ORIGINAL RESEARCH article
Front. Physiol.
Sec. Exercise Physiology
Muscle oxygen consumption and microvascular function in healthy aging: The role of adipose tissue thickness and physical fitness
Provisionally accepted- Department of Neuromedicine and Movement Science, Norwegian University of Science and Technology, Trondheim, Norway
Select one of your emails
You have multiple emails registered with Frontiers:
Notify me on publication
Please enter your email address:
If you already have an account, please login
You don't have a Frontiers account ? You can register here
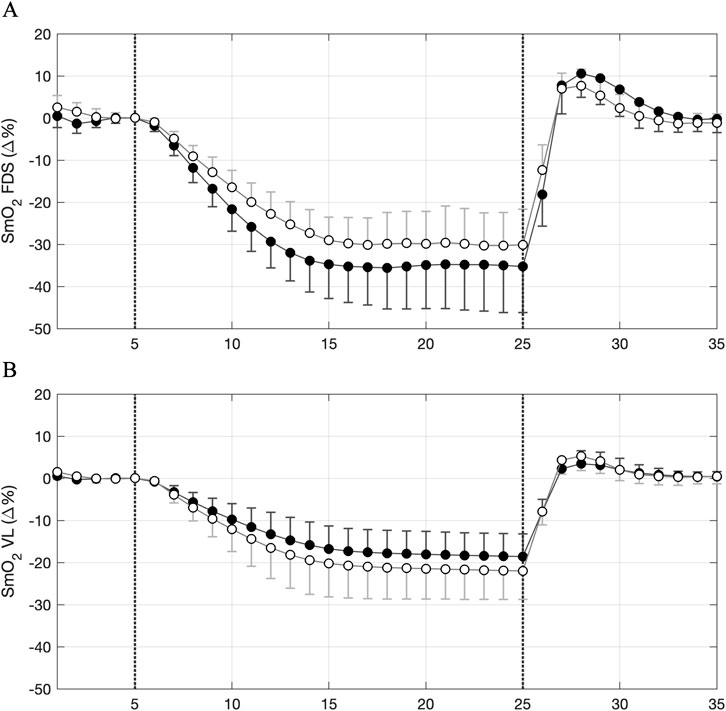
A decline in skeletal muscle function is a key factor contributing to reduced functional capacity and quality of life with aging. While the mechanisms are multifactorial, impairments in mitochondrial and microvascular function play a central role. Near-infrared spectroscopy (NIRS) is a promising tool for identifying aging biomarkers and evaluating interventions to preserve muscle health. However, aging coincides with reduced physical fitness due to lifestyle changes, while age-related changes in body composition further complicate biomarker identification using NIRS. This study investigated aging effects on microvascular and mitochondrial function in healthy adults and explored how physical performance and body composition influence these functions. Eighteen healthy young adults (25.8 ± 2.3 yrs) and eighteen healthy older adults (69.8 ± 6.0 yrs) participated. Mitochondrial and microvascular function in arm and leg muscles were simultaneously measured using NIRS during and following vascular occlusion. Physical fitness was evaluated through graded cycling and handgrip tests, and body composition by skinfold thickness and bioimpedance analysis. Data were analyzed using repeated measures ANOVA and multiple regression analysis. Although baseline muscle oxygen saturation (SmO₂) was significantly lower in older adults (FDS: 62.8 ± 1.5% vs. 66.6 ± 1.5%; VL: 73.9 ± 2.9% vs. 79.5 ± 2.2%; both P < 0.001), no significant group differences were found in muscle oxygen consumption (mVO₂), reperfusion rate (RR), or desaturation/resaturation responses. A significant interaction between muscle and age suggested muscle-specific age-related differences. Multiple regression analysis using forward selection revealed age as a moderate predictor of forearm mVO₂, explaining 20.3% of the variance, while adipose tissue thickness (ATT) was the strongest predictor of leg mVO₂, explaining 53.9% of the variance. Although the regression analyses should be considered exploratory and interpreted with caution, given the limited sample size and use of forward selection, these findings highlight the complexity of investigating aging effects on muscle function and underscore the importance of accounting for individual fitness and body composition, particularly local ATT, when interpreting NIRS data. To accurately assess age-related differences, future studies should report detailed information on both factors. Addressing these confounders is essential for understanding the physiological impact of aging on muscle function measured by NIRS.
Keywords: near-infrared spectroscopy, Aging, muscle oxygen consumption, Microvascular function, Adipose tissue thickness, Physical Fitness, vascular occlusion, post-occlusion reactive hyperemia
Received: 04 Jul 2025; Accepted: 11 Nov 2025.
Copyright: © 2025 Van Beekvelt, Wilson and Parviz Gaarden. This is an open-access article distributed under the terms of the Creative Commons Attribution License (CC BY). The use, distribution or reproduction in other forums is permitted, provided the original author(s) or licensor are credited and that the original publication in this journal is cited, in accordance with accepted academic practice. No use, distribution or reproduction is permitted which does not comply with these terms.
* Correspondence: Mireille Van Beekvelt, mireille.van.beekvelt@ntnu.no
Disclaimer: All claims expressed in this article are solely those of the authors and do not necessarily represent those of their affiliated organizations, or those of the publisher, the editors and the reviewers. Any product that may be evaluated in this article or claim that may be made by its manufacturer is not guaranteed or endorsed by the publisher.
