Abstract
RandomGaussianNB is an open-source R package implementing the posterior-averaging Gaussian naive Bayes (PAV-GNB) algorithm, a scalable ensemble extension of the classical GNB classifier. The method introduces posterior averaging to mitigate correlation bias and enhance stability in high-dimensional settings while maintaining interpretability and computational efficiency. Theoretical results establish the variance of the ensemble posterior, which decreases inversely with ensemble size, and a margin-based generalization bound that connects posterior variance with classification error. Together, these results provide a principled understanding of the bias–variance trade-off in PAV-GNB. The package delivers a fully parallel, reproducible framework for large-scale classification. Simulation studies under big-data conditions—large samples, many features, and multiple classes—show consistent accuracy, low variance, and agreement with theoretical predictions. Scalability experiments demonstrate near-linear runtime improvement with multi-core execution, and a real-world application on the Pima Indians Diabetes dataset validates PAV-GNB's reliability and computational efficiency as an interpretable, statistically grounded approach for ensemble naive Bayes classification.
1 Introduction
Machine learning has become a cornerstone of modern data-driven research, advancing pattern recognition, classification, and forecasting across domains such as natural language processing, healthcare, and energy systems. Deep-learning architectures like convolutional and recurrent neural networks (LeCun et al., 1998; Hochreiter and Schmidhuber, 1997) have achieved remarkable results, yet their success depends on vast data, intensive hyper-parameter tuning, and substantial computational resources. These requirements remain prohibitive in many practical settings, prompting renewed interest in lightweight algorithms that balance accuracy, interpretability, and scalability (Mahmud et al., 2020; Wang Y. et al., 2020; Tantalaki et al., 2020; Liapis et al., 2023).
Among these, the Naive Bayes (NB) classifier stands out for its simplicity and robustness. Despite its conditional-independence assumption, NB achieves competitive performance in text analytics, bioinformatics, and medical diagnostics (Rish, 2001; Jurafsky and Martin, 2008; Wang et al., 2007). Decades of work have refined NB through improved probability estimation, semi-parametric treatment of continuous features, and Bayesian-network generalizations (Domingos and Pazzani, 1997; Zhang H., 2004; Zhang T., 2004; Rennie et al., 2003). Empirical studies show that the Gaussian Naive Bayes (GNB) variant often performs well even when assumptions are violated, as feature-wise errors can offset one another (Hand and Yu, 2001; Soria et al., 2011). However, real-world data frequently deviate from Gaussianity, exhibiting skewness or heavy tails that reduce accuracy (Boulle, 2007).
To address these issues, researchers have developed distribution-aware extensions such as alpha-skew GNB (Ara and Louzada, 2022) and t- or stable-distribution NB models that improve robustness to asymmetry and outliers (Bhamre et al., 2025). Ensemble-based variants, including randomized-feature and bootstrap-enhanced NB, enhance predictive stability without adding complexity (Phatcharathada and Srisuradetchai, 2025). These exploit stochastic diversity among resampled datasets and feature subsets to jointly reduce bias and variance—a principle central to the present work.
A further limitation of GNB is its conditional-independence assumption. Copula-based formulations relax this constraint by modeling dependencies among marginals, improving accuracy under correlated features (Elidan, 2012; Wang B. et al., 2020). Non-parametric variants, which replace Gaussian likelihoods with kernel-density estimators, flexibly capture arbitrary feature distributions (Boli and Wei, 2024; Shawe-Taylor and Cristianini, 2004). Together, these advances show that enriching NB with randomization, dependency modeling, or non-parametric estimation enhances generalization and calibration.
Ensemble methods such as bagging (Breiman, 1996), boosting (Schapire, 2003; Freund and Schapire, 1997), random subspaces (Ho, 1998), and random forests (Breiman, 2001) demonstrate how aggregating weak learners mitigates variance and bias (Polikar, 2006; Zhou, 2012; Dietterich and Kong, 1995). Building on these principles, Phatcharathada and Srisuradetchai (2025) proposed the randomized feature–bootstrapped naive Bayes (RFB-NB) algorithm, combining bootstrap aggregation and random feature selection to reduce correlation bias and improve calibration. Although that study established the empirical feasibility of the approach, it lacked formal theoretical analysis, generalization proofs, and a reproducible parallel implementation.
We address these gaps by developing the posterior-averaging Gaussian naive Bayes (PAV-GNB) algorithm and its open-source RandomGaussianNB R package. This study formalizes both the theoretical and algorithmic foundations of PAV-GNB, establishing its variance-reduction and generalization properties while delivering a scalable, parallel, and reproducible framework for high-dimensional classification.
