Your new experience awaits. Try the new design now and help us make it even better

ORIGINAL RESEARCH article

Front. Physiol., 11 December 2025

Sec. Exercise Physiology

Volume 16 - 2025 | https://doi.org/10.3389/fphys.2025.1656980

This article is part of the Research TopicExercise and the Oxygen Cascade: From the Lungs to the MuscleView all 4 articles

O2max and the kinetics of O2, muscle oxygen delivery, and muscle deoxygenation

  • Faculty of Kinesiology, Sport, and Recreation, University of Alberta, Edmonton, AB, Canada

Introduction: Aerobic fitness and oxygen uptake kinetics (τV˙O2) at the onset of exercise appear to be inversely correlated, however, the mechanisms underlying changes in τV˙O2 across different levels of aerobic fitness have not been elucidated. The purpose of this study was to investigate the relationship between maximal V˙O2 (V˙O2max) and τV˙O2 and determine whether the capacity to deliver or to utilize O2 limits τV˙O2 in an aerobic fitness dependent manner.

Methods: Twenty-three healthy, young males (25 ± 4 years) with a V˙O2max classified as superior (S; V˙O2max > 60 mL·kg−1·min−1, n = 7), good (G; V˙O2max = 45-55 mL·kg−1·min−1, n = 8) or poor (P; V˙O2max < 40 mL·kg−1·min−1, n = 8) performed two moderate-intensity knee-extension (KE) exercise transitions (80% of gas exchange threshold) on a custom-built KE ergometer. V˙O2 was measured breath-by-breath. Leg blood flow (BF) was measured by doppler ultrasound at the femoral artery, and leg vascular conductance (LVC) was calculated as BF·mean arterial pressure (MAP)−1. Near-infrared spectroscopy derived-[HHb] was measured on the vastus lateralis muscle. τV˙O2, τLVC, and τ[HHb] data were averaged and fit with a mono-exponential function.

Results: τV˙O2 was faster in the S (P < 0.01) and G (P < 0.05) fitness groups compared with the P fitness group. τ[HHb] was faster in the S (P < 0.05) compared with the P fitness group. V˙O2max was inversely correlated to τV˙O2 (r = −0.71; P < 0.001) and τ[HHb] (r = −0.55; P < 0.01), but not with τLVC (r = −0.12; P > 0.05). τV˙O2 was positively correlated with τ[HHb] (r = -0.57; P < 0.01), but not with τLVC (r = −0.25; P > 0.05).

Conclusion: V˙O2max and τV˙O2 were inversely correlated across fitness levels. These findings indicate that O2 delivery is not rate-limiting for τV˙O2 across fitness levels and suggest that the intracellular capacity to utilize O2 may be the primary limiting factor for τV˙O2 in healthy young adults, regardless of aerobic fitness.

Introduction

In response to moderate-intensity step-transition exercise, oxygen uptake (V˙O2) increases in a mono-exponential manner (Margaria et al., 1965; Margaria et al., 1963; Poole and Jones, 2012). The increase in V˙O2 is closely related to the metabolic demand of exercise and is achieved through an integrated response of the pulmonary, cardiovascular, and muscle metabolic systems (Grassi, 2003; Poole et al., 2007; Grassi et al., 2003; Grassi, 2005; Grassi et al., 2021; Rossiter, 2011). The rate at which V˙O2 adjusts at the onset of exercise, commonly referred to as V˙O2 kinetics (τV˙O2), varies across individuals/populations and serves as an important index of aerobic metabolic function, with implications for metabolic stability (Grassi et al., 2015; Grassi et al., 2011; Grassi et al., 1996) and exercise tolerance (Poole and Jones, 2012; Grassi et al., 2011; Goulding et al., 2021).

Convective and diffusive O2 delivery to active muscles involves a complex interaction between motor unit recruitment, cardiac output, sympathetic vasoconstriction, and local vasodilation that matches muscle blood flow (BF) to metabolism (Pittman, 2016; Pittman, 2011; Poole et al., 2011; Poole and Musch, 2023; Poole et al., 2022; Marinari et al., 2025; DeLorey and Clifford, 2022; Joyner and Casey, 2015; Zoladz et al., 2016). Previous studies in healthy active individuals have reported that bulk leg BF increases at a rate similar to or faster than τV˙O2 (Macdonald et al., 1998; Fukuba et al., 2004; Nyberg et al., 2017; duManoir et al., 2010; DeLorey et al., 2007; MacPhee et al., 2005; Koga et al., 2005; Endo et al., 2005; Harper et al., 2006; Jones et al., 2012; Schlup et al., 2015; Paterson et al., 2005; Love et al., 2023), suggesting that bulk O2 delivery may not be a limiting factor for τV˙O2. In contrast, in disease states where pulmonary and cardiovascular function may be impaired and muscle O2 delivery is significantly slowed, τV˙O2 is also slowed (Poole and Jones, 2012; Poole et al., 2007), suggesting that there may be a critical rate of O2 delivery required to support an increase in V˙O2 at the onset of exercise. However, measures of bulk leg BF do not provide any information related to the distribution of leg BF and may not reflect BF/O2 delivery to active muscle(s). Near-infrared spectroscopy (NIRS)-derived [deoxyhemoglobin] ([HHb]) provides an index of changes in muscle O2 extraction in response to exercise in a discrete region of the active muscle microcirculation (Grassi et al., 2003; DeLorey et al., 2003; Grassi and Quaresima, 2016). Consistent with the Fick equation, changes in [HHb] reflect the balance between changes in microvascular O2 delivery and those in muscle V˙O2. A faster τ[HHb] (i.e., O2 extraction) relative to τV˙O2 may result from either slowed muscle O2 delivery relative to muscle V˙O2 or faster muscle V˙O2 relative to the rate of muscle O2 delivery. Previous studies have reported that [HHb] adapts at a faster rate than V˙O2 in healthy individuals (Grassi et al., 2003; DeLorey et al., 2003; Adami et al., 2011), demonstrating a mismatch between microvascular O2 delivery and muscle V˙O2 at the onset of exercise. The faster τ[HHb] relative to τV˙O2 observed in these studies could reflect the following: (i) a slowed O2 delivery relative to the metabolic demand, with O2 delivery potentially limiting τV˙O2; (ii) a faster O2 intracellular utilization relative to O2 delivery, with the slower O2 delivery not being rate-limiting for τV˙O2. Unfortunately, these studies did not include measures of leg BF/O2 delivery to facilitate resolution of the underlying cause of the faster τ[HHb].

Individuals with high aerobic fitness appear to have faster τV˙O2 than those with low aerobic fitness (Caputo et al., 2003; Caputo and Denadai, 2004; Cerretelli et al., 1979; George et al., 2018; Grey et al., 2015; Inglis et al., 2021; Koppo et al., 2004a), and an inverse relationship between maximal oxygen uptake (V˙O2max) and τV˙O2 has been reported (Inglis et al., 2021; Murias et al., 2011a; Fawkner et al., 2002; Chilibeck et al., 1996; Murgatroyd et al., 2011; Norris and Petersen, 1998; Powers et al., 1985). Although it seems unlikely that V˙O2max and τV˙O2 have a direct mechanistic basis, the relationship between V˙O2max and τV˙O2 suggests that aerobic fitness may influence the physiological determinants of τV˙O2.

Therefore, the purpose of this study was to investigate the following hypotheses: 1) V˙O2max and τV˙O2 would be inversely correlated; and 2) the limiting factor to τV˙O2 would be a function of V˙O2max, with O2 delivery limiting τV˙O2 in participants with “poor” aerobic fitness, but not in participants with “good” and “superior” aerobic fitness.

