ORIGINAL RESEARCH article
Front. Aging Neurosci.
Sec. Neuroinflammation and Neuropathy
This article is part of the Research TopicNeuroinflammation, Neurodegeneration, and Auditory-Vestibular DisordersView all 23 articles
Associations between the Red blood cell distribution width and 30d mortality in critically ill patients with delirium: a retrospective study using the MIMIC-IV database
Provisionally accepted- 1Department of Anesthesiology, The First People's Hospital of Shangqiu, Shangqiu, Henan, China, Shangqiu, China
- 2Department of Anesthesiology, Third Central Clinical College, Tianjin Medical University, Hedong, Tianjin, China
- 3Tianjin Key Laboratory of Extracorporeal Life Support for Critical Diseases, Tianjin, China., Tianjin, China
- 4Artificial Cell Engineering Technology Research Center, Tianjin, China., Tianjin, China
- 5Tianjin Institute of Hepatobiliary Disease, Tianjin Third Central Hospital, Tianjin, China
Select one of your emails
You have multiple emails registered with Frontiers:
Notify me on publication
Please enter your email address:
If you already have an account, please login
You don't have a Frontiers account ? You can register here
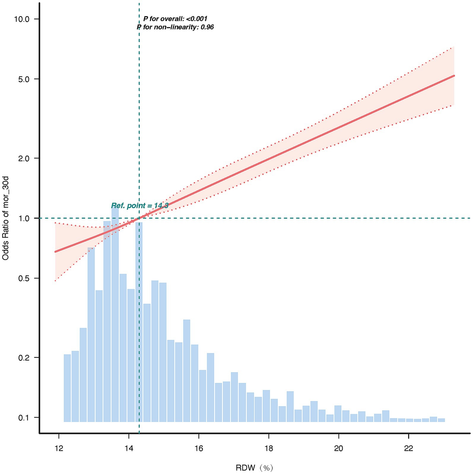
Background Red blood cell distribution width (RDW) is associated with increased mortality risk in critically ill patients. However, limited data are available for critically ill patients with delirium. Methods Data from The Multiparameter Intelligent Monitoring in Intensive Care Database IV (MIMIC-IV) version 3.1database were analyzed in this retrospective cohort research. The Confusion Assessment Method for the Intensive Care Unit (CAM-ICU) criteria were used to identify critically ill patients with delirium. The first value of RDW was extracted within the first 24 h after intensive care unit admission. The endpoint was 30-day all-cause mortality. Multivariable cox regression analysis was performed to examine the relationship between RDW and 30-day mortality. Age,Gender,myocardial infarct,congestive heart failure,peripheral vascular disease,dementia,cerebrovascular disease,chronic pulmonary disease, diabetes,sepsis,hemoglobin were considered for subgroup analysis. Results A total of 10,600 patients were included with mean (standard deviation) age of 67.0 (16.7) years, in which 6007 (56.7%) patients were men. The increase in RDW was correlated with an increased risk of 30-day mortality in the Cox proportional regression analysis model (Hazard Ratio[HR] 1.04; 95% confidence interval [CI] 1.03−1.04). In comparison with the low-RDW group, the middle and high-RDW groups tended to have higher risks of 30-day all-cause mortality (HR 1.54; [95% CI] [1.34−1.77]; HR2.25 [95% CI] [1.96−2.58]; P trend < 0.0001). Restricted cubic splines (RCS) analysis demonstrated linearity relationships between the RDW and 30d mortality. A Subgroup analyses using the entire cohort also demonstrated higher 30-day all-cause mortality Subgroup analyses across the entire cohort confirmed elevated 30-day all-cause mortality associated with higher red cell distribution width (RDW), with results aligning closely with Cox proportional regression findings. Conclusion An increase in RDW was associated with an increased risk of 30-day all-cause mortality in critically ill patients with delirium. The RDW may serve as a valid indicator for assessing the severity and guiding the treatment of delirium patients in the ICU.
Keywords: Delirium, Red blood cell distribution width, prognosis, All-cause mortality, mimic iv
Received: 25 Mar 2025; Accepted: 11 Nov 2025.
Copyright: © 2025 Ma, Lin, Zheng, Liu, Kong and Wang. This is an open-access article distributed under the terms of the Creative Commons Attribution License (CC BY). The use, distribution or reproduction in other forums is permitted, provided the original author(s) or licensor are credited and that the original publication in this journal is cited, in accordance with accepted academic practice. No use, distribution or reproduction is permitted which does not comply with these terms.
* Correspondence: Haiyun Wang, why819@163.com
Disclaimer: All claims expressed in this article are solely those of the authors and do not necessarily represent those of their affiliated organizations, or those of the publisher, the editors and the reviewers. Any product that may be evaluated in this article or claim that may be made by its manufacturer is not guaranteed or endorsed by the publisher.
