ORIGINAL RESEARCH article
Front. Aging Neurosci.
Sec. Alzheimer's Disease and Related Dementias
This article is part of the Research TopicMild cognitive impairment and cognitive agingView all 11 articles
Early Detection of Mild Cognitive Impairment Utilizing Ocular Biomarkers-Based Risk Scoring Nomogram
Provisionally accepted- 1Laboratory of Experimental Optometry (Neuroscience), School of Optometry, The Hong Kong Polytechnic University, 11 Yuk Choi Road, Hung Hom, Kowloon, Hong Kong SAR 000000, China, Kowloon, Hong Kong, SAR China
- 2Department of Counselling and Psychology, Hong Kong Shue Yan University, 10 Wai Tsui Crescent, Braemar Hill, North Point, Hong Kong Island, Hong Kong SAR 000000, China, Hong Kong Island, Hong Kong, SAR China
- 3School of Computer Science, University of Technology, No 201 Fenghua Road, Ningbo 315211, China, Ningbo, China
- 4Research Centre for SHARP Vision (RCSV), The Hong Kong Polytechnic University, 11 Yuk Choi Road, Hung Hom, Kowloon, Hong Kong SAR 000000, China, Kowloon, Hong Kong, SAR China
Select one of your emails
You have multiple emails registered with Frontiers:
Notify me on publication
Please enter your email address:
If you already have an account, please login
You don't have a Frontiers account ? You can register here
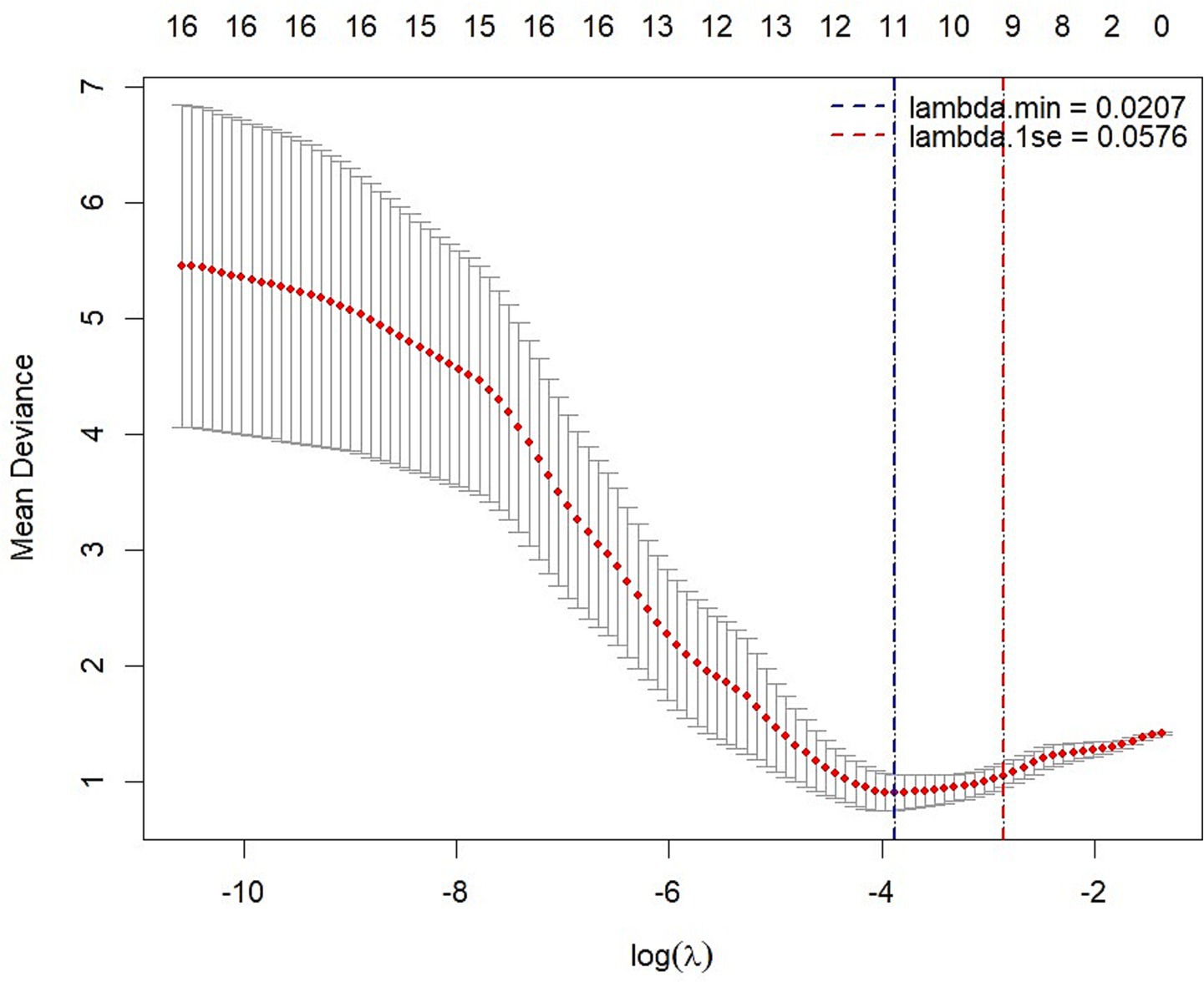
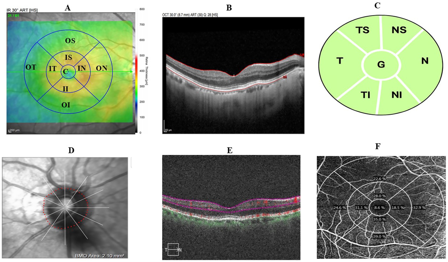
Background The prevalence of cognitive impairment is increasing along with global aging. Early retinal structural and vascular changes, prior to the onset of clinically detectable retinal pathologies, have been increasingly associated with cognitive changes. However, the evidence related to the predictive performance of these biomarkers remains limited. Therefore, this study aimed to develop and validate a nomogram-based scoring tool for opportunistic screening of mild cognitive impairment (MCI). Methods This study prospectively recruited participants aged 60 years or older, including those with normal cognitive function. The retinal images were scanned using optical coherence tomography and angiography. Following the selection of potential predictors, a logistic regression model was built to predict MCI. Subsequently, a dynamic nomogram was developed to facilitate risk scoring in a clinical setting. The model's discriminative ability was evaluated using the area under the receiver operating characteristic curve, along