSG training did not affect Vmax but in contrast with Chaouachi et al. (2014) who reported a significant increase in Vmax in both sprints and SSG groups. On shorter distance (i.e., V0−10m), Chaouachi et al. (2014) also obtained significant improvements after the sprint and SSG training when we found an increase in the SIT group (8%, p < 0.001) and a decrease in the SSG group (−4%, p < 0.001) where both groups were significantly different in POST. As Bujalance-Moreno et al. (2019) indicated that soccer players could perform up to 250 brief explosive actions during a game, it seems more important to focus on an increase of V0−10m rather than Vmax which would be reached very occasionally during the game. Thus, the results obtained in the PT group (loss in Vmax with no changes in V0−10m) are in accordance with the SSG group in which Vmax did not change but V0−10m decreased. Additionally, SIT seems to offer the best compromise with no change in Vmax in POST and a significant increase of V0−10m.

RSA

Improvements in sprint performance (see results) and RSA have been identified as determinant factors of team sports (Reilly et al., 2009; Buchheit et al., 2010; Bujalance-Moreno et al., 2019). Rampinini et al. (2009) even suggested that the ability to complete repeated sprints could be one of the best physical factors differentiating the playing level in soccer players. Despite increases that were reported in previous studies after 2–6 weeks of SSG training (Owen et al., 2012; Bujalance-Moreno and Garc-a-Pinillos, 2017; Rodríguez-Fernández et al., 2017), in this study, and as for speed, SSGs had no effect on Dmean and negatively affected Dmax (−3%). It is important to notice that those results were significantly different from PT and SIT groups where PT presented no change in Dmax (1%) and statistical improvements in Dmean (5%). Once again, SIT exhibited the highest increase in both Dmax (6%) and Dmean (7%). Nonetheless, SIT enhancements were in the lower part of the bulk of the literature on 2–4 week SIT which experienced a 5–17% improvement in Dmax and a 4–17% in Dmean (Burgomaster et al., 2005, 2006; Hazell et al., 2010; Whyte et al., 2010; Bayati et al., 2011; Willoughby et al., 2016). Besides the previously discussed differences in subject training experience, it is important to notice that this study performed tests and training on the field, which do not allow for the same level of accuracy as direct measures of power on a cycle ergometer.

MAS

Maximal aerobic speed in the SIT group improved significantly by 12% following the 3-week intervention. The PT group also progressed (7%, p < 0.01) but slightly less than the SIT group. Compared with the literature that utilized a 2–4-week SIT intervention period (−2 to 9.5% Burgomaster et al., 2006; Iaia et al., 2009; Hazell et al., 2010; Whyte et al., 2010; Bayati et al., 2011; Astorino et al., 2012; Denham et al., 2015; Willoughby et al., 2016), the results of this study are higher. Furthermore, these studies were conducted in untrained or active subjects, and our results are then even more valuable since our participants were already trained soccer players. Potentially, this type of training could have enhanced neuromuscular capacity in soccer players as supported by the improvements obtained in Dmax and Dmean (see results). It can be assumed that the PT group which also increased both MAS and Dmean may share part of the adaptive mechanisms. Those may result in a better running economy and therefore higher performances (Helgerud et al., 2001; Rowan et al., 2012). Interestingly, the SSG group presented a significant decrease in MAS (−3%, p < 0.001). As players were not wearing any GPS system associated with a heartbeat monitor, the internal training load could not be quantified. Nevertheless, it can be speculated that the technical-tactical level of the players was not good enough to deal with the SSGs proposed by coaches (Dellal et al., 2011, 2012b). Consequently, as proposed by Castagna et al. (2004), players were not able to maintain the required metabolic strain even if the coaches chose SSGs involving possession in which heart rate was supposed to be higher (Castellano et al., 2013). Moreover, contrary to Rampinini et al. (2007b), the 3-min recovery between sets during SSG sessions was passive. This may also have participated to lower much of the metabolic strain. In line with Bujalance-Moreno et al. (2019), another hypothesis is that contrary to SIT and PT, two sessions of SSGs per week over 3 weeks were not enough to develop any change in players or as in our case lead to a significant decrease.

However, players require well-developed aerobic endurance to maintain intense levels of activity and to limit fatigue at the same time (Köklö et al., 2015). Furthermore, improvement in MAS allows for greater involvement with the ball, total distance covered, and an increase in the number of sprints performed during match play (Radziminski et al., 2013). Developing MAS still is one of the main objectives in soccer, and this study highlighted SIT as a very adequate method.

Limitations

As this study was intentionally field-related, direct measures of VO2max and heart rate were not performed so that the internal load could not be assessed. This is a potential limitation when trying to explain some of the results found notably in the SSG group.

