ORIGINAL RESEARCH article
Front. Physiol.
Sec. Exercise Physiology
This article is part of the Research TopicNeurophysiological Basis of the Relationship between Core Stability and Human Movement: Implications for Sport and RehabilitationView all 13 articles
Sensory reweighting for postural stability in individuals with low vision and blindness: balance adaptation and muscle co-contraction
Provisionally accepted- Beijing Sport University, Beijing, China
Select one of your emails
You have multiple emails registered with Frontiers:
Notify me on publication
Please enter your email address:
If you already have an account, please login
You don't have a Frontiers account ? You can register here
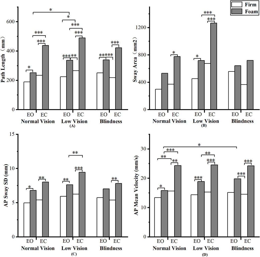
Background: Individuals with visual impairments frequently experience postural instability during daily activities, considerably increasing the risk of falls. However, the mechanisms by which visually impaired individuals maintain balance through sensory reweighting remain unclear. We therefore aimed to investigate sensory reweighting for postural control in individuals with low vision and blindness by integrating measures of postural performance, biomechanical forces, and muscle co-contraction. Methods: Seventy-four participants were recruited (19 participants with normal vision, 36 participants with low vision, and 19 participants being blind). Each participant completed postural tasks under two conditions: open/closed eyes and firm/foam surfaces. Postural performance was evaluated with single-leg and tandem stance durations. The center of pressure (COP) during bipedal stance was collected using a force platform. Simultaneously, integrated EMG was acquired via wireless surface electromyography from six dominant-side muscles: erector spinae, rectus abdominis, rectus femoris, biceps femoris, tibialis anterior, and gastrocnemius. Results: We observed significant group × vision interactions for COP Path Length and Sway Area. The blind group exhibited the highest AP_HF% on a firm surface, confirming that individuals with visual impairment exhibit somatosensory compensation to maintain postural control. Individuals with low vision presented heightened sensitivity to partial sensory deprivation, with significantly increased Path Length and Sway Velocity. Additionally, a significant interaction between vision and somatosensation was observed, along with significant main effects of vision and somatosensation of all COP parameters. Muscle activity further supported these findings. The rectus abdominis/erector spinae ratio decreased significantly with somatosensory deprivation, whereas the gastrocnemius/tibialis anterior co-contraction index increased significantly under both visual and somatosensory deprivation, with higher co-contraction observed in both low-vision and blind participants. Conclusion: Blind individuals rely primarily on somatosensory input for sensory reweighting, while those with low vision show impaired compensation due to residual vision, resulting in the most impaired postural control. Ankle muscle co-contraction serves as the primary strategy for maintaining postural stability in visually impaired individuals.
Keywords: posture control, Sensory reweighting, visual impairment, Muscle Co-contraction, Center of pressure
Received: 12 Aug 2025; Accepted: 30 Oct 2025.
Copyright: © 2025 Li, HOU, Zhang and Wang. This is an open-access article distributed under the terms of the Creative Commons Attribution License (CC BY). The use, distribution or reproduction in other forums is permitted, provided the original author(s) or licensor are credited and that the original publication in this journal is cited, in accordance with accepted academic practice. No use, distribution or reproduction is permitted which does not comply with these terms.
* Correspondence: Shilun  HOU, houshilun@bsu.edu.cn
Disclaimer: All claims expressed in this article are solely those of the authors and do not necessarily represent those of their affiliated organizations, or those of the publisher, the editors and the reviewers. Any product that may be evaluated in this article or claim that may be made by its manufacturer is not guaranteed or endorsed by the publisher.