Methods

Participants

This study was approved by the University of Alberta Health Sciences Research Ethics Board (Pro00015860). Twenty-three healthy young male individuals volunteered and provided written informed consent to participate in the study (Table 1). Participants were not undertaking any training program during the study period and were stratified into three aerobic fitness groups based on their relative V˙O2max, according to the American College of Sports Medicine for young male individuals (ages 20–29 years) (Kaminsky et al., 2015), as follows: “poor” (P; V˙O2max < 40 mL·kg−1·min−1, n = 8), “good” (G; V˙O2max = 45–55 mL·kg−1·min−1, n = 8), and “superior” (S; V˙O2max > 60 mL·kg−1·min−1, n = 7). All subjects were non-obese (BMI <30 kg·m−2), non-smokers, and free from any previously diagnosed respiratory, cardiovascular, metabolic, or musculoskeletal disease. No subjects were using medications known to alter the cardiorespiratory response to exercise during this study.

Table 1
www.frontiersin.org

Table 1. Participant characteristics.

Experimental protocol

All testing was completed in the Integrative Human Exercise Physiology Laboratory at the University of Alberta. Participants reported to the laboratory on three separate occasions. Participants were instructed to abstain from exercise, caffeine, alcohol, and ibuprofen for 24 h prior to testing and to eat a light meal ∼2 h before exercise testing. Laboratory temperature was maintained between 20 °C and 22 °C.

Day 1. Participants completed an incremental exercise test to volitional exhaustion on a cycle ergometer (Ergoselect 200 K, Ergoline, Bitz, Germany) to determine V˙O2max. Following 2 min of baseline data collection, participants began pedaling, and the work rate was progressively increased in a ramp-like fashion at 30 watts (W)·min−1 to volitional exhaustion. Criteria used to establish a maximal test included the observation of a plateau in peak V˙O2, despite an increased work rate, a respiratory exchange ratio (RER) > 1.1, achievement of >90% age-predicted maximal heart rate (HR), and volitional exhaustion. Participants were then assigned to pre-determined aerobic fitness groups described above.

Day 2. Participants completed an incremental alternate-leg knee-extension (KE) exercise test to volitional exhaustion on a custom-built KE ergometer, as previously described (DeLorey et al., 2007). This test was conducted to determine individual work rates for moderate-intensity KE exercise. After 2 min of resting baseline data collection, participants completed 1-min of passive (unloaded) KE exercise, followed by alternate-leg KE exercise at a cadence of 30 contractions per leg per minute (cpm) from an initial work rate of 18 W. The work rate was then increased 3 W·min−1 until volitional exhaustion or until participants were unable to maintain a cadence of 30 cpm. Criteria used to establish a maximal test were a plateau in V˙O2 despite an increase in the work rate, an RER >1.10, and volitional exhaustion. The gas exchange threshold (GET) was defined as the V˙O2 at which CO2 production (V˙CO2) began to increase disproportionately with respect to V˙O2, concurrent with an increase in the ratio of minute ventilation (V˙E) to V˙O2 and end-tidal PO2, while V˙E/V˙CO2 and end-tidal PCO2 remained stable. Moderate-intensity KE exercise was defined as a work rate corresponding to 80% of the work rate at the GET.

Day 3. Participants completed two step transitions from passive KE exercise to moderate-intensity KE exercise to determine the on-transient τV˙O2, τ[HHb], and τLVC. Testing began with 2 min of resting baseline data collection, followed by 1-min of passive KE exercise. Thereafter, the work rate was increased in a stepwise manner, and participants performed 5 min of constant-load moderate-intensity KE exercise. Following a 15-min recovery period, the protocol was repeated, and the data from the two exercise transitions were ensemble-averaged (see data analysis). All KE exercise was performed at a cadence of 30 cpm and was preceded by 1-min of passive, unloaded exercise to minimize the effects of mechanical inertia and muscle mechanical factors and to increase the amplitude of the on-transient responses, thereby improving the signal-to-noise ratio and the accuracy of kinetics analysis. Participants’ legs were secured to the lever arms of the KE ergometer to facilitate passive exercise.

Measurements

For all exercise testing, participants breathed through a mouthpiece, with their nose occluded. A low-resistance mass-flow meter was used to measure pulmonary gas exchange (V˙O2, V˙CO2, and RER) and V˙E breath-by-breath via open-circuit indirect calorimetry (Vmax® 229d; Viasys™ Healthcare, Palm Springs, CA). Prior to each test, the flow meter was calibrated with a 3-L calibration syringe, and the O2 and CO2 analyzers were calibrated with gases of known concentrations.

A three-lead electrocardiogram (ECG) was measured continuously (Power Laboratory 16/30, AD Instruments, Colorado Springs, CO), and HR was derived from the ECG. Beat-by-beat arterial blood pressure (BP) was measured using photoplethysmography on the middle finger of the right hand (Finometer™, Finapres Medical Systems, Amsterdam, Netherlands). BP was also measured using a sphygmomanometer, and Finometer BP was corrected to manually measured pressures when pressure differences were observed. Mean arterial pressure (MAP) was calculated on a beat-by-beat basis.

Mean blood velocity (MBV) of the right femoral artery was measured using pulsed-Doppler ultrasonography (Vivid I, General Electric, Waukesha, WI). Data were acquired continuously using a 7.5 MHz probe positioned 2–3 cm distal to the inguinal ligament and proximal to the femoral artery bifurcation, while the probe was maintained at a 45-degree angle of insonation. Prior to exercise testing on days 2 and 3, the resting diameter of the femoral artery was measured in triplicate during diastole. The three measures were then averaged to determine the baseline femoral artery diameter. Previous studies have demonstrated that the common femoral artery diameter does not change from resting values during exercise. Thus the resting diameter was used for blood flow calculations during exercise (Macdonald et al., 1998; MacPhee et al., 2005; Paterson et al., 2005; Rådegran and Saltin, 2000). Mean blood velocity in cm·s−1 was measured on a beat-by-beat basis. Limb BF was calculated as BF (mL·min−1) = MBV·π·r2·60, where r is the measured radius of the femoral artery. LVC was then calculated as follows: LVC (L·min−1·mmHg−1) = BF·MAP−1. Data were recorded using a PowerLab 16/30 system and Chart 7 data acquisition software (AD Instruments) at a sampling frequency of 100 Hz.

Relative [HHb] was measured in the vastus lateralis (VL) muscle using NIRS (NIRO 300, Hamamatsu Photonics, Hamamatsu, Japan), as described previously (DeLorey et al., 2007). In short, optodes were placed on the belly of the VL at the midpoint between the lateral epicondyle and the greater trochanter of the femur. These optodes were contained within an optically dense plastic holder to minimize extraneous light and the loss of NIR light from the field of interrogation and ensure the position of optodes relative to each other. This optode assembly was affixed to the skin using tape and was wrapped in an elastic bandage to further prevent movement of the optodes and interference of extraneous light.

The intensities of incident and transmitted light were continuously recorded, along with relevant extinction coefficients and estimated optical path length, assuming a differential path length factor of 3.83 (DeLorey et al., 2007). These values were used for online estimation and display of changes in concentrations of oxyhemoglobin (O2Hb), HHb, and total hemoglobin (Hbtot). The raw attenuation signal in optical density units was sampled at 1Hz and transferred to a computer and stored for future analysis. Prior to testing, the NIRS unit was “zeroed” to a stable, resting baseline.