Another point is that even if PT and SIT enhanced the performance in speed, RSA, and MAS, it can only be speculated that participants of PT and SIT groups will be more efficient during a real soccer game. Objectively, it would be hard to determine (i) if those 3–12% improvements depending on the parameter and the training group (PT or SIT) will have a real impact on a game situation, and (ii) what would be the magnitude of real competitive effects due to those improvements.

It could also be speculated that with a longer training time (i.e., 4–6 weeks) and a higher frequency (three times per week), PT would give results that would be closer to SIT.

Moreover, since the SIT group performed training sessions that were close to the RSA testing procedure, the number of repetitions achieved during SIT sessions might have positively influenced the performance in Dmax and Dmean.

Finally, the results reported, in this study, can also be a reflection of faster adaptations in one training compared with the others as it is now well-admitted that adaptations induced by the different training methods require a different amount of time to appear. Future studies should consider this parameter and program different post-testing sessions (i.e., 1 and 2 weeks after the first post-tests).

Practical Applications

Overall, all performance parameters presented a time × condition interaction where the SSG group was significantly different from PT and SIT groups in POST. More specifically, those interactions expressed significant opposite evolutions where SIT and PT maximized performance parameters where SSGs tended to diminish them. Moreover, they also suggest that SIT seems to be more efficient than PT when attempting to improve Dmean and MAS.

As a result and contrary to the literature, SSGs, even though they could have some positive aspects on physical performance, should not be considered as a training method but mainly as a way to improve technical-tactical aspects. In this precise case, it is possible that the principle of specificity as defined by Reilly et al. (2009) would not allow reaching maximum benefits. Effectively, if SSGs are very similar to the conditions of a soccer match, they do not always simulate the high-intensity efforts and repeated sprints that the full game demands (Casamichana et al., 2012).

Conclusion

As modern coaches must constantly deal with an increasingly congested fixture period of competitions which subsequently reduces the preparation time available, the results of this study demonstrate that SIT could be a more efficient alternative than SSGs and PT when aiming to enhance both endurance and anaerobic performances in preseason. In addition, as the ability to complete repeated sprints could be one of the best physical factors differentiating the playing level in soccer players, SIT could be used as an efficient training and as a testing method indifferently.

Data Availability Statement

The original contributions presented in the study are included in the article/supplementary material, further inquiries can be directed to the corresponding author/s.

Ethics Statement

The studies involving human participants were reviewed and approved by French Ethics Committee. The patients/participants provided their written informed consent to participate in this study.

Author Contributions

JK contributed to the conception, design of this study, and drafted the manuscript. FLR collected the data. JK, JLV, FLR, and CF contributed to the analysis and interpretation of the data. JLV, FLR, and CF critically revised the manuscript. All authors gave final approval and agreed to be accountable for all aspects of work ensuring integrity and accuracy.

Conflict of Interest

The authors declare that the research was conducted in the absence of any commercial or financial relationships that could be construed as a potential conflict of interest.

Publisher's Note

All claims expressed in this article are solely those of the authors and do not necessarily represent those of their affiliated organizations, or those of the publisher, the editors and the reviewers. Any product that may be evaluated in this article, or claim that may be made by its manufacturer, is not guaranteed or endorsed by the publisher.

Acknowledgments

The authors would like to thank the department of clinical and exercise physiology (Myology and Sports Medicine Unit) of the University Hospital of Saint-Etienne for logisitcal support.

References

Astorino, T. A., Allen, R. P., Roberson, D. W., and Jurancich, M. (2012). Effect of high-intensity interval training on cardiovascular function, VO2max, and muscular force. J. Strength Cond. Res. 26, 138–145. doi: 10.1519/JSC.0b013e318218dd77

PubMed Abstract | CrossRef Full Text | Google Scholar

Aziz, A. R., Mukherjee, S., Chia, M. Y., and Teh, K. C. (2007). Relationship between measured maximal oxygen uptake and aerobic endurance performance with running repeated sprint ability in young elite soccer players. J. Sports Med. Phys. Fitness 47, 401–407.

PubMed Abstract | Google Scholar

Bauer, P., Uebellacker, F., Mitter, B., Aigner, A. J., Hasenoehrl, T., Ristl, R., et al. (2019). Combining higher-load and lower-load resistance training exercises: a systematic review and meta-analysis of findings from complex training studies. J. Sci. Med. Sport 22, 838–851. doi: 10.1016/j.jsams.2019.01.006

PubMed Abstract | CrossRef Full Text | Google Scholar

Bayati, M., Farzad, B., Gharakhanlou, R., and Agha-Alinejad, H. A. (2011). Practical model of low-volume high-intensity interval training induces performance and metabolic adaptations that resemble 'allout' sprint interval training. J. Sports Sci. Med. 10, 571–576.

PubMed Abstract | Google Scholar

Bishop, D., and Edge, J. (2006). Determinants of repeated-sprint ability in females matched for single-sprint performance. Eur. J. Appl. Physiol. 97, 373–379. doi: 10.1007/s00421-006-0182-0

PubMed Abstract | CrossRef Full Text | Google Scholar

Bloomfield, J., Polman, R., and O'Donoghue, P. (2007). Physical demands of different positions in FA premier League soccer. J. Sports Sci. Med. 6, 63–70.