The remainder of this paper is organized as follows. Section 2 reviews related work on Naive Bayes, randomized feature selection, and bootstrap ensembles. Section 3 introduces the proposed PAV-GNB algorithm and its theoretical analysis (Section 3.2), along with the benchmarking design and evaluation metrics. Section 4 presents empirical results, Section 5 details the RandomGaussianNB R package implementation, and Section 6 concludes with key findings and future directions.
2 Related theory and literature review
This study builds on the RFB-NB algorithm by Phatcharathada and Srisuradetchai (2025), which combines Gaussian naive Bayes (GNB) with random subspace and bootstrap aggregation. While their approach uses majority voting, we propose averaged class probabilities, where posterior probabilities are averaged across the ensemble to reduce correlation bias and improve stability. This work re-implements their framework in R, enabling reproducibility, scalability testing, and integration into R-based workflows. This section briefly reviews the theoretical foundations of GNB, randomized feature selection, and bootstrap ensemble learning, followed by a discussion of available NB software tools.
2.1 Gaussian naive Bayes
NB remains widely used for classification due to its interpretability, simplicity, and computational efficiency (Pearl, 1988; Bishop, 2006; Barber, 2012). The method is grounded in Bayes' theorem and assumes conditional independence of features given the class. A widely applied variant is GNB, designed for continuous-valued features. In GNB, each feature within a class is assumed to follow a Gaussian distribution. Mathematically, for a vector of features x = (x1, x2, …, xp), the posterior probability that x belongs to class Ck is given by
where K denotes the number of classes and p the number of features (Murphy, 2012; McCallum and Nigam, 1998). The posterior probability in (1) defines the fundamental Bayesian decision rule for Gaussian naive Bayes. Under the Gaussian assumption, each conditional likelihood takes the form:
where μjk and denote the mean and variance of feature j within class Ck, respectively. Each class-conditional Gaussian likelihood in (2) specifies how continuous features contribute to posterior computation.
Despite its efficiency and practical success across tasks such as text classification and medical diagnostics, the independence assumption limits GNB's performance in real-world settings where correlations among features are common. These correlations often degrade predictive accuracy, motivating extensions that relax this assumption or combine GNB with ensemble and feature-randomization techniques (Rennie et al., 2003; Friedman et al., 1997).
2.2 Randomized feature selection and feature reduction methods
Feature selection and reduction methods aim to identify informative subsets of variables from the original feature space, thereby improving predictive performance, interpretability, and computational efficiency (Li et al., 2017). Formally, given an initial feature set, shown in (3).
where p denotes the total number of available features, the objective is to find an optimal subset F* ⊆ F that maximizes a criterion function J(·):
where J(F′) may represent predictive accuracy, information gain, or another performance-based criterion (Hall, 1999). The optimization criterion J(F′) in (4) captures predictive relevance or mutual information. Wrapper methods explicitly evaluate subsets through resampling or cross-validation (Guyon and Elisseeff, 2003), while filter methods employ statistical measures such as correlation or mutual information to eliminate redundant and irrelevant variables (Urbanowicz et al., 2018).
Beyond deterministic approaches, randomized feature selection introduces controlled stochasticity to diversify ensembles and mitigate feature correlations. At each iteration t, a random subset
is drawn without replacement from the full feature set. Repeating this process across T iterations yields a collection of subsets {F1, F2, ..., FT}, each serving as the basis for training a classifier (Dietterich, 2000; Biau and Scornet, 2016; Sagi and Rokach, 2018). Randomized feature subsets in (5) diversify the ensemble, reducing correlation among base learners.
Decision-tree-guided approaches, proposed by Ratanamahatana and Gunopulos (2003), use decision tree classifiers to recursively partition the feature space, selecting subsets of features that significantly reduce classification error. Sparse selection techniques further refine this approach, as exemplified by Askari et al. (2020), who formulated sparse naive Bayes as a constrained optimization problem aiming to minimize model complexity and prediction error simultaneously.
2.3 Bootstrap sampling and ensemble techniques
Bootstrap sampling, first introduced by (Efron and Tibshirani 1994), is a cornerstone of modern ensemble methods, enhancing both robustness and generalizability. Given a training set
where N is the number of samples, bootstrap sampling generates B resampled subsets D(b) (b = 1, 2, ..., B) by sampling N instances with replacement from D. Each bootstrap subset, as shown in (6), preserves the dataset size but introduces variability, thereby enabling repeated and independent training of predictive models (Kamlangdee and Srisuradetchai, 2025; Sriprasert and Srisuradetchai, 2025).
Formally, the bootstrap subset is defined as in (7).
