SYSTEMATIC REVIEW article
Front. Physiol.
Sec. Gastrointestinal Sciences
Association between body mass index at different levels and risk of gastroesophageal reflux disease: A systematic review with dose-response meta-analysis
Provisionally accepted- 1Graduate School of China Academy of Chinese Medical Sciences, Beijing, China
- 2Graduate School, Beijing University of Traditional Chinese Medicine, Beijing, China
- 3Institute of Digestive Diseases, Xiyuan Hospital of China Academy of Chinese Medical Sciences, Beijing, China
Select one of your emails
You have multiple emails registered with Frontiers:
Notify me on publication
Please enter your email address:
If you already have an account, please login
You don't have a Frontiers account ? You can register here
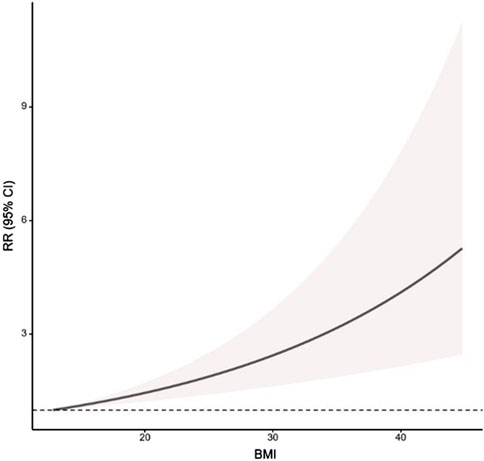
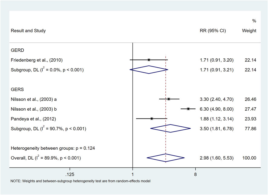
Objective: Although obesity is widely reported as an established risk factor for gastroesophageal reflux disease (GERD), divergent findings exist across studies. To address the problems of obsolete data and conflicting findings in previous studies, we conducted a systematic review and meta-analysis to explore the association between body mass index (BMI) and GERD. Methods: We searched Pubmed, Embase, Cochrane Library, and Web of Science for relevant studies, and obtained the prevalence of symptomatic gastroesophageal reflux (symptomatic GER) or GERD from the original studies for the different BMI groups. International BMI cut-off points were adopted to define underweight, overweight, and obesity. Meta-analysis of this association was performed by calculating the combined relative risk (RR) and 95% confidence intervals (95% CI) using a random-effects model. In addition, subgroup and dose-response analyses were performed to explore subgroup differences and the association between BMI and GERD. Results: Analysis of 43 papers (39 cross-sectional studies, 4 case-control studies) with a total of 484,219 study participants showed that BMI was associated with the risk of symptomatic GER ( RR = 2.041, 95 % CI: 1.507-2.763) and GERD ( RR = 1.374, 95 % CI: 1.260-1.499). The results of the meta-analysis across different BMI groups suggest that, overweight (BMI ≥25 kg/m²) was an important inflection point for the risk of the diseases. In subgroup analyses comparing obese and non-obese populations, we incorporated other obesity diagnostic indicators and found that these might be a significant source of heterogeneity (p = 0.015). Dose-response analysis showed that for every 10 kg/m2 increase in BMI, the risk of prevalence of gastroesophageal reflux disease increased by 68% (RR = 1.681, 95 % CI: 1.326-2.131). Conclusion: Elevated BMI increases the risk of symptomatic GER and GERD, and BMI is positively and linearly correlated with the risk of GERD. Overweight is an important inflection point for disease risk. High-quality prospective cohort studies are needed to explore the causality between the two factors and underlying mechanisms in the future.
Keywords: body mass index1, BMI2, obesity3, gastroesophageal reflux disease4, prevalence5, Systematic review6
Received: 01 Aug 2025; Accepted: 30 Oct 2025.
Copyright: © 2025 Mao, Zhang, Lanshuo, Zhang, An, Zhao and Tang. This is an open-access article distributed under the terms of the Creative Commons Attribution License (CC BY). The use, distribution or reproduction in other forums is permitted, provided the original author(s) or licensor are credited and that the original publication in this journal is cited, in accordance with accepted academic practice. No use, distribution or reproduction is permitted which does not comply with these terms.
* Correspondence: 
Yingpan  Zhao, xyyy_zyp@163.com
Xu Dong  Tang, txdly@sina.com
Disclaimer: All claims expressed in this article are solely those of the authors and do not necessarily represent those of their affiliated organizations, or those of the publisher, the editors and the reviewers. Any product that may be evaluated in this article or claim that may be made by its manufacturer is not guaranteed or endorsed by the publisher.