PubMed Abstract | Google Scholar

Brown, P. I., Hughes, M. G., and Tong, R. J. (2007). Relationship between VO2max and repeated sprint ability using non-motorised treadmill ergometry. J. Sports Med. Phys. Fitness 47, 186–190.

Google Scholar

Buchheit, M., Mendez-Villanueva, A., Delhomel, G., Brughelli, M., and Ahmaidi, S. (2010). Improving repeated sprint ability in young elite soccer players: repeated shuttle sprints vs. explosive strength training. J. Strength Cond. Res. 24, 2715–2722. doi: 10.1519/JSC.0b013e3181bf0223

PubMed Abstract | CrossRef Full Text | Google Scholar

Bujalance-Moreno, P., and Garc-a-Pinillos, F. Latorre-Romin, P. A. (2017). Effects of a small-sided game-based training programme on repeated sprint and change of direction abilities in recreationally trained football players. J. Sports Med. Phys. Fitness 58, 1021–1028. doi: 10.23736/S0022-4707.17.07044-X

PubMed Abstract | CrossRef Full Text | Google Scholar

Bujalance-Moreno, P., Latorre-Román, P. Á., and García-Pinillos, F. (2019). A systematic review on small-sided games in football players: Acute and chronic adaptations. J. Sports Sci. 37, 921–949. doi: 10.1080/02640414.2018.1535821

PubMed Abstract | CrossRef Full Text | Google Scholar

Burgomaster, K. A., Heigenhauser, G. J., and Gibala, M. J. (2006). Effect of short-term sprint interval training on human skeletal muscle carbohydrate metabolism during exercise and time-trial performance. J. Appl. Physiol. 100, 2041–2047. doi: 10.1152/japplphysiol.01220.2005

PubMed Abstract | CrossRef Full Text | Google Scholar

Burgomaster, K. A., Howarth, K. R., Phillips, S. M., Rakobowchuk, M., Macdonald, M. J., McGee, S. L., et al. (2007). Similar metabolic adaptations during exercise after low volume sprint interval and traditional endurance training in humans. J. Physiol. 586, 151–160. doi: 10.1113/jphysiol.2007.142109

PubMed Abstract | CrossRef Full Text | Google Scholar

Burgomaster, K. A., Hughes, S. C., Heigenhauser, G. J., Bradwell, S. N., and Gibala, M. J. (2005). Six sessions of sprint interval training increases muscle oxidative potential and cycle endurance capacity in humans. J. Appl. Physiol. 9, 1985–1990. doi: 10.1152/japplphysiol.01095.2004

PubMed Abstract | CrossRef Full Text | Google Scholar

Casamichana, D., Castellano, J., and Castagna, C. (2012). Comparing the physical demands of friendly matches and small-sided games in semi- professional soccer players. J. Strength Cond. Res. 26, 837–843. doi: 10.1519/JSC.0b013e31822a61cf

PubMed Abstract | CrossRef Full Text | Google Scholar

Castagna, C., Belardinelli, R., and Abt, G. (2004). The oxygen uptake and heart rate response to training with a ball in youth soccer players. J. Sports Sci. 22, 532–533.

Castellano, J., Casamichana, D., and Dellal, A. (2013). Influence of game format and number of players on heart rate responses and physical demands in small-sided soccer games. J. Strength Cond. Res. 27, 1295–1303. doi: 10.1519/JSC.0b013e318267a5d1

PubMed Abstract | CrossRef Full Text | Google Scholar

Chaouachi, A., Chtara, M., Hammami, R., and Chtara, H. (2014). Multidirectional sprints and small-sided games training effect on agility and change of direction abilities in youth soccer. J. Strength Cond. Res. 28, 3121–3127. doi: 10.1519/JSC.0000000000000505

PubMed Abstract | CrossRef Full Text | Google Scholar

Clemente, F., Couceiro, M. S., Martins, F. M. L., and Mendes, R. U. I. (2012). The usefulness of small-sided games on soccer training. J. Phys. Educ. Sport 12, 93–102.

Google Scholar

Clemente, F., and Sarmento, H. (2020). The effects of small-sided soccer games on technical actions and skills: a systematic review. Hum. Mov. 21, 100–119. doi: 10.5114/hm.2020.93014

CrossRef Full Text | Google Scholar

Clemente, F. M., Afonso, J., Castillo, D., Arcos, A. L., Silva, A. F., and Sarmento, H. (2020). The effects of small-sided soccer games on tactical behavior and collective dynamics: a systematic review. Chaos Solitons Fractals 134:109710. doi: 10.1016/j.chaos.2020.109710

CrossRef Full Text | Google Scholar

Cohen, J. (1988). Statistical Power Analysis for the Behavioral Sciences (2nd Ed). Hillsdale, NJ: Lawrence Erlbaum Associates.