Data analysis

τV˙O2

Breath-by-breath V˙O2 data were filtered for aberrant data points, interpolated to 1-s intervals and then ensemble-averaged into 5-s time bins to yield a single response for each subject. The on-transient responses were modeled using nonlinear, least squares regression procedures (OriginLab, Northampton, MA, United States), with a mono-exponential function:

Yt=Yb+A1etTD/τ,(1)

where Y represents V˙O2 at any time (t), b is the baseline value of Y at the point in time from which the data were fit, A is the amplitude of the increase in Y above the baseline value, τ is the time constant defined as the duration of time at which Y increases to a value equivalent to 63% of A, and TD is the time delay. Only the primary component (phase II) of the on-transient V˙O2 response was included in the fitting window, excluding the so-called cardio dynamic component (phase I). Phase I was identified by extending the fitting window backward from ∼40 s until τ, χ2, and confidence interval (CI) began to increase, as described elsewhere (Love et al., 2023; Rossiter et al., 2001).

τLVC

Similar to V˙O2, LVC data were filtered for aberrant data points, interpolated to 1-s intervals and then ensemble-averaged into 5-s time bins to yield a single response for each subject. Subsequently, LVC data were fit with a mono-exponential model as described in Equation 1 from the onset of exercise to either the end of the exercise or a potential peak (overshoot) manifested within the first minutes of exercise (Love et al., 2023).

τ[HHb]

Similarly, [HHb] data were ensemble-averaged into 5-s time bins to yield a single response for each subject. Subsequently, [HHb] data were fit with a mono-exponential model as described in Equation 1 from the end of the calculated TD (CTD), representing the first value following the exercise onset at which [HHb] began to systematically increase. Thereafter, [HHb] was fit (i) to the end of exercise in the case of stable responses, (ii) to a potential overshoot within the first seconds/minutes of exercise, or (iii) to the point preceding a potential gradual increase in the response following an initial steady-state behavior (Love et al., 2023).

Following the observation of a consistent “overshoot” in [HHb] at the onset of exercise in the S fitness group, further analyses were performed to quantify its magnitude and make inferences about microvascular and intracellular oxidative responses across groups. A 30-s moving average was performed within the first 3 minutes of exercise of the normalized [HHb] for all groups. Thereafter, the time points at which the highest 30-s moving average occurred served to identify the time window with higher [HHb] overshoot incidence, which ranged from 40 s to 120 s of the exercise on-transient. The difference between the average [HHb] between 40 s and 120 s and the last minute of [HHb] during exercise was computed for each subject and compared across groups.

Relationships between kinetics and V˙O2max

Correlation analyses were performed to examine the relationship between τV˙O2, τLVC, and τ[HHb] with varying V˙O2max and elucidate the relationship between O2 delivery (i.e., τLVC) and extraction (i.e., τ[HHb]) with varying τV˙O2.

Gain

The gain for V˙O2, LVC, and [HHb] was computed as the amplitude of the response of each variable divided by the work rate amplitude of each subject (V˙O2GAIN, mL·min−1·W−1; LVCGAIN, mL·min−1·mmHg−1·W−1; [HHb]GAIN, µM·min−1·W−1).

Statistical analysis

All data are reported as the mean ± standard deviation. A one-way ANOVA was performed for between-group comparisons of V˙O2max, gain, τV˙O2, τLVC, and τ[HHb]. Within group differences between τV˙O2, τLVC and τ[HHb] were determined by one-way ANOVA. When significant F-ratios were found, Tukey’s HDS post hoc analysis was performed. A paired Student’s t-test was performed to compare a potential initial [HHb] overshoot within groups. Relationships between variables were determined using Pearson’s r correlation. A p-value <0.05 was considered statistically significant. Statistical analyses were performed using SPSS (v. 29.0, IBM, Chicago, United States).

Results

Participant characteristics

Participant characteristics are reported in Table 1. Consistent with the design of the study, both absolute and relative V˙O2max values were different between S, G and P fitness groups (p < 0.001). Similarly, absolute and relative KE V˙O2peak were also different between the S, G and P fitness groups (p < 0.01). Additionally, peak and moderate KE work rates were significantly different across groups (all p < 0.01).

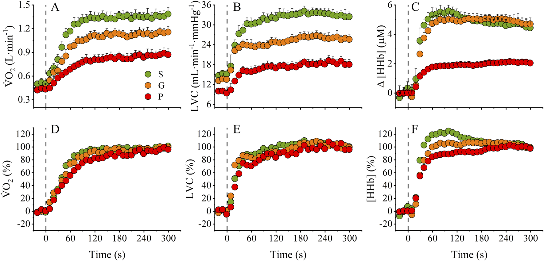
Pre-transition baseline values for V˙O2, LVC, and [HHb] are reported in Table 2. Averaged absolute and normalized profiles for V˙O2, LVC, and [HHb] are depicted in Figure 1 (upper and lower panel, respectively).

Table 2
www.frontiersin.org

Table 2. Baseline values.

Figure 1
Six-panel graph showing physiological data over time. Panel A depicts V̇O₂ in liters per minute, Panel B shows LVC in milliliters per minute per millimeter mercury, and Panel C illustrates Δ[HHb] in micromoles. Panels D, E, and F present these metrics as percentages. The data are represented by green, orange, and red dots labeled S, G, and P. The x-axis is time in seconds across all panels. Each plot shows a rise in values, leveling off towards the end. Error bars indicate variability.

Figure 1. Absolute and normalized V˙O2, LVC, and [HHb] kinetics profiles. The upper panel shows the absolute profiles of V˙O2 (A), LVC (B), and [HHb] (C), while the lower panel shows the normalized profiles as a function of baseline (0%) and end-exercise (100%) (D–F). S, “superior” fitness; G, “good” fitness; P, “poor” fitness; V˙O2, oxygen uptake; LVC, leg vascular conductance; [HHb] de-oxyhemoglobin concentration; Δ, delta change.

τV˙O2

τV˙O2 values for S, G, and P were 22 ± 3 s (CI95: 8 s range), 39 ± 23 s (CI95: 11 s range), and 69 ± 30 s (CI95: 23 s range), respectively, and were different across the fitness groups (p < 0.05; Figure 2A). In particular, post hoc analysis revealed that τV˙O2 in S and G was faster than τV˙O2 in P (p < 0.01 and p < 0.05, respectively), whereas τV˙O2 was not different between S and G (p > 0.05).

Figure 2
Bar charts labeled A and B displaying kinetics tau in seconds for three parameters: VO2, LVC, and [HHb] across three conditions labeled S, G, and P (green, orange, and red). Significant differences are marked with asterisks between certain bars in both charts.

Figure 2. Between- (A) and within (B)-group comparisons of τV˙O2, τLVC, and τ[HHb]. Black lines above the bar graphs indicate significant differences (p < 0.05). S, “superior” fitness; G, “good” fitness; P, “poor” fitness. τ, time constant. Filled circles indicate individual data points.

τLVC

τLVCs for S, G, and P were 27 ± 22 s (CI95: 9 s range), 18 ± 23 s (CI95: 7 s range), and 31 ± 18 s (CI95: 16 s range), respectively, and were not significantly different (p > 0.05; Figure 2A).

τ[HHb]

The CTDs for S, G, and P, from which the exponential fit began, were 13 ± 4 s, 12 ± 6 s, and 12 ± 5 s, respectively, and not significantly different (P > 0.05). τ[HHb] values for S, G, and P were 11 ± 3 s (CI95: 3 s range), 18 ± 11 s (CI95: 5 s range), and 26 ± 13 s (CI95: 4 s range), respectively, and were different between fitness groups (P < 0.05; Figure 2A). In particular, post hoc analysis revealed that τ[HHb] was faster in S compared with P (p < 0.05), whereas no significant difference was observed in τ[HHb] between S and G (p > 0.05: Figure 2A).

