ORIGINAL RESEARCH article
Front. Physiol.
Sec. Renal Physiology and Pathophysiology
Unraveling Hypoglycemia Risk During Hemodialysis: A Predictive Model from a Nested Case-Control Study
Provisionally accepted- 1Shandong University of Traditional Chinese Medicine Affiliated Hospital, Jinan, China
- 2Shandong Provincial Third Hospital, Jinan, China
- 3Reproductive Center of Integrated Medicine, Affiliated Hospital of Shandong University of Traditional Chinese Medicine, Jinan, China
Select one of your emails
You have multiple emails registered with Frontiers:
Notify me on publication
Please enter your email address:
If you already have an account, please login
You don't have a Frontiers account ? You can register here
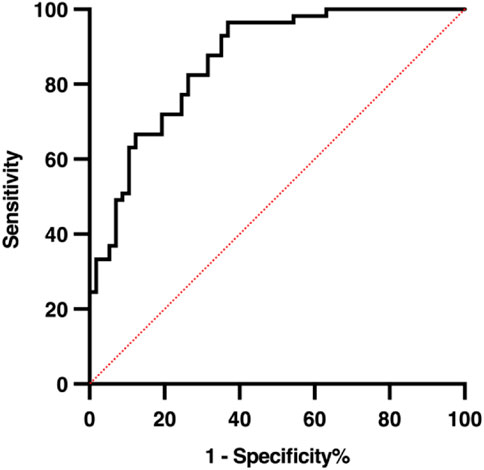
Background: Hemodialysis (HD) can significantly lower blood glucose levels, increasing the risk of hypoglycemia. The contributing factors are not fully understood. This study aimed to identify key risk factors for hypoglycemia during HD and develop a predictive model. Methods: A retrospective nested case-control study was conducted at the Third Hospital of Shandong Province from January 2020 to December 2023. Clinical and laboratory data were collected from electronic medical records and patient questionnaires. Univariate and multivariate analyses identified independent risk factors, and a predictive model was developed using stepwise logistic regression. Internal validation was performed using 10-fold stratified cross-validation, with model performance evaluated by mean area under the receiver operating characteristic curve (AUC), accuracy, sensitivity, and specificity. Results: Among 114 HD patients (57 cases, 57 controls), six independent risk factors were identified: afternoon HD session, presence of cardiovascular disease, and low levels of albumin (<37.35 g/L), creatinine (<828.65 μmol/L), urea (<28.05 mmol/L), and pre-dialysis blood glucose (<5.75 mmol/L). The predictive model demonstrated good internal validity with mean AUC 0.79, accuracy 0.71, sensitivity 0.64, and specificity 0.78, indicating stable discriminative performance. Conclusion: Six key risk factors for hypoglycemia during HD were identified, and a predictive model integrating disease status, HD timing, and laboratory markers was developed. Early identification of high-risk patients may help prevent hypoglycemic events and improve HD outcomes. Future studies should externally validate and refine this model for broader clinical application.
Keywords: hemodialysis, Hypoglycemia, Risk factors, cardiovascular disease, albumin, Blood Glucose, Internal validation, Cross-validation
Received: 07 Jul 2025; Accepted: 15 Oct 2025.
Copyright: © 2025 Sun, Ran, Li, Zan, Li and Lv. This is an open-access article distributed under the terms of the Creative Commons Attribution License (CC BY). The use, distribution or reproduction in other forums is permitted, provided the original author(s) or licensor are credited and that the original publication in this journal is cited, in accordance with accepted academic practice. No use, distribution or reproduction is permitted which does not comply with these terms.
* Correspondence: Wei Li, weili700@outlook.com
Disclaimer: All claims expressed in this article are solely those of the authors and do not necessarily represent those of their affiliated organizations, or those of the publisher, the editors and the reviewers. Any product that may be evaluated in this article or claim that may be made by its manufacturer is not guaranteed or endorsed by the publisher.