with diagnostic metrics of sensitivity and specificity at 95% confidence interval (CI). The model was internally validated using bootstrapping. Decision curve analysis was conducted to evaluate the model's clinical impact and utility. Results The model indicated that central macular thickness (β: -1.13; 95% CI: -0.15,-2.15; p < 0.05), outer nasal perfusion density in the macular area (β:1.68; 95% CI: -2.92, -0.44; p = 0.008), and contrast sensitivity (β: -1.13; 95% CI: -2.03, -0.23; p < 0.05) were independently associated with MCI. This nomogram demonstrated a discriminative power of 0.90 (95% CI: 0.81, 0.98). The model also demonstrated good performance during bootstrap validation, achieving an AUC of 0.87. The optimal cutoff points achieved an accuracy of 86%, a sensitivity of 85% and a specificity of 87%. The decision curve analysis showed that the model provides a high net benefit. Conclusion This study developed and internally validated a dynamic, nomogram-based scoring tool for early detection of MCI that integrates non-invasive retinal and visual biomarkers. The model demonstrated high discriminative power and substantial clinical net benefit. Further evaluation of the model's prognostic value in predicting further cognitive decline may support its clinical utility.
Keywords: Mild Cognitive Impairment, Ocular biomarkers, Risk scoring, Dynamicnomogram, Early detection
Received: 20 Jul 2025; Accepted: 10 Nov 2025.
Copyright: © 2025 Hussen, Lam, Gao, Zhou, Choi and Chan. This is an open-access article distributed under the terms of the Creative Commons Attribution License (CC BY). The use, distribution or reproduction in other forums is permitted, provided the original author(s) or licensor are credited and that the original publication in this journal is cited, in accordance with accepted academic practice. No use, distribution or reproduction is permitted which does not comply with these terms.
* Correspondence:
Kai Yip Choi, kaiyip.choi@polyu.edu.hk
Henry Ho-lung Chan, sohenry@polyu.edu.hk
Disclaimer: All claims expressed in this article are solely those of the authors and do not necessarily represent those of their affiliated organizations, or those of the publisher, the editors and the reviewers. Any product that may be evaluated in this article or claim that may be made by its manufacturer is not guaranteed or endorsed by the publisher.