An overshoot in [HHb] in the S fitness group was confirmed (p < 0.05), whereas no [HHb] overshoot was observed for the G or P fitness group.

Within-group kinetics

Comparison between τV˙O2, τLVC, and τ[HHb] is depicted in Figure 2B. No within-group differences between τV˙O2, τLVC, and τ[HHb] were observed for S and G fitness groups (p > 0.05), whereas a within-group difference in the P fitness group was detected (p < 0.05). In particular, post hoc analysis revealed that τLVC and τ[HHb] were faster (p < 0.01) than τV˙O2 in P (p < 0.05).

Correlations

Correlations of V˙O2max with τV˙O2, τLVC, and τ[HHb] are displayed in Figure 3 (A, B, and C). When the data from all groups were pooled, both τV˙O2 (r = −0.71; p < 0.001) and τ[HHb] (r = −0.57; p < 0.01) showed a significant negative correlation with V˙O2max, whereas τLVC and V˙O2max were not correlated (r = −0.12; p > 0.05). All within-group correlations were not significant (all p > 0.05).

Figure 3
Three scatter plots labeled A, B, and C show the relationship between VO2 max and different time constants: τV̇O2, τ[HHb], and τLVC. Each panel has a linear trend line. Panel A shows a strong negative correlation (r = -0.71, p < 0.001) with green, orange, and red data points representing groups S, G, and P. Panel B has a moderate negative correlation (r = -0.55, p < 0.01), and Panel C shows a weak negative correlation (r = -0.12, p > 0.05).

Figure 3. Between-group correlations of V˙O2max with τV˙O2 (A), τ[HHb] (B) and τLVC (C). S, “superior” fitness; G, “good” fitness; P, “poor” fitness; V˙O2max, maximal oxygen uptake; τV˙O2, oxygen uptake kinetics; τLVC, leg vascular conductance kinetics; τ[HHb] de-oxyhemoglobin concentration kinetics. Black lines indicate significant correlations (p < 0.05) across groups.

Correlations of τV˙O2 with τLVC and τ[HHb] are depicted in Figures 4A,B. When the data from all groups were pooled, a significant positive correlation was found between τ[HHb] and τV˙O2 (r = 0.57; p < 0.01), whereas τLVC and τV˙O2 were not correlated (r = −0.25; p > 0.05). Within-group correlations were all non-significant (all p > 0.05), except for a negative correlation between τV˙O2 and τLVC in the P fitness group (r = −0.74; p < 0.05).

Figure 4
Scatter plots labeled 0.05)." id="F4" loading="lazy">

Figure 4. Between- and within-group correlations of τV˙O2 with τ[HHb] (A) and τLVC (B). S, “superior” fitness; G, “good” fitness; P, “poor” fitness; τV˙O2, oxygen uptake kinetics; τLVC, leg vascular conductance kinetics; τ[HHb] de-oxyhemoglobin concentration kinetics. Black lines indicate significant correlations (p < 0.05) across groups. The red line indicates a significant correlation within the P fitness group.

Gains

The gain for all variables are reported in Table 3. No differences in V˙O2GAIN (p > 0.05), LVCGAIN (p > 0.05), and [HHb]GAIN (p > 0.05) were observed between fitness groups.

Table 3
www.frontiersin.org

Table 3. Gain values.

Discussion

The purpose of the present study was to investigate the relationship between τV˙O2 and V˙O2max, and determine whether the capacity to deliver or to utilize O2 limits τV˙O2 in an aerobic fitness-dependent manner. V˙O2max was inversely correlated with τV˙O2, and τV˙O2 was faster in the S and G fitness groups than in the P fitness group. τLVC was not different between groups, and it was not positively correlated with V˙O2max or τV˙O2 across and within groups, indicating that O2 delivery kinetics were similar between groups despite large differences in aerobic fitness. τ[HHb] was faster in the S than in the P fitness group and was inversely correlated with V˙O2max and positively correlated with τV˙O2 across groups. Collectively, these data indicate that O2 delivery was not limiting for τV˙O2 and that intracellular oxidative metabolism may limit τV˙O2 in healthy individuals, regardless of aerobic fitness.

In the present study, τV˙O2 was slower in the P than in the G and S fitness groups, whereas τV˙O2 was not different between the S and G fitness groups. Consistent with the present data, several cross-sectional studies have also reported faster τV˙O2 in trained or active individuals than in untrained or sedentary individuals (Caputo et al., 2003; Caputo and Denadai, 2004; Cerretelli et al., 1979; George et al., 2018; Grey et al., 2015; Inglis et al., 2021; Koppo et al., 2004a), and although the data are not conclusive, an inverse relationship between V˙O2max and τV˙O2 has often been reported (Inglis et al., 2021; Murias et al., 2011a; Fawkner et al., 2002; Chilibeck et al., 1996; Murgatroyd et al., 2011; Norris and Petersen, 1998; Powers et al., 1985). Inglis et al. (2021) investigated the relationship between V˙O2max and τV˙O2 in untrained (V˙O2max ∼ 40 mL·kg−1·min−1) and trained (V˙O2max ∼ 58 mL·kg−1·min−1) participants and reported an inverse relationship between V˙O2max and τV˙O2 within the untrained group, but not within the trained group. The kinetics of cardiac output (Q; measured through impedance cardiography) were not different between untrained and trained groups and were similar to or even faster than τV˙O2 in both groups, suggesting that O2 delivery was not limiting in either group. Although Q kinetics do not provide information related to the distribution of Q or muscle blood flow, Inglis et al. (2021) reported a higher [HHb]/V˙O2 ratio in the vastus lateralis muscle of the untrained group than that of the trained group, suggesting that microvascular O2 delivery may be slower within active muscle and contribute to a slower V˙O2 response in untrained participants. Whether τV˙O2 is limited by O2 delivery (DeLorey et al., 2003; Hughson et al., 1996; Murias et al., 2011b; Murias et al., 2011c), intracellular oxidative metabolism (Zoladz et al., 2016; Grassi, 2000; Christensen et al., 2011; Korzeniewski and Rossiter, 2015), or a combination of both (Murias et al., 2014) within the active limbs across fitness levels remains controversial.

This study, in line with others (Macdonald et al., 1998; Fukuba et al., 2004; Nyberg et al., 2017; duManoir et al., 2010; DeLorey et al., 2007; MacPhee et al., 2005; Koga et al., 2005; Endo et al., 2005; Harper et al., 2006; Jones et al., 2012; Schlup et al., 2015; Paterson et al., 2005; Love et al., 2023; Inglis et al., 2021), indicated that O2 delivery (i.e., τLVC) was faster or as fast as τV˙O2 within each fitness group. Furthermore, τLVC and LVCGAIN were not different between groups despite large differences in aerobic fitness, and τLVC was not correlated with either τV˙O2 or V˙O2max, suggesting that O2 delivery is not a rate-limiting factor for τV˙O2 across fitness levels. Consistent with this notion, pump perfusion of canine muscle to eliminate temporal delays in O2 delivery and enhancement of muscle O2 diffusive capacity did not accelerate τV˙O2 during moderate-intensity exercise (Grassi et al., 1998a; Grassi et al., 1998b).