Ensemble methods such as bagging and random forests build multiple models on these bootstrap subsets, then aggregate predictions through majority voting (classification) or averaging (regression):
where hb(x) is the prediction from the b-th model, and agg(·) denotes the aggregation function. Aggregated predictions follow (8), where the ensemble output is computed via voting or averaging.
In the context of GNB, bootstrap-enhanced ensembles enable independent estimation of class-conditional distributions. For a feature xj under class Ck, the ensemble conditional probability is aggregated as shown in (9) (Mitchell, 1997; Davidson, 2004).
The final class prediction maximizes the posterior probability aggregated across bootstrap models:
The final class decision rule in (10) maximizes the averaged posterior probability over all bootstrap models. This framework reduces variance, improves stability, and enhances predictive accuracy by combining multiple weak estimators.
Beyond predictive modeling, bootstrap sampling is instrumental for robust statistical inference. For instance, it enables estimation of confidence intervals for parameters of intricate statistical distributions (Panichkitkosolkul and Srisuradetchai, 2022). Given the versatility and mathematical rigor of bootstrap approaches, they remain widely adopted across various analytical contexts, from classical regression to sophisticated machine learning ensembles (DiCiccio and Efron, 1996).
2.4 Existing software and computational tools for NB classifiers
NB classifiers remain popular thanks to accessible, reproducible implementations in R and Python. In R, packages such as caret (Kuhn, 2008), e1071 (Meyer et al., 2024), and randomForest (Liaw and Wiener, 2002) support model training, validation, and benchmarking. Python's scikit-learn (Pedregosa et al., 2011) provides Gaussian, multinomial, and Bernoulli NB variants that integrate seamlessly into modern workflows.
Most tools rely on classical, non-ensemble NB formulations with fixed parameter estimation and limited bias–variance control. They lack mechanisms such as random feature subspace selection, bootstrap aggregation, and multi-core parallelism. Although random forests scale efficiently via bagged trees, their split-based learning differs from probabilistic NB inference, leaving current NB implementations less robust for correlated or high-dimensional data. Moreover, few R libraries include probability-calibration utilities or ensemble management beyond basic resampling, limiting users' ability to assess predictive uncertainty and computational trade-offs.
To overcome these limitations, the RandomGaussianNB R package implements the posterior-averaging Gaussian Naive Bayes algorithm within a reproducible, parallel framework. It unifies random feature selection, bootstrap aggregation, and calibration while maintaining NB interpretability. Multi-core execution via foreach (Weston and Microsoft Corporation, 2022b) and doParallel (Weston and Microsoft Corporation, 2022a) ensures scalability, providing the foundation for the algorithmic and theoretical developments detailed in Section 3.
3 Proposed algorithm and theoretical properties
This section outlines the posterior-averaging Gaussian Naive Bayes (PAV-GNB) algorithm and its theoretical properties—variance reduction and generalization behavior—and presents computational experiments evaluating runtime, scalability, and predictive accuracy under reproducible synthetic-data conditions.
3.1 Detailed algorithmic description
The RandomGaussianNB classifier implements the PAV-GNB ensemble through a fully parallel R implementation. The algorithmic steps of the proposed PAV-GNB are outlined below.
Let denote a training dataset with p predictors and K classes. At each ensemble iteration t = 1, …, T:
-
I. Bootstrap resampling (rows)
Draw a sample D(t) of size n with replacement from D.
Sampling is stratified by class to preserve class proportions.
-
II. Random feature subset selection (columns)
Select without replacement a subset of features F(t) ⊂ {1, 2, ..., p} of size m = ⌊αp⌋, where α ∈ (0, 1] is the feature fraction.
-
III. Base learner training (GNB)
For each class k ∈ {1, …, K} and feature j ∈ F(t), estimate the Gaussian parameters
The class prior is
-
IV. Prediction on new data
For a new observation x, the t-th model computes log-posterior scores
-
V. Stable aggregation across models
To avoid numerical underflow, log-posterior matrices are normalized via the log-sum-exp trick before exponentiation. Averaged class probabilities are then computed as
and the predicted label is .
-
VI. Parallel execution
Ensemble iterations t are distributed across CPU cores using foreach + doParallel (Weston and Microsoft Corporation, 2022b,a). Each worker independently executes Steps I–V and returns posterior matrices for averaging.
This framework combines the low-bias property of GNB with the variance-reduction effects of bootstrap aggregation and the decorrelation benefit of random subspaces. The final model object stores: $n_iter, $feature_fraction, $cores, $models, $classes, $X_train, and $y_train, accessible via standard S3methods [print(), summary(), predict()].Figure 1 illustrates the overall workflow of the RandomGaussianNB algorithm, summarizing the key steps of stratified bootstrap resampling, random feature selection, GNB fitting, and posterior aggregation across ensemble iterations.