PubMed Abstract | Google Scholar

Cometti, G., Maffiuletti, N. A., Pousson, M., Chatard, J. C., and Maffulli, N. (2001). Isokinetic strength and anaerobic power of elite, subelite and amateur French soccer players. Int. J. Sports Med. 22, 45–51. doi: 10.1055/s-2001-11331

PubMed Abstract | CrossRef Full Text | Google Scholar

Cronin, J. B., and Hansen, K. T. (2005). Strength and power predictors of sports speed. J. Strength Cond. Res. 19, 349–357. doi: 10.1519/00124278-200505000-00019

PubMed Abstract | CrossRef Full Text | Google Scholar

De Hoyo, M., Gonzalo-Skok, O., Sañudo, B., Carrascal, C., Plaza-Armas, J. R., Camacho-Candil, F., et al. (2016). Comparative effects of in-season full-back squat, resisted sprint training, and plyometric training on explosive performance in U-19 elite soccer players. J. Strength Cond. Res. 30, 368–377. doi: 10.1519/JSC.0000000000001094

PubMed Abstract | CrossRef Full Text | Google Scholar

Dellal, A., Hill-Haas, S., Lago-Penas, C., and Chamari, K. (2011). Small-sided games in soccer: Amateur vs. professional players' physiological responses, physical, and technical activities. J. Strength Cond. Res. 25, 2371–2381. doi: 10.1519/JSC.0b013e3181fb4296

PubMed Abstract | CrossRef Full Text | Google Scholar

Dellal, A., Owen, A., Wong, D., Krustrup, P., Van Exsel, M., and Mallo, J. (2012b). Technical and physical demands of small vs. large sided games in relation to playing position in elite soccer. Hum. Mov. Sci. 31, 957–969. doi: 10.1016/j.humov.2011.08.013

PubMed Abstract | CrossRef Full Text | Google Scholar

Dellal, A., Varliette, C., Owen, A., Chirico, E. N., and Pialoux, V. (2012a). Small-sided games versus interval training in amateur soccer players: Effects on the aerobic capacity and the ability to perform intermittent exercises with changes of direction. J. Strength Cond. Res. 26, 2712–2720. doi: 10.1519/JSC.0b013e31824294c4

PubMed Abstract | CrossRef Full Text | Google Scholar

Denham, J., Feros, S. A., and O'Brien, B. J. (2015). Four weeks of sprint interval training improves 5-km run performance. J. Strength Cond. Res. 29, 2137–2141. doi: 10.1519/JSC.0000000000000862

PubMed Abstract | CrossRef Full Text | Google Scholar

Drust, B., Reilly, T., and Cable, N. T. (2000). Physiological responses to laboratory-based soccer- specific intermittent and continuous exercise. J. Sports Sci. 18:885–892. doi: 10.1080/026404100750017814

PubMed Abstract | CrossRef Full Text | Google Scholar

Fatouros, I. G., Jamurtas, A. Z., Leontsini, D., Taxildaris, K., Aggelousis, N., Kostopoulos, N., et al. (2000). Evaluation of plyometric exercise training, weight training, and their combination on vertical jumping performance and leg strength. J. Strength Cond. Res. 4, 470–476. doi: 10.1519/00124278-200011000-00016

CrossRef Full Text | Google Scholar

Faude, O., Koch, T., and Meyer, T. (2012). Straight sprinting is the most frequent action in goal situations in professional football. J. Sports Sci. 30, 625–631. doi: 10.1080/02640414.2012.665940

PubMed Abstract | CrossRef Full Text | Google Scholar

Glaister, M. (2005). Multiple sprint work: physiological responses, mechanisms of fatigue and the influence of aerobic fitness. Sports Med. 35, 757–777 doi: 10.2165/00007256-200535090-00003

PubMed Abstract | CrossRef Full Text | Google Scholar

Hazell, T. J., MacPherson, R. K., Gravelle, B. R., and Lemon, P. R. (2010). 10 or 30-s sprint interval training bouts enhance both aerobic and anaerobic performance. Eur. J. Appl. Physiol. 110, 153–160. doi: 10.1007/s00421-010-1474-y

PubMed Abstract | CrossRef Full Text | Google Scholar

Helgerud, J., Engen, L. C., Wisløff, U., and Hoff, J. (2001). Aerobic endurance training improves soccer performance. Med. Sci. Sports Exerc. 33, 1925–1931. doi: 10.1097/00005768-200111000-00019

PubMed Abstract | CrossRef Full Text | Google Scholar

Hill-Haas, S. V., Coutts, A. J., Rowsell, G. J., and Dawson, B. T. (2009). Generic versus small-sided game training in soccer. Int. J. Sports Med. 30, 636–642. doi: 10.1055/s-0029-1220730

