ORIGINAL RESEARCH article
Front. Physiol.
Sec. Environmental, Aviation and Space Physiology
This article is part of the Research TopicImmuno-physiological Responses in Extreme EnvironmentsView all articles
Cold-induced stress responses during a self-rescue exercise from accidental immersion in ice water in military personnel
Provisionally accepted- 1Department of Anesthesiology, Intensive Care Medicine, Emergency Medicine and Pain Therapy, Bundeswehrkrankenhaus Ulm, Ulm, Germany
- 2Polizei Baden-Wurttemberg Landespolizeiprasidium, Stuttgart, Germany
- 3Schifffahrtmedizinisches Institut der Marine, Kronshagen, Germany
- 4Department of Anesthesiology, Intensive Care Medicine, Emergency Medicine and Pain Therapy, Bundeswehrkrankenhaus, Ulm, Germany
- 5Centre Hospitalier Universitaire d'Angers Service de Medecine Intensive-reanimation et Medecine Hyperbare, Angers, France
- 6Universitatsklinikum Ulm Klinik fur Anasthesiologie und Intensivmedizin, Ulm, Germany
- 7Mountain Infantry Brigade 23, Medical Service of the German Armed Forces, Bad Reichenhall, Sanitatsdienst der Bundeswehr, Munich, Germany
Select one of your emails
You have multiple emails registered with Frontiers:
Notify me on publication
Please enter your email address:
If you already have an account, please login
You don't have a Frontiers account ? You can register here
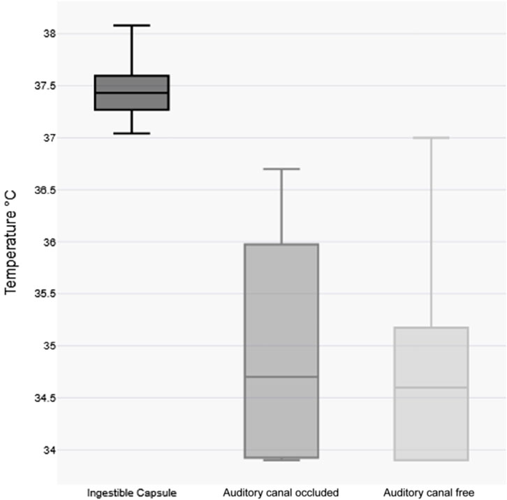
Introduction Cold-water immersion induces autonomic stress responses including sympathetic cold shock and parasympathetic diving and trigeminovagal reflexes, potentially leading to arrhythmias or bronchospasm. Another important complication of Cold-water immersion is hypothermia. This study evaluates physiological responses during ice-self-rescue training to assess safety and temperature monitoring accuracy. Methods We conducted a prospective observational cohort study of 80 healthy Mountain Infantry soldiers during a standardized ice-self-rescue training in Norway (air temperature -10°C). Participants underwent partial immersion (0.5°C water) resulting in transitory submersion (< 5 sec). They were equipped with with continuous 3-lead ECG (n=34) spirometry (n=26), and core temperature monitoring (ingestible telemetric capsule (n=23) versus bilateral tympanic thermometry with and without ear channel occlusion (n=34). Primary outcomes included cardiac rhythm changes, lung function parameters and temperature measurement agreement. Results ECG analysis revealed significant post-immersion tachycardia (median increase of 17 bpm, p=0.03) and increased RR-interval variability (+90 ms, p<0.01), without malignant arrhythmias. Spirometry showed no clinically significant changes in FVC or FEV₁ and peak expiratory flow. Tympanic readings underestimated core temperature post-immersion (median difference -2.8°C versus capsules, p<0.01), with ear canal occlusion did not improve accuracy (p=0.15). Conclusions Supervised cold-water immersion during military training exercise elicited expected autonomic stress responses without life-threatening complications in healthy soldiers. These findings suggest structured cold-water training can be safely conducted for fit individuals. Tympanic thermometry proved unreliable following immersion, even after ear channel occlusion. Ingestible capsule thermometry may be a more viable approach if invasive measurement is not possible.
Keywords: cold stress, Immersion, Cold shock response, Autonomic conflict, diving reflex, trigeminocardiac reflex, Hypothermia, Tympanic temperature
Received: 04 Aug 2025; Accepted: 30 Oct 2025.
Copyright: © 2025 Beres, Lechner, Koch, August, Radermacher, Kulla and Staps. This is an open-access article distributed under the terms of the Creative Commons Attribution License (CC BY). The use, distribution or reproduction in other forums is permitted, provided the original author(s) or licensor are credited and that the original publication in this journal is cited, in accordance with accepted academic practice. No use, distribution or reproduction is permitted which does not comply with these terms.
* Correspondence: Yannick  Beres, yannick.beres@uni-ulm.de
Disclaimer: All claims expressed in this article are solely those of the authors and do not necessarily represent those of their affiliated organizations, or those of the publisher, the editors and the reviewers. Any product that may be evaluated in this article or claim that may be made by its manufacturer is not guaranteed or endorsed by the publisher.