Figure 1

Workflow of RandomGaussianNB.
The following section formalizes its posterior-averaging properties and derives the generalization bound.
3.2 Theoretical properties of PAV-GNB
The posterior averaging Gaussian naive Bayes (PAV-GNB) ensemble aggregates the posterior probabilities from T independently randomized GNB classifiers trained on bootstrap samples and feature-subset draws.
Let Pt(Ck|x) denote the posterior for class Ck from the t- th model, and define the ensemble posterior
Expectations and variances below are taken over bootstrap and feature randomization.
3.2.1 Consistency and variance
Under correct model specification and regularity of the plug-in estimators, each Pt(Ck|x) is consistent for the true posterior ; hence is also consistent as n → ∞ (fixed T). Assuming equal marginal variance σ2(x) and average pairwise correlation ρ(x) across {Pt},
Smaller overlap among D(t) and F(t) decreases ρ(x), yielding near−1/T variance reduction.
3.2.2 Quadratic-loss aggregation
For the Brier score (Brier, 1950; Geman et al., 1992; Breiman, 1996), the population minimizer is p*(·|x). Among convex mixtures of {Pt}, the optimal weights depend on the error covariance; equal weights are optimal under exchangeability with equal variance and covariance, making simple averaging a stable, statistically efficient rule when base learners are approximately homogeneous and weakly correlated.
3.2.3 Margin-based generalization bound
Let the Bayes margin be . Suppose E[Pt(Y|X)]=p*(Y|X) + b(X) and with average pairwise correlation ρ(X). Then, for[u]+ = max(u, 0),
where . The bound decays with larger T and smaller ρ, and tightens with larger margin and smaller bias.
A proof sketch for (12) and (13) is provided in Appendix A, detailing the equicorrelation calculation and the Cantelli step used in the margin-based bound.
3.3 RandomGaussianNB simulation design and dataset generation
Synthetic datasets are generated to systematically control key characteristics, including sample size n, number of features p, number of classes K, and correlation structures among features. Each dataset D in (14) consists of feature vectors xi paired with corresponding class labels yi:
Each xi for class k is sampled from a class-specific multivariate Gaussian distribution:
with class-specific mean vectors μk and covariance matrices Σk.
Class overlap is regulated by adjusting μk and Σk. Separability is characterized using Mahalanobis distances between class means and controlled correlation parameters. Following Schober et al. (2018), correlation thresholds are interpreted as minimal (ρ = 0.1), moderate (ρ = 0.5), and strong (ρ = 0.9) associations, while the identity structure (ρ = 0) reflects independence. The systematically defined scenarios are summarized in Table 1.
Table 1
| Overlap level | Mahalanobis distance ||μi − μj|| | Correlation ρ | Covariance structure Σk |
|---|---|---|---|
| No overlap | 5 | 0 | Identity matrix (Ip); independent features |
| Low overlap | 3.5 | 0.1 | ; minimal correlation |
| Moderate overlap | 2 | 0.5 | ; moderate correlation |
| High Overlap | 1 | 0.9 | ; strong correlation |
Summary of class overlap levels and corresponding covariance structures.
3.4 Computational environment
All benchmarking experiments are conducted in a standardized computing environment to ensure reproducibility:
-
Processor: Intel(R) Core(TM) i9-13980HX CPU, 2.20 GHz, 24 cores (32 logical processors)
-
RAM: 64 GB
-
Operating System: Microsoft Windows 11 Pro (Version 10.0.26100)
-
R Version: 4.4.0
Parallel computation is implemented using the parallel (R Core Team, 2025) and foreach (Weston and Microsoft Corporation, 2022b) packages, enabling performance evaluation across different core settings (1, 2, 4, 8, 16, and 24 cores).
3.5 Benchmarking procedure
A comprehensive benchmarking protocol was designed to evaluate the runtime, scalability, and stability of the proposed PAV-GNB classifier. Experimental scenarios of varying complexity ensure broad coverage of practical conditions and reproducibility. Each scenario was independently repeated R = 10 times. Statistical differences were assessed by two-way ANOVA (α = 0.05) followed by Tukey's HSD post-hoc tests (Tukey, 1949).
3.5.1 Baseline experiments
Baseline experiments established reference performance under controlled conditions. Simulations used a fixed dataset size n = 1,000, dimensionality p = 50, three-class classification K = 3, feature fraction f = 0.25, number of iterations T = 100, and single-core computation (c = 1). Four class-overlap levels—no overlap (||μi − μj|| ≈ 5, ρ = 0), low overlap (≈ 3.5, ρ = 0.1), moderate overlap (≈ 2, ρ = 0.5), and high overlap (≈ 1, ρ = 0.9)— quantified the influence of data separability on accuracy and runtime.