Although the present study suggests that at the onset of exercise, O2 delivery to the active muscles is not limiting for τV˙O2 across fitness levels (evidenced by similar τLVC and LVCGAIN in all groups), it is important to acknowledge that LVC reflects bulk O2 delivery to the whole limb and does not reflect microvascular O2 delivery to active muscle fibers. Therefore, it could be argued that either better microvascular O2 distribution or intracellular oxidative mechanisms underlie differences in τV˙O2 between fitness levels. If microvascular O2 delivery limits τV˙O2 across fitness levels, an inverse relationship between τ[HHb] and τV˙O2 should be observed, and faster τ[HHb] would be expected in the P fitness group (i.e., the group with the slowest τV˙O2) than in the G and S fitness groups. However, τ[HHb] was significantly faster in the S fitness group than in the P fitness group and positively correlated with τV˙O2 and negatively correlated with V˙O2max across fitness groups. Potential contributions of microvascular O2 delivery to τV˙O2 in our P fitness group, where τ[HHb] was faster than τV˙O2, cannot be dismissed. The direction of the relationships between τ[HHb] with τV˙O2 and V˙O2max, as well as the faster τ[HHb] in the S than in the P fitness group, and, more importantly, the similar τLVC and LVCGAIN between groups support the notion that intracellular oxidative metabolism is the rate-limiting factor for τV˙O2 across fitness levels.

Supporting enhanced intracellular oxidative metabolism in the S fitness group is the observed initial [HHb] overshoot. With τLVC not being limiting for τV˙O2, the [HHb] overshoot may be attributed to a transient enhanced oxidative metabolism response and/or to specific motor unit recruitment strategies in highly trained individuals at the onset of exercise (Grassi et al., 2011; Marinari et al., 2025; Korzeniewski and Zoladz, 2003; Bowen et al., 2013; do Nascimento Salvador et al., 2023). Accordingly, it has recently been demonstrated that muscle excitation increases “disproportionally” at the onset of a step-transition exercise without prior warm-up in recreationally active individuals, which was connected to a greater [HHb] response (Marinari et al., 2025). A similar interpretation was proposed to explain the overshoot in V˙O2 observed in trained cyclists at intensities below the GET (Kilding and Jones, 2008; Koppo et al., 2004b).

Interestingly, end-exercise gains in V˙O2, LVC, and [HHb] were not different between fitness groups (Table 3), indicating similar adaptations at different levels of the O2 cascade system per unit work rate.

Experimental considerations

In this study, V˙O2, LVC, and [HHb] were averaged over two trials. Increasing the number of trials would have likely improved the accuracy of our kinetics analyses. Nevertheless, the CI ranges of the parameter estimate “τ” in the S and G fitness groups were similar to those of a recent study where similar variables were averaged using five trials (Love et al., 2023). Our P fitness group reported greater variability for the estimation of τV˙O2 and τLVC (but not for τ[HHb]), which may be caused by the reduced amplitude changes in V˙O2 and LVC due to smaller work rates. However, different V˙O2 and similar O2 delivery kinetics between fitness levels are in line with previous findings (Inglis et al., 2021), suggesting that our kinetics analyses were not significantly affected by the number of trials.

Conclusion

In this study, V˙O2max and τV˙O2 were inversely correlated across three fitness levels. Although τV˙O2 was faster in the “good” and “superior” fitness groups than in the “poor” fitness group, τLVC was similar between fitness groups and not correlated to either τV˙O2 or V˙O2max. Conversely, τ[HHb] was inversely correlated to V˙O2max and positively correlated to τV˙O2 across fitness groups. Furthermore, τ[HHb] was faster in the “superior” fitness group than in the “poor” fitness group. Collectively, the present study suggests that O2 delivery is not a rate-limiting factor for τV˙O2 and that the intracellular capacity to utilize O2 may be the primary limiting factor for τV˙O2 in healthy individuals, regardless of aerobic fitness.

Data availability statement

The original contributions presented in the study are included in the article/supplementary material; further inquiries can be directed to the corresponding author.

Ethics statement

The studies involving humans were approved by the University of Alberta Human Research Ethics Board. The studies were conducted in accordance with the local legislation and institutional requirements. The participants provided their written informed consent to participate in this study.

Author contributions

GM: Writing – review and editing, Writing – original draft. DD: Writing – original draft, Writing – review and editing.

Funding

The authors declare that financial support was received for the research and/or publication of this article. This project was supported by grants from the Natural Sciences and Engineering Research Council of Canada (NSERC) and the Canadian Foundation for Innovation (CFI).

Conflict of interest

The authors declare that the research was conducted in the absence of any commercial or financial relationships that could be construed as a potential conflict of interest.

Generative AI statement

The authors declare that no Generative AI was used in the creation of this manuscript.

Any alternative text (alt text) provided alongside figures in this article has been generated by Frontiers with the support of artificial intelligence and reasonable efforts have been made to ensure accuracy, including review by the authors wherever possible. If you identify any issues, please contact us.

Publisher’s note

All claims expressed in this article are solely those of the authors and do not necessarily represent those of their affiliated organizations, or those of the publisher, the editors and the reviewers. Any product that may be evaluated in this article, or claim that may be made by its manufacturer, is not guaranteed or endorsed by the publisher.

References

Adami A., Pogliaghi S., De Roia G., Capelli C. (2011). Oxygen uptake, cardiac output and muscle deoxygenation at the onset of moderate and supramaximal exercise in humans. Eur. J. Appl. Physiol. 111 (7), 1517–1527. doi:10.1007/s00421-010-1786-y

PubMed Abstract | CrossRef Full Text | Google Scholar

Bowen T. S., Rossiter H. B., Benson A. P., Amano T., Kondo N., Kowalchuk J. M., et al. (2013). Slowed oxygen uptake kinetics in hypoxia correlate with the transient peak and reduced spatial distribution of absolute skeletal muscle deoxygenation. Exp. Physiol. 98 (11), 1585–1596. doi:10.1113/expphysiol.2013.073270

PubMed Abstract | CrossRef Full Text | Google Scholar

Caputo F., Denadai B. S. (2004). Effects of aerobic endurance training status and specificity on oxygen uptake kinetics during maximal exercise. Eur. J. Appl. Physiol. 93 (1–2), 87–95. doi:10.1007/s00421-004-1169-3

PubMed Abstract | CrossRef Full Text | Google Scholar

Caputo F., Mello M. T., Denadai B. S. (2003). Oxygen uptake kinetics and time to exhaustion in cycling and running: a comparison between trained and untrained subjects. Arch. Physiol. Biochem. 111 (5), 461–466. doi:10.3109/13813450312331342337

PubMed Abstract | CrossRef Full Text | Google Scholar

Cerretelli P., Pendergast D., Paganelli W. C., Rennie D. W. (1979). Effects of specific muscle training on VO2 on-response and early blood lactate. J. Appl. Physiol. 47 (4), 761–769. doi:10.1152/jappl.1979.47.4.761

PubMed Abstract | CrossRef Full Text | Google Scholar

Chilibeck P. D., Paterson D. H., Petrella R. J., Cunningham D. A. (1996). The influence of age and cardiorespiratory fitness on kinetics of oxygen uptake. Can. J. Appl. Physiol. 21 (3), 185–196. doi:10.1139/h96-015

PubMed Abstract | CrossRef Full Text | Google Scholar

Christensen P. M., Krustrup P., Gunnarsson T. P., Kiilerich K., Nybo L., Bangsbo J. (2011). VO2 kinetics and performance in soccer players after intense training and inactivity. Med. Sci. Sports Exerc 43 (9), 1716–1724. doi:10.1249/MSS.0b013e318211c01a

