ORIGINAL RESEARCH article
Front. Big Data
Sec. Machine Learning and Artificial Intelligence
Adaptive model for rate of penetration prediction based on the dynamic correlation of influencing factors
Provisionally accepted- Research Institute of Safety, Environmental Protection and Quality Supervision and Inspection, Chuanqing Drilling Engineering Co., Ltd, Deyang, China
Select one of your emails
You have multiple emails registered with Frontiers:
Notify me on publication
Please enter your email address:
If you already have an account, please login
You don't have a Frontiers account ? You can register here
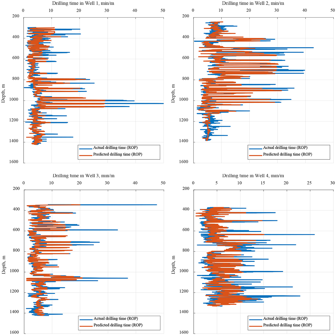
Accurately predicting the rate of penetration (ROP) is a critical benchmark for evaluating operational efficiency in drilling operations, and it is necessary to optimize the drilling parameters and construct an accurate ROP prediction model. At present, the correlations between drilling operation parameters and the ROP are commonly evaluated using a static assessment, which overlooks dynamic changes in parameter correlations during drilling processes. This paper presents an analysis of 33 drilling parameters across 4,837 datasets collected from 4 wellbores in Sichuan. The comparison analysis revealed that at different well sections, the dynamic correlation coefficient of each parameter deviates significantly from the overall correlation coefficient. On this basis, an adaptive ROP prediction model that incorporates depth-varying correlations of influential parameters is constructed. This model can automatically identify the dynamic correlations of the modeling parameters at different depths of well sections, and the optimal modeling parameters for adaptive training are selected based on the ranking of the correlation coefficients. It can thereby dynamically select key parameters and achieve self-update based on real-time data streams, avoiding the defect of traditional fixed-parameter models that ignore the dynamic changes of well sections. Modeling comparison analysis revealed that in multiple rounds of prediction based on dynamic correlations, the prediction accuracy in 93% of the prediction rounds exceeded that of the overall correlation, indicating that the adaptive ROP prediction model with dynamic correlations has high application value.
Keywords: Drilling parameter, Correlation, Dynamic evolution, Rate of penetration prediction, Adaptive model
Received: 30 Jul 2025; Accepted: 30 Nov 2025.
Copyright: © 2025 Deng, Zhou, Feng, Li and Li. This is an open-access article distributed under the terms of the Creative Commons Attribution License (CC BY). The use, distribution or reproduction in other forums is permitted, provided the original author(s) or licensor are credited and that the original publication in this journal is cited, in accordance with accepted academic practice. No use, distribution or reproduction is permitted which does not comply with these terms.
* Correspondence: Xiaojing Zhou
Disclaimer: All claims expressed in this article are solely those of the authors and do not necessarily represent those of their affiliated organizations, or those of the publisher, the editors and the reviewers. Any product that may be evaluated in this article or claim that may be made by its manufacturer is not guaranteed or endorsed by the publisher.