3.5.2 Scalability analysis
To examine efficiency gains from parallel computation, moderate complexity parameters (n = 5000, p = 100, K = 3, f = 0.25, T = 100, ρ = 0.5) were retained while varying CPU cores c ∈ {1, 2, 4, 8, 16}. This analysis quantified runtime reduction and scalability efficiency Es under increasing parallel resources.
3.5.3 Dimensionality and sample size stress test
Robustness under high-dimensional and large-sample conditions was assessed by systematically increasing dataset size n ∈ {500, 1000, 5000, 10, 000, 20, 000, 50, 000, 100, 000} and dimensionality p ∈ {10, 50, 100, 500, 1000, 2000}, while holding K = 3, f = 0.25, c = 4, T = 100, ρ = 0.5. These experiments probed computational feasibility from small to extremely large analytic scales.
3.5.4 Feature fraction sensitivity analysis
The effect of randomized feature selection was investigated by varying the feature fraction keeping other parameters fixed (n = 5000, p = 100, K = 3, c = 4, T = 100, ρ = 0.5). This clarified how subsampling proportions influence accuracy and runtime.
3.5.5 High complexity and multiclass performance
Classifier effectiveness under realistic large-scale conditions was evaluated with n = 100, 000, p = 1000, c = 8, f = 0.25), and class counts K ∈ {2, 3, 5, 10}. Experiments were conducted under moderate (ρ = 0.5) and high (ρ = 0.9) overlap to test robustness against severe class correlation.
3.5.6 Iterations and stability analysis
Finally, predictive stability was examined by varying the number of bootstrap iterations T = {10, 50, 100, 300, 500} while maintaining moderate complexity settings (n = 5000, p = 100, K = 3, c = 4, f = 0.25, ρ = 0.5). This assessed consistency of accuracy and runtime across repeated resampling.
3.6 Performance evaluation criteria
Three complementary metrics are used to assess computational efficiency and predictive performance:
-
(1) Computational Runtime (seconds): The mean total time for training and prediction across R independent repetitions is defined in (16):
where Ttrain, r and Tpredict, r denote the training and prediction times of the r-th run.
-
(2) Scalability Efficiency (ES): Parallel-processing gains are quantified using (17) (Schryen, 2022):
where T1 is the single-core runtime, Tc is runtime using c cores, and larger values indicate better parallel efficiency.
-
(3) Predictive Accuracy: Classification accuracy is computed as (18) (Powers, 2011; Kummaraka and Srisuradetchai, 2025):
where ŷi is the predicted class, the true class, and I(·) an indicator function.
4 Experimental results
4.1 Baseline performance evaluation
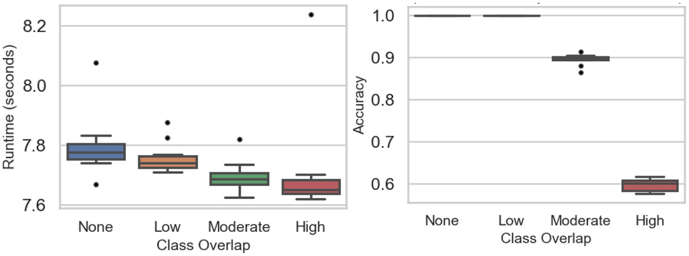
Table 2 and Figure 2 summarize the baseline experiments assessing runtime and accuracy across four levels of class overlap: none, low, moderate, and high. Mean runtime remained stable as overlap increased, ranging from 7.769 s to 7.79 s. A Tukey HSD test confirmed no significant differences among these scenarios (p-value = 0.195), indicating that runtime was largely unaffected by class separability. Minor outliers observed in Figure 2 reflect normal variability from random initialization or hardware fluctuations rather than methodological effects.
Table 2
| Overlap level | Runtime (seconds) | Accuracy (proportion) | ||
|---|---|---|---|---|
| Mean | Standard deviation | Mean | Standard deviation | |
| None | 7.799 | 0.107 | 1 | 0 |
| Low | 7.760 | 0.053 | 1 | 0 |
| Moderate | 7.697 | 0.053 | 0.8963 | 0.0136 |
| High | 7.715 | 0.186 | 0.5974 | 0.0144 |
Summary of baseline experiment results.
Figure 2

Baseline experiments: runtime (Left) and accuracy (Right) across class overlap scenarios.