PubMed Abstract | CrossRef Full Text | Google Scholar

DeLorey D. S., Clifford P. S. (2022). Does sympathetic vasoconstriction contribute to metabolism: perfusion matching in exercising skeletal muscle? Front. Physiol. 13 (September), 980524–980529. doi:10.3389/fphys.2022.980524

PubMed Abstract | CrossRef Full Text | Google Scholar

DeLorey D. S., Kowalchuk J. M., Paterson D. H. (2003). Relationship between pulmonary O2 uptake kinetics and muscle deoxygenation during moderate-intensity exercise. J. Appl. Physiol. 95 (1), 113–120. doi:10.1152/japplphysiol.00956.2002

PubMed Abstract | CrossRef Full Text | Google Scholar

DeLorey D. S., Kowalchuk J. M., Heenan A. P., DuManoir G. R., Paterson D. H. (2007). Prior exercise speeds pulmonary O2 uptake kinetics by increases in both local muscle O2 availability and O2 utilization. J. Appl. Physiol. 103 (3), 771–778. doi:10.1152/japplphysiol.01061.2006

PubMed Abstract | CrossRef Full Text | Google Scholar

do Nascimento Salvador P. C., Nascimento E. M. F., Antunes D., Guglielmo L. G. A., Denadai B. S. (2023). Energy metabolism and muscle activation heterogeneity explain (formula presented.) slow component and muscle fatigue of cycling at different intensities. Exp. Physiol. 108, 503–517. doi:10.1113/EP090444

PubMed Abstract | CrossRef Full Text | Google Scholar

duManoir G. R., DeLorey D. S., Kowalchuk J. M., Paterson D. H. (2010). Kinetics of VO2 limb blood flow and regional muscle deoxygenation in young adults during moderate intensity, knee-extension exercise. Eur. J. Appl. Physiol. 108 (3), 607–617. doi:10.1007/s00421-009-1263-7

PubMed Abstract | CrossRef Full Text | Google Scholar

Endo M., Okada Y., Rossiter H. B., Ooue A., Miura A., Koga S., et al. (2005). Kinetics of pulmonary VO2 and femoral artery blood flow and their relationship during repeated bouts of heavy exercise. Eur. J. Appl. Physiol. 95 (5–6), 418–430. doi:10.1007/s00421-005-0051-2

PubMed Abstract | CrossRef Full Text | Google Scholar

Fawkner S. G., Armstrong N., Potter C. R., Welsman J. R. (2002). Oxygen uptake kinetics in children and adults after the onset of moderate-intensity exercise. J. Sports Sci. 20 (4), 319–326. doi:10.1080/026404102753576099

PubMed Abstract | CrossRef Full Text | Google Scholar

Fukuba Y., Ohe Y., Miura A., Kitano A., Endo M., Sato H., et al. (2004). Dissociation between the time courses of femoral artery blood flow and pulmonary VO2 during repeated bouts of heavy knee extension exercise in humans. Exp. Physiol. 89 (3), 243–253. doi:10.1113/expphysiol.2003.026609

PubMed Abstract | CrossRef Full Text | Google Scholar

George M. A., McLay K. M., Doyle-Baker P. K., Reimer R. A., Murias J. M. (2018). Fitness level and not aging per se,, determines the oxygen uptake kinetics response. Front. Physiol. 9 (MAR), 277. doi:10.3389/fphys.2018.00277

PubMed Abstract | CrossRef Full Text | Google Scholar

Goulding R. P., Rossiter H. B., Marwood S., Ferguson C. (2021). Bioenergetic mechanisms linking V˙O2 kinetics and exercise tolerance. Exerc Sport Sci. Rev. 49 (4), 274–283. doi:10.1249/JES.0000000000000267

PubMed Abstract | CrossRef Full Text | Google Scholar

Grassi B. (2000). Skeletal muscle VO2 on-kinetics: set by O2 delivery or by O2 utilization? New insights into an old issue. Med. Sci. Sports Exerc 32 (1), 108–116. doi:10.1097/00005768-200001000-00017

PubMed Abstract | CrossRef Full Text | Google Scholar

Grassi B. (2003). Oxygen uptake kinetics: old and recent lessons from experiments on isolated muscle in situ. Eur. J. Appl. Physiol. 90 (3–4), 242–249. doi:10.1007/s00421-003-0994-0

PubMed Abstract | CrossRef Full Text | Google Scholar

Grassi B. (2005). Delayed metabolic activation of oxidative phosphorylation in skeletal muscle at exercise onset. Med. Sci. Sports Exerc 37 (9), 1567–1573. doi:10.1249/01.mss.0000177472.67419.0a

PubMed Abstract | CrossRef Full Text | Google Scholar

Grassi B., Quaresima V. (2016). Near-infrared spectroscopy and skeletal muscle oxidative function in vivo in health and disease: a review from an exercise physiology perspective. J. Biomed. Opt. 21 (9), 091313. doi:10.1117/1.JBO.21.9.091313

PubMed Abstract | CrossRef Full Text | Google Scholar

Grassi B., Poole D. C., Richardson R. S., Knight D. R., Erickson B. K., Wagner P. D. (1996). Muscle O2 uptake kinetics in humans: implications for metabolic control. J. Appl. Physiol. 80 (3), 988–998. doi:10.1152/jappl.1996.80.3.988

PubMed Abstract | CrossRef Full Text | Google Scholar

Grassi B., Gladden L. B., Samaja M., Stary C. M., Hogan M. C. (1998a). Faster adjustment of O2 delivery does not affect V˙O2 on-kinetics in isolated in situ canine muscle. J. Appl. Physiol. 85 (4), 1394–1403. doi:10.1152/jappl.1998.85.4.1394

PubMed Abstract | CrossRef Full Text | Google Scholar

Grassi B., Gladden L. B., Stary C. M., Wagner P. D., Hogan M. C. (1998b). Peripheral O2 diffusion does not affect V˙O2 on-kinetics in isolated in situ canine muscle. J. Appl. Physiol. 85 (4), 1404–1412. doi:10.1152/jappl.1998.85.4.1404

PubMed Abstract | CrossRef Full Text | Google Scholar

Grassi B., Pogliaghi S., Rampichini S., Quaresima V., Ferrari M., Marconi C., et al. (2003). Muscle oxygenation and pulmonary gas exchange kinetics during cycling exercise on-transitions in humans. J. Appl. Physiol. 95 (1), 149–158. doi:10.1152/japplphysiol.00695.2002

PubMed Abstract | CrossRef Full Text | Google Scholar

Grassi B., Porcelli S., Salvadego D., Zoladz J. A. (2011). Slow VO₂ kinetics during moderate-intensity exercise as markers of lower metabolic stability and lower exercise tolerance. Eur. J. Appl. Physiol. 111 (3), 345–355. doi:10.1007/s00421-010-1609-1

PubMed Abstract | CrossRef Full Text | Google Scholar

Grassi B., Rossiter H. B., Zoladz J. A. (2015). Skeletal muscle fatigue and decreased efficiency: two sides of the same coin? Exerc Sport Sci. Rev. 43 (2), 75–83. doi:10.1249/JES.0000000000000043

PubMed Abstract | CrossRef Full Text | Google Scholar

Grassi B., Hogan M. C., Gladden L. B. (2021). Microvascular O2 delivery and O2 utilization during metabolic transitions in skeletal muscle. One-hundred years after the pioneering work by August krogh. Comp. Biochem. Physiol. -Part A Mol. Integr. Physiol. 252 (October 2020), 110842. doi:10.1016/j.cbpa.2020.110842