PubMed Abstract | CrossRef Full Text | Google Scholar

Hill-Haas, S. V., Dawson, B., Impellizzeri, F. M., and Coutts, A. J. (2011). Physiology of small-sided games training in football: a systematic review. Sports Med. 41, 199–220. doi: 10.2165/11539740-000000000-00000

PubMed Abstract | CrossRef Full Text | Google Scholar

Hoff, J., and Helgerud, J. (2004). Endurance and strength training for soccer players. Sports Med. 34, 165–180. doi: 10.2165/00007256-200434030-00003

PubMed Abstract | CrossRef Full Text | Google Scholar

Iaia, F. M., Hellsten, Y., Nielsen, J. J., Fernstro, M., Sahlin, K., and Bangsbo, J. (2009). Four weeks of speed endurance training reduces energy expenditure during exercise and maintains muscle oxidative capacity despite a reduction in training volume. J Appl Physiol 106, 73–80. doi: 10.1152/japplphysiol.90676.2008

PubMed Abstract | CrossRef Full Text | Google Scholar

Impellizzeri, F., Marcora, S., Castagna, C., Reilly, T., Sassi, A., Iaia, F., et al. (2006). Physiological and performance effects of generic versus specific aerobic training in soccer players. Int. J. Sports Med. 27, 483–492. doi: 10.1055/s-2005-865839

PubMed Abstract | CrossRef Full Text | Google Scholar

Issurin, V. (2008). Block periodization versus traditional training theory: a review. J. Sports Med. Phys. Fitness 48, 65–75.

PubMed Abstract | Google Scholar

Issurin, V. B. (2010). New horizons for the methodology and physiology of training periodization. Sports Med. 40, 189–206. doi: 10.2165/11319770-000000000-00000

PubMed Abstract | CrossRef Full Text | Google Scholar

Jastrzebski, Z., Barnat, W., Dargiewicz, R., Jaskulska, E., Szwarc, A., and Radziminski, L. (2014). Effect of in-season generic and soccer-specific high-intensity interval training in young soccer players. Int. J. Sports Sci. Coach. 9, 1169–1180. doi: 10.1260/1747-9541.9.5.1169

CrossRef Full Text | Google Scholar

Katis, A., and Kellis, E. (2009). Effects of small-sided games on physical conditioning and performance in young soccer players. J. Sports Sci. Med. 8, 374–380.

PubMed Abstract | Google Scholar

Köklö, Y., Sert, Ö., Alemdaroglu, U., and Arslan, Y. (2015). Comparison of the physiological responses and time-motion characteristic of young soccer players in small-sided games, The effect of goalkeeper. J. Strength Cond. Res. 29, 964–971. doi: 10.1519/JSC.0b013e3182a744a1

PubMed Abstract | CrossRef Full Text | Google Scholar

Koral, J., Oranchuk, D. J., Herrera, R., and Millet, G. Y. (2018). Six Sessions of Sprint Interval Training Improves Running Performance in Trained Athletes. J. Strength Cond. Res. 32, 617–623. doi: 10.1519/JSC.0000000000002286

PubMed Abstract | CrossRef Full Text | Google Scholar

Kunz, P., Engel, F. A., Holmberg, H. C., and Sperlich, B. (2019). A meta-comparison of the effects of high-intensity interval training to those of small-sided games and other training protocols on parameters related to the physiology and performance of youth soccer players. Sports Med. Open 5:7. doi: 10.1186/s40798-019-0180-5

PubMed Abstract | CrossRef Full Text | Google Scholar

Lacome, M., Simpson, B. M., Cholley, Y., Lambert, P., and Buchheit, M. (2017). Small-sided games in elite soccer: does one size fits all? Int. J. Sports Physiol. Perform. 13, 568–576. doi: 10.1123/ijspp.2017-0214

PubMed Abstract | CrossRef Full Text | Google Scholar

Léger, L., and Boucher, R. (1980). An indirect continuous running multistage field test: the Université de Montréal track test. Can. J. Appl. Sport Sci. 5, 77–84.

PubMed Abstract

Malisoux, L., Francaux, M., Nielens, H., and Theisen, D. (2005). Stretch-shortening cycle exercises: an effective training paradigm to enhance power output of human single muscle fibers. J. Appl. Physiol. 100, 771–779. doi: 10.1152/japplphysiol.01027.2005

PubMed Abstract | CrossRef Full Text | Google Scholar

Mallo, J., and Navarro, E. (2008). Physical load imposed on soccer players during small-sided training games. J. Sports Med. Phys. Fitness. 48, 166–171.