Accuracy, in contrast, was strongly influenced by overlap. Perfect classification (mean = 1.0) was achieved when classes were well-separated (none or low overlap). Accuracy declined to 0.896 (SD = 0.014) under moderate overlap and dropped further to 0.598 (SD = 0.014) when classes substantially intersected. These results highlight that while computational cost is stable, prediction reliability decreases sharply as class distributions become less distinct, underscoring the challenge of learning in highly overlapping settings.
4.2 Scalability analysis
Scalability experiments evaluate how computational runtime and predictive accuracy vary with the number of CPU cores. Figure 3 (left) shows a sharp runtime reduction as parallelization increases, falling from a single-core mean of 15.20 s to 8.03 s (two cores), 5.04 s (four cores), and a minimum of 4.47 s at eight cores (see Table 3). A slight rise to 5.55 s at sixteen cores suggests diminishing returns or overhead from heavy parallel execution. Two-way ANOVA confirms significant runtime differences across core settings (F value = 486.1, p-value < 0.0001), while Tukey tests find no significant gap between four and eight cores (p-value = 0.295) or between four and sixteen cores (p-value = 0.378).
Figure 3

Scalability experiments: runtime (Left) and accuracy (Right) across the number of CPU cores.
Table 3
| Number of CPU cores | Runtime (seconds) | Accuracy (proportion) | Scalability efficiency | ||
|---|---|---|---|---|---|
| Mean | Standard deviation | Mean | Standard deviation | ||
| 1 | 15.2039 | 1.3474 | 0.9378 | 0.0066 | 1.0000 |
| 2 | 8.0292 | 0.1054 | 0.9422 | 0.0059 | 0.9468 |
| 4 | 5.0352 | 0.2054 | 0.9409 | 0.0081 | 0.7549 |
| 8 | 4.4742 | 0.1858 | 0.9393 | 0.0071 | 0.4248 |
| 16 | 5.5508 | 0.3407 | 0.9404 | 0.0071 | 0.1712 |
Summary of scalability analysis.
Classification accuracy remains stable across all levels of parallelism (Figure 3, right), fluctuating narrowly between 0.938 and 0.942 (Table 3). The F-test (p-value = 0.915) indicates no significant accuracy difference among core counts. Scalability efficiency, Es = T1/(cTc), declines from 0.95 (two cores) to 0.75 (four cores), 0.42 (eight cores), and 0.17 (sixteen cores), confirming that parallel speedup plateaus as core usage grows.
These findings indicate that speedup improves substantially up to eight cores, beyond which performance gains taper due to synchronization overhead and data-distribution costs, consistent with typical behavior in ensemble parallelization.
4.3 Dimensionality and sample size stress test
4.3.1 Impact of dimensionality on classifier performance
Figure 4 and Table 4 summarize how feature dimensionality influences runtime and accuracy. Computational cost rises sharply with higher dimensions: mean runtime stays below 10 s for 10–100 features but climbs to roughly 41 s at 500, 87 s at 1,000, and 160 s at 2,000 features. Two-way ANOVA confirms significant runtime differences (F value = 2,418, p-value < 0.0001). Tukey post-hoc tests show no significant gap between 10 and 50 features (p-value = 0.475) or between 50 and 100 (p-value = 0.202), but all larger jumps are significant, reflecting the quadratic growth in matrix operations.
Figure 4

Dimensionality experiments: runtime (Left) and accuracy (Right) across the number of features.
Table 4
| Number of features | Runtime (seconds) | Accuracy (proportion) | ||
|---|---|---|---|---|
| Mean | Standard deviation | Mean | Standard deviation | |
| 10 | 2.5065 | 0.0427 | 0.8794 | 0.0073 |
| 50 | 5.7172 | 0.1656 | 0.8917 | 0.0116 |
| 100 | 9.8660 | 0.1434 | 0.8934 | 0.0065 |
| 500 | 41.4558 | 0.3341 | 0.8966 | 0.0032 |
| 1,000 | 86.5477 | 9.6689 | 0.8991 | 0.0063 |
| 2,000 | 159.6616 | 1.3790 | 0.8974 | 0.0077 |
Summary of dimensionality performance.
Despite these steep runtime increases, classification accuracy remains stable across all dimensional settings. Mean accuracy fluctuates only slightly—from 0.879 at 10 features to about 0.899 at 1,000 and 0.897 at 2,000—differences that are not statistically significant (F value = 0.562, p-value = 0.69). These results demonstrate that while computational demands scale rapidly with dimensionality, the predictive performance of the PAV-GNB classifier is largely unaffected, underscoring its robustness for high-dimensional data.