PubMed Abstract | CrossRef Full Text | Google Scholar

Grey T. M., Spencer M. D., Belfry G. R., Kowalchuk J. M., Paterson D. H., Murias J. M. (2015). Effects of age and long-term endurance training on VO2 kinetics. Med. Sci. Sports Exerc 47 (2), 289–298. doi:10.1249/MSS.0000000000000398

PubMed Abstract | CrossRef Full Text | Google Scholar

Harper A. J., Ferreira L. F., Lutjemeier B. J., Townsend D. K., Barstow T. J. (2006). Human femoral artery and estimated muscle capillary blood flow kinetics following the onset of exercise. Exp. Physiol. 91 (4), 661–671. doi:10.1113/expphysiol.2005.032904

PubMed Abstract | CrossRef Full Text | Google Scholar

Hughson R. L., Shoemaker J. K., Tschakovsky M. E., Kowalchuk J. M. (1996). Dependence of muscle V˙O2 on blood flow dynamics at onset of forearm exercise. J. Appl. Physiol. 81 (4), 1619–1626. doi:10.1152/jappl.1996.81.4.1619

PubMed Abstract | CrossRef Full Text | Google Scholar

Inglis E. C., Iannetta D., Murias J. M. (2021). Association between V˙O2 kinetics and V˙O2max in groups differing in fitness status. Eur. J. Appl. Physiol. 121 (7), 1921–1931. doi:10.1007/s00421-021-04623-6

CrossRef Full Text | Google Scholar

Jones A. M., Krustrup P., Wilkerson D. P., Berger N. J., Calbet J. A., Bangsbo J. (2012). Influence of exercise intensity on skeletal muscle blood flow, O2 extraction and O2 uptake on-kinetics. J. Physiol. 590 (17), 4363–4376. doi:10.1113/jphysiol.2012.233064

PubMed Abstract | CrossRef Full Text | Google Scholar

Joyner M. J., Casey D. P. (2015). Regulation of increased blood flow (hyperemia) to muscles during exercise: a hierarchy of competing physiological needs. Physiol. Rev. 95 (2), 549–601. doi:10.1152/physrev.00035.2013

PubMed Abstract | CrossRef Full Text | Google Scholar

Kaminsky L. A., Arena R., Myers J. (2015). Reference standards for cardiorespiratory fitness measured with cardiopulmonary exercise testing: data from the fitness registry and the importance of exercise national database. Mayo Clin. Proc. 90 (11), 1515–1523. doi:10.1016/j.mayocp.2015.07.026

PubMed Abstract | CrossRef Full Text | Google Scholar

Kilding A. E., Jones A. M. (2008). V02 “overshoot” during moderate-intensity exercise in endurance-trained athletes: the influence of exercise modality. Respir. Physiol. Neurobiol. 160 (2), 139–146. doi:10.1016/j.resp.2007.09.004

PubMed Abstract | CrossRef Full Text | Google Scholar

Koga S., Poole D. C., Shiojiri T., Kondo N., Fukuba Y., Miura A., et al. (2005). Comparison of oxygen uptake kinetics during knee extension and cycle exercise. Am. J. Physiol. - Regul. Integr. Comp. Physiol. 288, 212–220. doi:10.1152/ajpregu.00147.2004

PubMed Abstract | CrossRef Full Text | Google Scholar

Koppo K., Bouckaert J., Jones A. M. (2004a). Effects of training status and exercise intensity on phase II V˙O2 kinetics. Med. Sci. Sports Exerc 36 (2), 225–232. doi:10.1249/01.MSS.0000113473.48220.20

PubMed Abstract | CrossRef Full Text | Google Scholar

Koppo K., Whipp B. J., Jones A. M., Aeyels D., Bouckaert J. (2004b). Overshoot in VO2 following the onset of moderate-intensity cycle exercise in trained cyclists. Eur. J. Appl. Physiol. 93 (3), 366–373. doi:10.1007/s00421-004-1229-8

PubMed Abstract | CrossRef Full Text | Google Scholar

Korzeniewski B., Rossiter H. B. (2015). Each-step activation of oxidative phosphorylation is necessary to explain muscle metabolic kinetic responses to exercise and recovery in humans. J. Physiol. 593 (24), 5255–5268. doi:10.1113/JP271299

PubMed Abstract | CrossRef Full Text | Google Scholar

Korzeniewski B., Zoladz J. A. (2003). Training-induced adaptation of oxidative phosphorylation in skeletal muscles. Biochem. J. 374 (1), 37–40. doi:10.1042/BJ20030526

PubMed Abstract | CrossRef Full Text | Google Scholar

Love L. K., Hodgson M. D., Keir D. A., Kowalchuk J. M. (2023). The effect of increasing work rate amplitudes from a common metabolic baseline on the kinetic response of V O2p, blood flow, and muscle deoxygenation. J. Appl. Physiol. 135 (3), 584–600. doi:10.1152/japplphysiol.00566.2022

PubMed Abstract | CrossRef Full Text | Google Scholar

Macdonald M. J., Shoemaker J. K., Tschakovsky M. E., Hughson R. L. (1998). Alveolar oxygen uptake and femoral artery blood flow dynamics in upright and supine leg exercise in humans. J. Appl. Physiol. 85 (5), 1622–1628. doi:10.1152/jappl.1998.85.5.1622

PubMed Abstract | CrossRef Full Text | Google Scholar

MacPhee S. L., Shoemaker J. K., Paterson D. H., Kowalchuk J. M. (2005). Kinetics of O2 uptake, leg blood flow, and muscle deoxygenation are slowed in the upper compared with lower region of the moderate-intensity exercise domain. J. Appl. Physiol. 99 (5), 1822–1834. doi:10.1152/japplphysiol.01183.2004

PubMed Abstract | CrossRef Full Text | Google Scholar

Margaria R., Cerretelli P., diPrampero P. E., Massari C., Torelli G. (1963). Kinetics and mechanism of oxygen debt contraction in man. J. Appl. Physiol. 18 (2), 371–377. doi:10.1152/jappl.1963.18.2.371

PubMed Abstract | CrossRef Full Text | Google Scholar

Margaria R., Manglli F., Cuttica F., Cerretelli P. (1965). The kinetics of the oxygen consumption at the onset of muscular exercise in man. Ergonomics 8 (1), 49–54. doi:10.1080/00140136508930773

CrossRef Full Text | Google Scholar

Marinari G., Trama R., Zagatto A. M., Iannetta D., Murias J. M. (2025). Oxygen uptake dynamics conform to acute changes in muscle excitation and total hemoglobin concentration during constant-work rate exercise. Med. Sci. Sport Exerc 57 (8), 1690–1701. doi:10.1249/MSS.0000000000003700

CrossRef Full Text | Google Scholar

Murgatroyd S. R., Ferguson C., Ward S. A., Whipp B. J., Rossiter H. B. (2011). Pulmonary O2 uptake kinetics as a determinant of high-intensity exercise tolerance in humans. J. Appl. Physiol. 110 (6), 1598–1606. doi:10.1152/japplphysiol.01092.2010

PubMed Abstract | CrossRef Full Text | Google Scholar

Murias J. M., Spencer M. D., Kowalchuk J. M., Paterson D. H. (2011a). Muscle deoxygenation to VO₂ relationship differs in young subjects with varying τVO₂. Eur. J. Appl. Physiol. 111 (12), 3107–3118. doi:10.1007/s00421-011-1937-9