PubMed Abstract | Google Scholar

Markovic, G., Jukic, I., Milanovic, D., and Metikos, D. (2007). Effects of sprint and plyometric training on muscle function and athletic performance. J. Strength Cond. Res. 21, 543–549. doi: 10.1519/00124278-200705000-00044

PubMed Abstract | CrossRef Full Text | Google Scholar

Milanović, Z., Sporiš, G., and Weston, M. (2015). Effectiveness of high-intensity interval training (HIT) and continuous endurance training for VO2max improvements: a systematic review and meta-analysis of controlled trials. Sports Med. 45, 1469–1481. doi: 10.1007/s40279-015-0365-0

PubMed Abstract | CrossRef Full Text | Google Scholar

Mohr, M., Krustrup, P., and Bangsbo, J. (2003). Match performance of high-standard soccer players with special reference to development of fatigue. J. Sports Sci. 21, 519–528. doi: 10.1080/0264041031000071182

PubMed Abstract | CrossRef Full Text | Google Scholar

Moran, J., Blagrove, R. C., Drury, B., Fernandes, J. F. T., Paxton, K., Chaabene, H., et al. (2019). Effects of small-sided games vs. conventional endurance training on endurance performance in male youth soccer players: a meta-analytical comparison. Sports Med. 49, 731–742. doi: 10.1007/s40279-019-01086-w

PubMed Abstract | CrossRef Full Text | Google Scholar

Negra, Y., Chaabene, H., Sammoud, S., Prieske, O., Moran, J., Ramirez-Campillo, R., et al. (2020). The increased effectiveness of loaded versus unloaded plyometric jump training in improving muscle power, speed, change of direction, and kicking-distance performance in prepubertal male soccer players. Int. J. Sports Physiol. Perform. 15, 189–195. doi: 10.1123/ijspp.2018-0866

PubMed Abstract | CrossRef Full Text | Google Scholar

Owen, A. L., Newton, M., Shovlin, A., and Malone, S. (2020). The use of small-sided games as an aerobic fitness assessment supplement within elite level professional soccer. J. Hum. Kinet. 71, 243–253. doi: 10.2478/hukin-2019-0086

PubMed Abstract | CrossRef Full Text | Google Scholar

Owen, A. L., Wong del, P., Paul, D., and Dellal, A. (2012). Effects of a periodized small-sided game training intervention on physical performance in elite professional soccer. J. Strength Cond. Res. 26, 2748–2754. doi: 10.1519/JSC.0b013e318242d2d1

PubMed Abstract | CrossRef Full Text | Google Scholar

Parra, J., Cadefau, J., Rodas, G., Amigó, N., and Cussó, R. (2000). The distribution of rest periods affects performance and adaptations of energy metabolism induced by high-intensity training in human muscle Acta Physiol Scand 169, 157–165. doi: 10.1046/j.1365-201x.2000.00730.x

PubMed Abstract | CrossRef Full Text | Google Scholar

Pavillon, T., Tourny, C., Ben Aabderrahman, A., Salhi, I., Zouita, S., Rouissi, M., et al. (2021). Sprint and jump performances in highly trained young soccer players of different chronological age: Effects of linear vs. change-of-direction sprint training. J. Exerc. Sci. Fit. 19, 81–90 doi: 10.1016/j.jesf.2020.10.003

PubMed Abstract | CrossRef Full Text | Google Scholar

Radziminski, L., Rompa, P., Barnat, W., Dargiewicz, R., and Jastrzebski, Z. (2013). A comparison of the physiological and technical effects of high-intensity running and small-sided games in young soccer players. Int. J. Sports Sci. Coach. 8, 455–465. doi: 10.1260/1747-9541.8.3.455

PubMed Abstract | CrossRef Full Text | Google Scholar

Ramirez-Campillo, R., Sanchez-Sanchez, J., Romero-Moraleda, B., Yanci, J., García-Hermoso, A., and Manuel-Clemente, F. (2020). Effects of plyometric jump training in female soccer player's vertical jump height: a systematic review with meta-analysis. J. Sports Sci. 38, 1475–1487. doi: 10.1080/02640414.2020.1745503

PubMed Abstract | CrossRef Full Text | Google Scholar

Rampinini, E., Bosio, A., Ferraresi, I., Petruolo, A., Morelli, A., and Sassi, A. (2011). Match-related fatigue in soccer players. Med. Sci. Sports Exerc. 43, 2161–2170. doi: 10.1249/MSS.0b013e31821e9c5c

PubMed Abstract | CrossRef Full Text | Google Scholar

Rampinini, E., Coutts, A., Castagna, C., Sassi, R., and Impellizzeri, F. (2007a). Variation in top level soccer match performance. Int. J. Sports Med. 28, 1018–1024. doi: 10.1055/s-2007-965158

PubMed Abstract | CrossRef Full Text | Google Scholar

Rampinini, E., Impellizzeri, F. M., Castagna, C., Abt, G., Chamari, K., Sassi, A., et al. (2007b). Factors influencing physiological responses to small-sided soccer games. J. Sports Sci. 25, 659–666. doi: 10.1080/02640410600811858

