ORIGINAL RESEARCH article
Front. Physiol.
Sec. Exercise Physiology
This article is part of the Research TopicNeurophysiological Basis of the Relationship between Core Stability and Human Movement: Implications for Sport and RehabilitationView all 15 articles
Postural Control and Neuromuscular Activation during Balance in Elite Chinese Martial Artists and Sprinters
Provisionally accepted- 1China Institute of Sport Science, Beijing, China
- 2Tsinghua University Division of Sports Science and Physical Education, Beijing, China
- 3School of Physical Education, Qingdao University, Qingdao, China
Select one of your emails
You have multiple emails registered with Frontiers:
Notify me on publication
Please enter your email address:
If you already have an account, please login
You don't have a Frontiers account ? You can register here
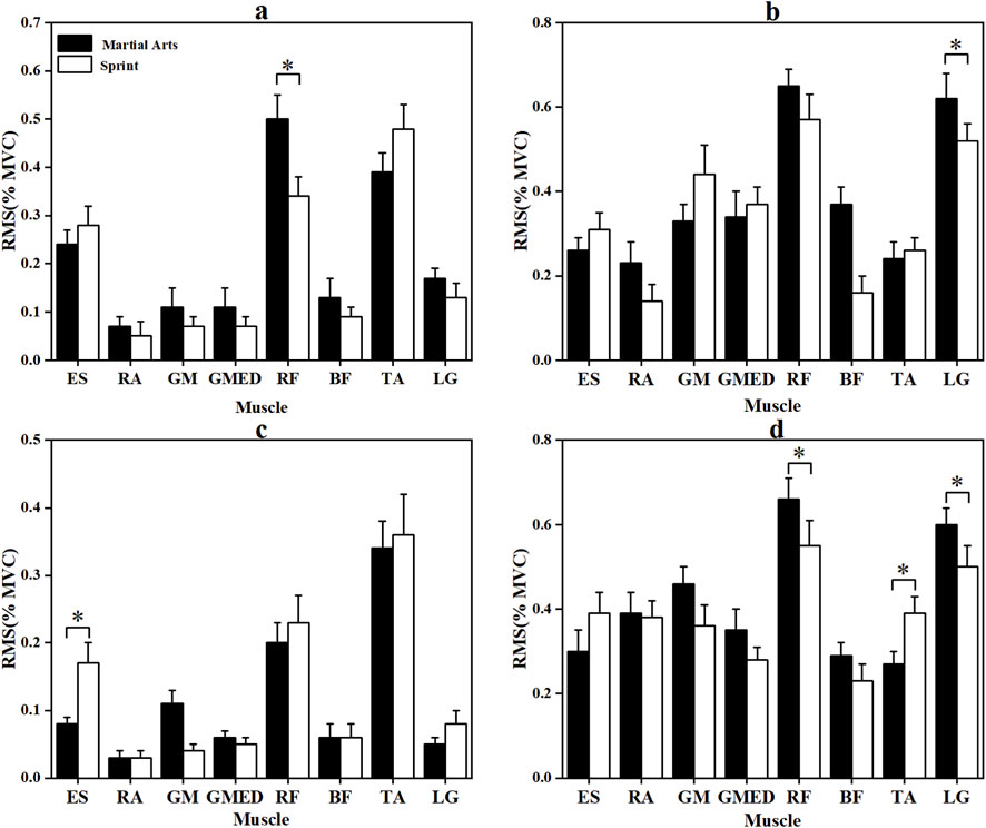
Postural control integrates core stability, coordination, and balance shaped by specific training. Sprinting emphasizes stretch–shortening-cycle power and trunk extensor use, whereas Chinese martial arts stress multiplanar core–hip control. Yet rigorous comparisons in elite athletes that pair functional performance with time-synchronized surface electromyography are scarce, limiting insight into how long-term training sculpts neuromuscular strategies when fundamental movement capacity appears similar. This study compares elite martial artists and sprinters to delineate differences in core stability, dynamic balance, explosive power, and task-specific muscle activation, informing conditioning and cross-training. Methods: Thirty-two first-level male athletes from Beijing Sport University (martial arts/sprinting, n = 16) participated in a cross-sectional study. Assessments included the Functional Movement Screen (FMS), countermovement jump (CMJ), squat jump (SJ), and Y-Balance Test (YBT), administered in a Latin-square order. Surface Electromyography (sEMG) was collected from eight trunk and lower-limb muscles, normalized to maximum voluntary contraction. Jumps were segmented into pre-squat and extension phases, and YBT into squat and recovery phases. Statistical analyses employed normality and homogeneity tests, with independent-samples t-tests, Welch's tests, or Mann– Whitney U tests as appropriate (α = 0.05). Results: No significant group differences emerged in overall FMS or YBT reach distances; however, martial artists scored higher on the Trunk Stability Push-up (p = 0.013). Sprinters achieved greater CMJ height and relative peak power (p < 0.05, d ≈ 0.83–0.87), whereas SJ outcomes did not differ. sEMG analysis showed higher rectus femoris and lateral gastrocnemius RMS and greater rectus abdominis iEMG (pre-squat) in martial artists, while sprinters exhibited higher erector spinae and gluteus maximus iEMG. During YBT, sprinters relied on rapid spinal extensor activation with partial gluteus medius compensation, whereas martial artists demonstrated integrated core–lower-limb coordination. Conclusion: Martial artists and sprinters exhibit comparable functional movement and dynamic balance but diverge in core stability and neuromuscular strategies. Martial arts training enhances multiplanar core stability and coordinated muscle recruitment, while sprinting emphasizes stretch–shortening-cycle based explosive output and trunk extensor reliance. These findings provide evidence for targeted conditioning and potential cross-disciplinary training applications.
Keywords: core stability, Neuromuscular activation, FMS, Vertical jump, Y balance tests
Received: 08 Sep 2025; Accepted: 13 Nov 2025.
Copyright: © 2025 Zhu, Wei, Song, Zhao and chen. This is an open-access article distributed under the terms of the Creative Commons Attribution License (CC BY). The use, distribution or reproduction in other forums is permitted, provided the original author(s) or licensor are credited and that the original publication in this journal is cited, in accordance with accepted academic practice. No use, distribution or reproduction is permitted which does not comply with these terms.
* Correspondence: xiaoping chen, chenxiaoping@ciss.cn
Disclaimer: All claims expressed in this article are solely those of the authors and do not necessarily represent those of their affiliated organizations, or those of the publisher, the editors and the reviewers. Any product that may be evaluated in this article or claim that may be made by its manufacturer is not guaranteed or endorsed by the publisher.