PubMed Abstract | CrossRef Full Text | Google Scholar

Murias J. M., Kowalchuk J. M., Paterson D. H. (2011b). Speeding of VO2 kinetics in response to endurance-training in older and young women. Eur. J. Appl. Physiol. 111 (2), 235–243. doi:10.1007/s00421-010-1649-6

PubMed Abstract | CrossRef Full Text | Google Scholar

Murias J. M., Spencer M. D., DeLorey D. S., Gurd B. J., Kowalchuk J. M., Paterson D. H. (2011c). Speeding of VO2 kinetics during moderate-intensity exercise subsequent to heavy-intensity exercise is associated with improved local O 2 distribution. J. Appl. Physiol. 111 (5), 1410–1415. doi:10.1152/japplphysiol.00607.2011

PubMed Abstract | CrossRef Full Text | Google Scholar

Murias J. M., Spencer M. D., Paterson D. H. (2014). The critical role of O2 provision in the dynamic adjustment of oxidative phosphorylation. Exerc Sport Sci. Rev. 42 (1), 4–11. doi:10.1249/JES.0000000000000005

PubMed Abstract | CrossRef Full Text | Google Scholar

Norris S. R., Petersen S. R. (1998). Effects of endurance training on transient oxygen uptake responses in cyclists. J. Sports Sci. 16 (8), 733–738. doi:10.1080/026404198366362

PubMed Abstract | CrossRef Full Text | Google Scholar

Nyberg S. K., Berg O. K., Helgerud J., Wang E. (2017). Blood flow regulation and oxygen uptake during high-intensity forearm exercise. J. Appl. Physiol. 122 (4), 907–917. doi:10.1152/japplphysiol.00983.2016

PubMed Abstract | CrossRef Full Text | Google Scholar

Paterson N. D., Kowalchuk J. M., Paterson D. H. (2005). Kinetics of V˙O2 and femoral artery blood flow during heavy-intensity, knee-extension exercise. J. Appl. Physiol. 99 (2), 683–690. doi:10.1152/japplphysiol.00707.2004

PubMed Abstract | CrossRef Full Text | Google Scholar

Pittman R. N. (2011). Oxygen gradients in the microcirculation. Acta Physiol. (Oxf) 202 (3), 311–322. doi:10.1111/j.1748-1716.2010.02232.x

PubMed Abstract | CrossRef Full Text | Google Scholar

Pittman R. N. (2016). “Regulation of tissue oxygenation,” in Colloquium series on integrated systems physiology: from molecule to function.

Google Scholar

Poole D. C., Jones A. M. (2012). Oxygen uptake kinetics. Compr. Physiol. 2 (2), 933–996. doi:10.1002/cphy.c100072

PubMed Abstract | CrossRef Full Text | Google Scholar

Poole D. C., Musch T. I. (2023). Capillary-mitochondrial oxygen transport in muscle: paradigm shifts. Function 4 (3), zqad013–zqad026. doi:10.1093/function/zqad013

PubMed Abstract | CrossRef Full Text | Google Scholar

Poole D. C., Ferreira L. F., Behnke B. J., Barstow T. J., Jones A. M. (2007). The final frontier: oxygen flux into muscle at exercise onset. Exerc Sport Sci. Rev. 35 (4), 166–173. doi:10.1097/jes.0b013e318156e4ac

PubMed Abstract | CrossRef Full Text | Google Scholar

Poole D. C., Copp S. W., Hirai D. M., Musch T. I. (2011). Dynamics of muscle microcirculatory and blood-myocyte O(2) flux during contractions. Acta Physiol. (Oxf) 202 (3), 293–310. doi:10.1111/j.1748-1716.2010.02246.x

PubMed Abstract | CrossRef Full Text | Google Scholar

Poole D. C., Musch T. I., Colburn T. D. (2022). Oxygen flux from capillary to mitochondria: integration of contemporary discoveries. Eur. J. Appl. Physiol. 122 (1), 7–28. doi:10.1007/s00421-021-04854-7

PubMed Abstract | CrossRef Full Text | Google Scholar

Powers S. K., Dodd S., Beadle R. E. (1985). Oxygen uptake kinetics in trained athletes differing in VO2max. Eur. J. Appl. Physiol. Occup. Physiol. 54 (3), 306–308. doi:10.1007/BF00426150

PubMed Abstract | CrossRef Full Text | Google Scholar

Rådegran G., Saltin B. (2000). Human femoral artery diameter in relation to knee extensor muscle mass, peak blood flow, and oxygen uptake. Am. J. Physiol. - Hear Circ. Physiol. 278 (1 47-1), 162–167. doi:10.1152/ajpheart.2000.278.1.H162

PubMed Abstract | CrossRef Full Text | Google Scholar

Rossiter H. B. (2011). Exercise: kinetic considerations for gas exchange. Compr. Physiol. 1 (1), 203–244. doi:10.1002/cphy.c090010

PubMed Abstract | CrossRef Full Text | Google Scholar

Rossiter H. B., Ward S. A., Kowalchuk J. M., Howe F. A., Griffiths J. R., Whipp B. J. (2001). Effects of prior exercise on oxygen uptake and phosphocreatine kinetics during high-intensity knee-extension exercise in humans. J. Physiol. 537 (Pt 1), 291–303. doi:10.1111/j.1469-7793.2001.0291k.x

PubMed Abstract | CrossRef Full Text | Google Scholar

Schlup S. J., Ade C. J., Broxterman R. M., Barstow T. J. (2015). Discrepancy between femoral and capillary blood flow kinetics during knee extension exercise. Respir. Physiol. Neurobiol. 219, 69–77. doi:10.1016/j.resp.2015.08.005

PubMed Abstract | CrossRef Full Text | Google Scholar

Zoladz J. A., Majerczak J., Grassi B., Szkutnik Z., Korostyński M., Gołda S., et al. (2016). Mechanisms of attenuation of pulmonary V’O2 slow component in humans after prolonged endurance training. PLOS One. doi:10.1371/journal.pone.0154135

PubMed Abstract | CrossRef Full Text | Google Scholar

Keywords: maximal oxygen uptake, aerobic fitness, oxygen uptake kinetics, blood flow kinetics, deoxyhemoglobin kinetics, oxidative phosphorylation, oxygen delivery

Citation: Marinari G and DeLorey DS (2025) V˙O2max and the kinetics of V˙O2, muscle oxygen delivery, and muscle deoxygenation. Front. Physiol. 16:1656980. doi: 10.3389/fphys.2025.1656980

Received: 30 June 2025; Accepted: 28 October 2025;
Published: 11 December 2025.

Edited by:

Giuseppe D'Antona, University of Pavia, Italy

Reviewed by:

Salvador Romero-Arenas, Universidad Católica San Antonio de Murcia, Spain
Bruno Grassi, University of Udine, Italy

Copyright © 2025 Marinari and DeLorey. This is an open-access article distributed under the terms of the Creative Commons Attribution License (CC BY). The use, distribution or reproduction in other forums is permitted, provided the original author(s) and the copyright owner(s) are credited and that the original publication in this journal is cited, in accordance with accepted academic practice. No use, distribution or reproduction is permitted which does not comply with these terms.

*Correspondence: Darren S. DeLorey, ZGRlbG9yZXlAdWFsYmVydGEuY2E=

Disclaimer: All claims expressed in this article are solely those of the authors and do not necessarily represent those of their affiliated organizations, or those of the publisher, the editors and the reviewers. Any product that may be evaluated in this article or claim that may be made by its manufacturer is not guaranteed or endorsed by the publisher.