ORIGINAL RESEARCH article
Front. Physiol.
Sec. Exercise Physiology
This article is part of the Research TopicPhysiological Aspects of Marathon Running, Volume IIView all articles
Advanced Footwear Technology in Well-Trained Athletes: Methodological Insights from Outdoor Running
Provisionally accepted- 1University of Zaragoza, Zaragoza, Spain
- 2GENUD research group, Zaragoza, Spain
- 3Heriot-Watt University, Edinburgh, United Kingdom
- 4Universidad San Jorge, Villanueva de Gállego, Spain
- 5Hong Kong Baptist University, Hong Kong, Hong Kong, SAR China
Select one of your emails
You have multiple emails registered with Frontiers:
Notify me on publication
Please enter your email address:
If you already have an account, please login
You don't have a Frontiers account ? You can register here
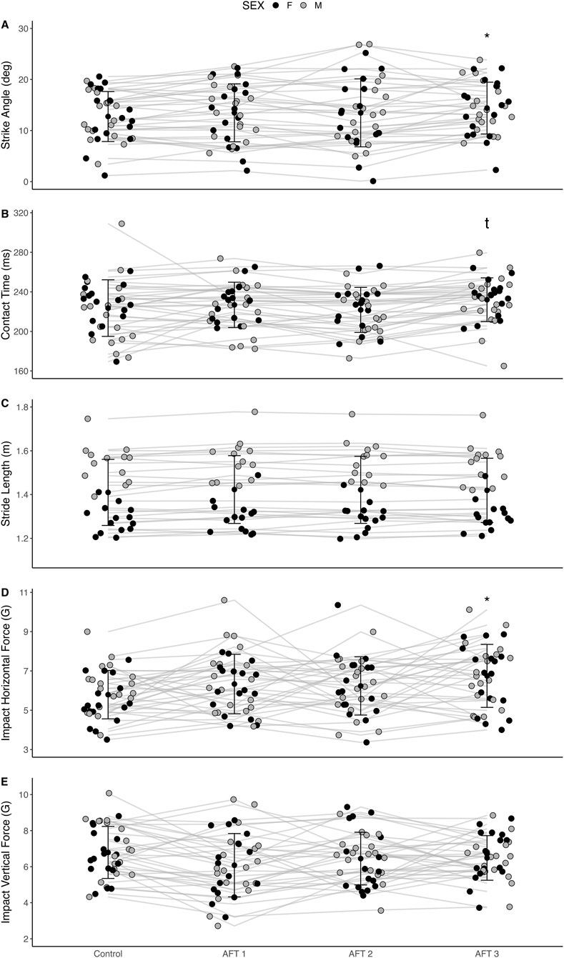
Background. Advanced footwear technology (AFT) is reported to elicit an approximate 4% average improvement in running economy (RE). However, a large inter-individual variability remains unexplained, and limited research examined the impact of AFT during outdoor running. The aim was to compare the physiological, biomechanical and perceptual responses of 36 well-trained athletes to running outdoors using three different AFT and a traditional racing shoe. Methods: Thirty-six well-trained athletes (19 males and 17 females) had their maximal aerobic capacity (V̇ O2max) and anaerobic threshold (AT) determined in laboratory conditions and were familiarised to the different shoe running conditions. Within seven days, athletes ran 4 x 6 min running bouts, paced outdoors at 95% of their individual AT with 10 min recovery, in three different AFT conditions and a traditional flat. Oxygen uptake (V̇ O2), heart rate, rating of perceived exertion (RPE), lactate, shoe perception, and biomechanical responses were compared between the four running trials. Results. No differences were observed in the RE between shoe conditions, with a great inter-individual variability (range: 12% impairment to 14% improvement in RE). This variability was accompanied by a significant V̇ O2 order effect across exercise bouts (bout 2 lower than one [-1.1 mL/kg/min, p= 0.002]; bout 3 lower than 2 [-0.8 mL/kg/min, p= 0.027]; no differences between bouts 3 and 4). This variability was likely due to methodological issues such as one squared-wave RE measurement per shoe condition or the lack of a mirrored experimental design, among others. There was no order effect in other physiological or biomechanical variables. No significant differences were found in lactate, heart rate or rate of perceived exertion between running trials. Biomechanical responses to the different shoe conditions were also highly variable. One of the advanced AFT shoes showed a greater strike angle (+2.07o; p= 0.001), with no other significant differences between shoes conditions. Conclusions. The large
Keywords: variability, Running economy, supershoes, records, methodological considerations, Order Effect
Received: 26 Sep 2025; Accepted: 19 Nov 2025.
Copyright: © 2025 Muniz-Pardos, Angeloudis, Zelenkova, Guppy, Marco-Contreras, Gomez-Bruton, Lozano-Berges, Pitsiladis and Casajus. This is an open-access article distributed under the terms of the Creative Commons Attribution License (CC BY). The use, distribution or reproduction in other forums is permitted, provided the original author(s) or licensor are credited and that the original publication in this journal is cited, in accordance with accepted academic practice. No use, distribution or reproduction is permitted which does not comply with these terms.
* Correspondence: Yannis Pitsiladis, ypitsiladis@hkbu.edu.hk
Disclaimer: All claims expressed in this article are solely those of the authors and do not necessarily represent those of their affiliated organizations, or those of the publisher, the editors and the reviewers. Any product that may be evaluated in this article or claim that may be made by its manufacturer is not guaranteed or endorsed by the publisher.
