ORIGINAL RESEARCH article
Front. Physiol.
Sec. Exercise Physiology
Comparative Analysis of Foam-Only Versus Carbon-Plated Advanced Footwear Technology Spikes in Distance Runners
Provisionally accepted- 1School of Sports Engineering, Beijing Sport University, Beijing, China
- 2AI Sports Engineering Lab, School of Sports Engineering, Beijing Sport University, Beijing, China
- 3Sports Data Center of China, Beijing Sport University, Beijing, China
- 4Physical Education Department, Shenyang Sport University, Shenyang, China
- 5Key Laboratory for Performance Training & Recovery of General Administration of Sport, Beijing Sport University, Beijing, China
- 6Engineering Research Center of Strength and Conditioning Training Key Core Technology Integrated System and Equipment, Ministry of Education, Beijing Sport University, Beijing, China
Select one of your emails
You have multiple emails registered with Frontiers:
Notify me on publication
Please enter your email address:
If you already have an account, please login
You don't have a Frontiers account ? You can register here
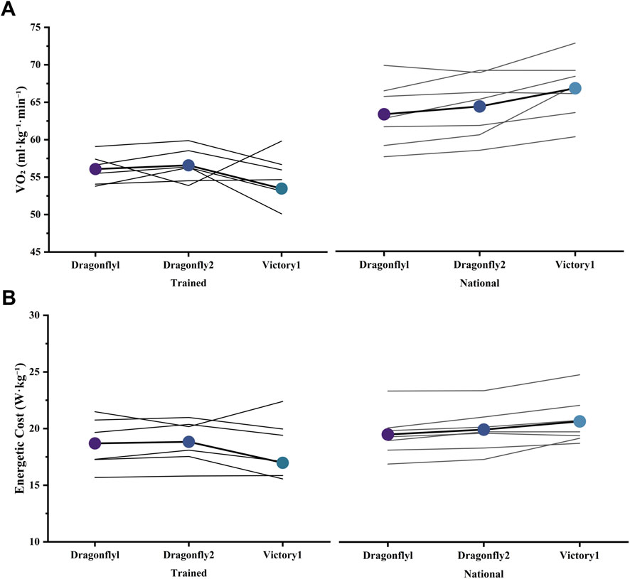
Background: Advanced footwear technology (AFT) spikes are commonly offered in two configurations: foam only and foam combined with a carbon fiber plate. Whether the plate provides additional metabolic or performance benefits over foam-only designs remains uncertain. Therefore, this study compared physiological, biomechanical, and perceptual responses to two commercially available AFT spikes (Nike ZoomX Dragonfly, foam only; Nike Air Zoom Victory, foam plus carbon plate) in trained and national-level distance runners. Methods: Thirteen male middle-and long-distance runners (trained, n = 6; national-level, n = 7) completed three randomized 1600-m submaximal trials on an outdoor track at 16 km·h⁻¹ (trained) or 18 km·h⁻¹ (national-level). Running economy (RE) was assessed using a portable gas analyzer (MetaMax 3B-R2); spatiotemporal gait variables were recorded with shoe-mounted sensors (RunScribeTM); and participants rated comfort, cushioning, and perceived performance on a 10-point Likert scale. Results: In the national-level group, both foam-only spikes (Dragonfly1, Dragonfly2) produced better RE than the carbon-plated model (Victory1), with no difference between the two foam-only versions. In the trained group, RE did not differ across spikes. Energetic cost paralleled the VO₂ findings. For gait parameters, stride length and step frequency were unchanged across conditions in both groups. Whereas contact time in the national-level group was longer in Dragonfly1 than in Dragonfly2 and Victory1, whereas Dragonfly2 and Victory1 did not differ; in the trained group, contact time was unchanged across spikes. Subjectively, across all participants, foam-only spikes were rated more comfortable and more cushioned, whereas perceived performance did not differ between models. Conclusion: At long-distance race paces, foam-only AFT spikes improved RE and were perceived as more comfortable than a plate-integrated spike in national-level athletes. Adding a carbon plate did not guarantee a metabolic benefit and may increase energetic cost when shoe stiffness exceeds an athlete-specific optimum. Spike selection, particularly for track events, should demystify carbon plates and prioritize the individualized selection of shoe stiffness and geometry matched to event distance, running speed, and athlete-specific biomechanics.
Keywords: advanced footwear technology, spikes, carbon fiber plate, Distance running, Running economy
Received: 12 Sep 2025; Accepted: 05 Nov 2025.
Copyright: © 2025 Wu, Zhang, Wang, Lu, Xing, Tian, He, Sun and Shen. This is an open-access article distributed under the terms of the Creative Commons Attribution License (CC BY). The use, distribution or reproduction in other forums is permitted, provided the original author(s) or licensor are credited and that the original publication in this journal is cited, in accordance with accepted academic practice. No use, distribution or reproduction is permitted which does not comply with these terms.
* Correspondence:
Lixin Sun, sunlixin@bsu.edu.cn
Yanfei Shen, syf@bsu.edu.cn
Disclaimer: All claims expressed in this article are solely those of the authors and do not necessarily represent those of their affiliated organizations, or those of the publisher, the editors and the reviewers. Any product that may be evaluated in this article or claim that may be made by its manufacturer is not guaranteed or endorsed by the publisher.