PubMed Abstract | CrossRef Full Text | Google Scholar

Rampinini, E., Sassi, A., Morelli, A., Mazzoni, S., Fanchini, M., and Coutts, A. J. (2009). Repeated-sprint ability in professional and amateur soccer players. Appl. Physiol. Nutr. Metab. 34, 1048–1054. doi: 10.1139/H09-111

PubMed Abstract | CrossRef Full Text | Google Scholar

Reilly, T., Morris, T., and Whyte, G. (2009). The specificity of training prescription and physiological assessment: a review. J. Sports Sci. 27, 575–589. doi: 10.1080/02640410902729741

PubMed Abstract | CrossRef Full Text | Google Scholar

Rodas, G., Ventura, J. L., Cadefau, J. A., Cussó, R., and Parra, J. (2000). A short training programme for the rapid improvement of both aerobic and anaerobic metabolism. Eur. J. Appl. Physiol. 82, 480–486. doi: 10.1007/s004210000223

PubMed Abstract | CrossRef Full Text | Google Scholar

Rodríguez-Fernández, A., Sánchez, J., Rodríguez-Marroyo, J., Casamichana, D., and Villa, J. (2017). Effects of 5-week pre-season small-sided-game- based training on repeat sprint ability. J. Sports Med. Phys. Fitness 57, 529–536. doi: 10.23736/S0022-4707.16.06263-0

PubMed Abstract | CrossRef Full Text | Google Scholar

Romero-Franco, N., Jiménez-Reyes, P., Castaño-Zambudio, A., Capelo-Ramírez, F., Rodríguez-Juan, J. J., González-Hernández, J., et al. (2017). Sprint performance and mechanical outputs computed with an iPhone app: Comparison with existing reference methods. Eur. J. Sport Sci. 17, 386–392. doi: 10.1080/17461391.2016.1249031

PubMed Abstract | CrossRef Full Text | Google Scholar

Ross, A., and Leveritt, M. (2001). Long-term metabolic and skeletal muscle adaptations to short-sprint training: implications for sprint training and tapering. Sports Med. 31, 1063–1082. doi: 10.2165/00007256-200131150-00003

PubMed Abstract | CrossRef Full Text | Google Scholar

Rowan, A. E., Kueffner, T. E., and Stavrianeas, S. (2012). Short duration high-intensity interval training improves aerobic conditioning of female college soccer players. Int. J. Ex. Sci. 5, 232–238.

Google Scholar

Samozino, P., Rivière, J. R., Rossi, J., Morin, J. B., and Jimenez-Reyes, P. (2018). How fast is a horizontal squat jump? Int. J. Sports Physiol. Perform. 13, 910–916. doi: 10.1123/ijspp.2017-0499

PubMed Abstract | CrossRef Full Text | Google Scholar

Seitz, L. B., Reyes, A., Tran, T. T., Saez de Villarreal, E., and Haff, G. G. (2014). Increases in lower-body strength transfer positively to sprint performance: a systematic review with meta-analysis. Sports Med. 44, 1693–1702. doi: 10.1007/s40279-014-0227-1

PubMed Abstract | CrossRef Full Text | Google Scholar

Slimani, M., Chamari, K., Miarka, B., Del Vecchio, F. B., and Chéour, F. (2016). Effects of plyometric training on physical fitness in team sport athletes: a systematic review. J Hum Kinet. 53, 231–247. doi: 10.1515/hukin-2016-0026

PubMed Abstract | CrossRef Full Text | Google Scholar

Stevens, T. G., De Ruiter, C. J., Beek, P. J., and Savelsbergh, G. J. (2016). Validity and reliability of 6-a-side small-sided game locomotor performance in assessing physical fitness in football players. J. Sports Sci. 34, 527–534. doi: 10.1080/02640414.2015.1116709

PubMed Abstract | CrossRef Full Text | Google Scholar

Strøyer, J., Hansen, L., and Klausen, K. (2004). Physiological profile and activity pattern of young soccer players during match play. Med. Sci. Sports Exerc. 36, 168–174. doi: 10.1249/01.MSS.0000106187.05259.96

PubMed Abstract | CrossRef Full Text | Google Scholar

Strudwick, A., Reilly, T., and Doran, D. (2002). Anthropometric and fitness profiles of elite players in two football codes. J. Sports Med. Phys. Fit. 42, 239–242. doi: 10.4324/9780203474235-11

PubMed Abstract | CrossRef Full Text | Google Scholar

Styles, W. J., Matthews, M. J., and Comfort, P. (2016). Effects of strength training on squat and sprint performance in soccer players. J. Strength Cond. Res. 30:1534–9. doi: 10.1519/JSC.0000000000001243

PubMed Abstract | CrossRef Full Text | Google Scholar

Taylor, J., Macpherson, T., Spears, I., and Weston, M. (2015). The effects of repeated-sprint training on field-based fitness measures: A meta-analysis of controlled and non-controlled trials. Sports Med. 45, 881–891. doi: 10.1007/s40279-015-0324-9