4.3.2 Sample size stress test
Figure 5 and Table 5 summarize the classifier's computational performance and accuracy across sample sizes from n = 500 to n = 200,000. Runtime scales predictably with dataset size: it remains below 5 s for n ≤ 5,000, rises to about 10 s at n = 20,000, and reaches 27 s, 53 s, and 107 s for n = 50,000, 100,000, and 200,000, respectively. ANOVA confirms a strong effect of sample size on runtime (F-value = 1.05 × 105, p-value < 0.0001), with Tukey tests showing significant pairwise differences at nearly all adjacent sizes except between 500 and 1,000 observations (p-value = 0.571).
Figure 5

Sample size experiments: runtime (Left) and accuracy (Right) across the sample sizes.
Table 5
| Sample sizes | Runtime (seconds) | Accuracy (proportion) | ||
|---|---|---|---|---|
| Mean | Standard deviation | Mean | Standard deviation | |
| 500 | 0.7959 | 0.0429 | 0.8890 | 0.0338 |
| 1,000 | 1.1024 | 0.0971 | 0.8930 | 0.0216 |
| 5,000 | 3.1095 | 0.1406 | 0.8943 | 0.0065 |
| 10,000 | 5.7346 | 0.1842 | 0.8870 | 0.0040 |
| 20,000 | 11.2272 | 0.2888 | 0.8908 | 0.0049 |
| 50,000 | 27.3318 | 0.2819 | 0.8921 | 0.0029 |
| 100,000 | 53.4161 | 0.3514 | 0.8919 | 0.0014 |
| 200,000 | 107.6518 | 0.8454 | 0.8920 | 0.0021 |
Summary of sample sizes stress test.
4.4 Feature fraction analysis
The influence of feature subsampling on runtime and predictive accuracy is summarized in Table 6 and visualized in Figure 6. Runtime rises steadily as the fraction of utilized features increases. When small subsets such as or p/10 are selected, mean runtime remains below 3 s, whereas employing all features (p/p) drives the mean to roughly 17.7 s. ANOVA confirms significant differences among fractions (F-value = 1620.89, p-value < 0.0001), and Tukey's tests identify strong contrasts between extreme settings (e.g., p vs. p/10, p/2 vs. p/10; both p-value < 0.0001). Only the comparison between and p/10 shows no significant gap (p-value = 0.9963).
Table 6
| Feature fraction | Runtime (seconds) | Accuracy (proportion) | ||
|---|---|---|---|---|
| Mean | Standard deviation | Mean | Standard deviation | |
| sqrt(p) | 2.9293 | 0.2974 | 0.8983 | 0.0103 |
| p/10 | 3.0401 | 0.1509 | 0.8943 | 0.0057 |
| p/2 | 9.0412 | 0.2266 | 0.8979 | 0.0090 |
| p/3 | 6.2995 | 0.0340 | 0.8931 | 0.0064 |
| p/4 | 5.2933 | 0.2344 | 0.8965 | 0.0091 |
| p/5 | 4.4489 | 0.1391 | 0.8916 | 0.0093 |
| p | 17.7344 | 0.9617 | 0.8927 | 0.0082 |
Summary of feature fraction analysis.
Figure 6

Feature fraction experiments: runtime (Left) and accuracy (Right) across the number of features.
Predictive accuracy, by contrast, remains stable across all feature fractions (Figure 6, right). Mean accuracy fluctuates slightly between 0.889 and 0.898, with ANOVA (F value = 0.5849, p-value = 0.742) and Tukey's HSD revealing no significant differences. These findings indicate that reducing the fraction of sampled features can markedly cut computation time without sacrificing classification performance, underscoring the method's efficiency under feature-randomized settings.
4.5 High complexity and multiclass performance analysis
This experiment examines classifier behavior under demanding conditions: 100,000 samples, 1,000 features, and a feature fraction of 0.25, with the number of classes varied (K∈{2, 3, 5, 10}) across moderate and high overlap. As presented in Figure 7 (left) and Table 7, runtime increases with class count, from about 601 s at two classes (moderate overlap) to roughly 783 s at ten classes, while high-overlap settings yield slightly shorter runtimes at each class level. Two-way ANOVA confirms significant runtime effects of both class number and overlap (F value = 116.40, p-value < 0.0001), with Tukey's tests highlighting strong contrasts between low- and high-complexity scenarios.
Figure 7

High complexity and multiclass analysis: runtime (Left) and accuracy (Right) across different numbers of classes and class overlap levels.