PubMed Abstract | CrossRef Full Text | Google Scholar

Thapa, R. K., Lum, D., Moran, J., and Ramirez-Campillo, R. (2021). Effects of complex training on sprint, jump, and change of direction ability of soccer players: a systematic review and meta-analysis. Front. Psychol. 11:627869. doi: 10.3389/fpsyg.2020.627869

PubMed Abstract | CrossRef Full Text | Google Scholar

Trecroci, A., Bongiovanni, T., Cavaggioni, L., Pasta, G., Formenti, D., and Alberti, G. (2020). Agreement between dribble and change of direction deficits to assess directional asymmetry in young elite football players. Symmetry. 12:787. doi: 10.3390/sym12050787

CrossRef Full Text | Google Scholar

Trecroci, A., Milanović, Z., Rossi, A., Broggi, M., Formenti, D., and Alberti, G. (2016). Agility profile in sub-elite under-11 soccer players: is SAQ training adequate to improve sprint, change of direction speed and reactive agility performance? Res. Sports Med. 24, 331–340. doi: 10.1080/15438627.2016.1228063

PubMed Abstract | CrossRef Full Text | Google Scholar

Weston, M., Taylor, K. L., Batterham, A. M., and Hopkins, W. G. (2014). Effects of low-volume high-intensity interval training (HIT) on fitness in adults: a meta-analysis of controlled and non-controlled trials. Sports Med. 44, 1005–1017. doi: 10.1007/s40279-014-0180-z

PubMed Abstract | CrossRef Full Text | Google Scholar

Weyand, P. G., Lin, J. E., and Bundle, M. W. (2006). Sprint performance- duration relationships are set by the fractional duration of external force application. Am. J. Physiol. Regul. Integr. Comp. Physiol. 290, 758–765. doi: 10.1152/ajpregu.00562.2005

PubMed Abstract | CrossRef Full Text | Google Scholar

Weyand, P. G., Sandell, R. F., Prime, D. N. L., and Bundle, M. W. (2010). The biological limits to running speed are imposed from the ground up. J Appl Physiol 108, 950–961. doi: 10.1152/japplphysiol.00947.2009

PubMed Abstract | CrossRef Full Text | Google Scholar

Whyte, L. J., Gill, J. M., and Cathcart, A. J. (2010). Effect of 2 weeks of sprint interval training on health-related outcomes in sedentary overweight/obese men. Metab. Clin. Exp. 59, 1421–1428. doi: 10.1016/j.metabol.2010.01.002

PubMed Abstract | CrossRef Full Text | Google Scholar

Willoughby, T. N., Thomas, M. P., Schmale, M. S., Copeland, J. L., and Hazell, T. J. (2016). Four weeks of running sprint interval training improves cardiorespiratory fitness in young and middle-aged adults. J. Sport Sci. 34(13):1207–14. doi: 10.1080/02640414.2015.1102316

PubMed Abstract | CrossRef Full Text | Google Scholar

Younesi, S., Rabbani, A., Clemente, F. M., Silva, R., Sarmento, H., and Figueiredo, A. J. (2021). Relationships between aerobic performance, hemoglobin levels, and training load during small-sided games: a study in professional soccer players. Front. Physiol. 12:649870. doi: 10.3389/fphys.2021.649870

PubMed Abstract | CrossRef Full Text | Google Scholar

Keywords: repeated sprints, change-of-direction, power, strength, endurance, soccer

Citation: Koral J, Lloria Varella J, Lazaro Romero F and Foschia C (2021) Effects of Three Preseason Training Programs on Speed, Change-of-Direction, and Endurance in Recreationally Trained Soccer Players. Front. Physiol. 12:719580. doi: 10.3389/fphys.2021.719580

Received: 02 June 2021; Accepted: 20 August 2021;
Published: 17 September 2021.

Edited by:

Athos Trecroci, University of Milan, Italy

Reviewed by:

David Cristóbal Andrade, University of Antofagasta, Chile
Alessio Rossi, University of Pisa, Italy

Copyright © 2021 Koral, Lloria Varella, Lazaro Romero and Foschia. This is an open-access article distributed under the terms of the Creative Commons Attribution License (CC BY). The use, distribution or reproduction in other forums is permitted, provided the original author(s) and the copyright owner(s) are credited and that the original publication in this journal is cited, in accordance with accepted academic practice. No use, distribution or reproduction is permitted which does not comply with these terms.

*Correspondence: Jérôme Koral, amVyb21lLmtvcmFsQHVuaXYtc3QtZXRpZW5uZS5mcg==

Disclaimer: All claims expressed in this article are solely those of the authors and do not necessarily represent those of their affiliated organizations, or those of the publisher, the editors and the reviewers. Any product that may be evaluated in this article or claim that may be made by its manufacturer is not guaranteed or endorsed by the publisher.