Table 7
| Number of classes | Overlap | Runtime (seconds) | Accuracy (proportion) | ||
|---|---|---|---|---|---|
| Mean | Standard deviation | Mean | Standard deviation | ||
| 2 | Moderate | 601.07 | 0.9211 | 0.9211 | 0.0017 |
| High | 544.67 | 0.7027 | 0.7027 | 0.0022 | |
| 3 | Moderate | 605.23 | 0.8948 | 0.8947 | 0.0021 |
| High | 563.53 | 0.6018 | 0.6018 | 0.0038 | |
| 5 | Moderate | 696.49 | 0.8743 | 0.8743 | 0.0019 |
| High | 646.59 | 0.5220 | 0.5220 | 0.0044 | |
| 10 | Moderate | 783.23 | 0.8600 | 0.8599 | 0.0024 |
| High | 732.94 | 0.4591 | 0.4591 | 0.0034 | |
Summary of high complexity and multiclass analysis.
Predictive accuracy declines sharply as complexity rises. Mean accuracy reaches approximately 0.92 under the two-class moderate-overlap setting but falls to roughly 0.46 in the ten-class high-overlap case. ANOVA (F value = 10,304.17, p- value < 0.0001) and post-hoc comparisons verify significant accuracy reductions as overlap intensifies or the number of classes grows. These results underscore the computational and predictive challenges of simultaneous growth in class cardinality and overlap, providing a stringent stress test for the proposed PAV-GNB classifier.
4.6 Iterations and stability analysis
The influence of training iterations on computational cost and predictive reliability was examined under moderate settings (n = 10, 000, p = 100, K = 3, c = 4, f= 0.25, ρ = 0.5). Iteration counts were varied across five levels (T∈{10, 50, 100, 300, 500}). Figure 8 (left) and Table 8 show that runtime rises nearly linearly with additional iterations—from about 2 s at T = 10 to roughly 48 s at T = 500. ANOVA confirms significant differences among these levels (F = 643.81, p < 0.0001), reflecting the expected computational burden of repeated bootstrap–feature sampling.
Figure 8

Iterations and stability analysis: runtime (Left) and accuracy (Right) across different numbers of training iterations.
Table 8
| Number of iterations | Runtime (seconds) | Accuracy (proportion) | ||
|---|---|---|---|---|
| Mean | Standard deviation | Mean | Standard deviation | |
| 10 | 1.9656 | 0.2154 | 0.8924 | 0.0067 |
| 50 | 5.2237 | 0.0891 | 0.8933 | 0.0053 |
| 100 | 9.4966 | 0.1954 | 0.8922 | 0.0093 |
| 300 | 28.7804 | 3.0548 | 0.8944 | 0.0069 |
| 500 | 48.4268 | 4.5070 | 0.8919 | 0.0055 |
Summary of iteration counts and stability analysis.
Despite this increase in runtime, predictive accuracy remains stable. As shown in Figure 8 (right) and Table 8, mean accuracy consistently falls within the 0.89–0.90 range, and ANOVA detects no significant variation across iteration counts (F value = 0.223, p-value = 0.924).
Conceptually, RandomGaussianNB parallels tree-based ensembles such as random forest or XGBoost (Chen and Guestrin, 2016) in using bootstrap and random subspaces for variance reduction, yet differs by aggregating probabilistic density estimates rather than split-based decisions. This preserves model interpretability while achieving comparable scalability.
5 Implementation and usage of the RandomGaussianNB package
5.1 Package overview
The RandomGaussianNB package provides a scalable and user-friendly implementation of the PAV-GNB classifier. It combines the efficiency of GNB with the robustness of bootstrap aggregation and randomized feature subsetting. The current version is maintained in a private GitHub repository; a public release and CRAN submission are planned following acceptance of this manuscript. This approach ensures future reproducibility, open access, and community support while allowing readers to cite the package as the canonical reference once it is publicly available.
5.2 Core functions and arguments
The main function, random_gaussian_nb(), trains an ensemble of GNB classifiers. Key arguments are:
-
data: a data.frame or matrix of predictors and the response variable.
-
response: the name of the response column (factor).
-
n_iter: number of bootstrap iterations (default = 100).
-
feature_fraction: proportion of predictors randomly selected at each iteration (default = 0.5).
-
cores: number of parallel workers (default = 1).
An S3 predict() method supports both “class” (predicted label) and “prob” (posterior probability) outputs. The argument newdata allows application of the fitted model to new observations.
5.3 Workflow and example application
A typical workflow is illustrated using the PimaIndiansDiabetes dataset from the mlbench package (Leisch and Dimitriadou, 2024; Blake and Merz, 1998):
library(RandomGaussianNB) library(mlbench) # Load data data(“PimaIndiansDiabetes”) df <- PimaIndiansDiabetes # Train-test split set.seed(123) n <- nrow(df) train_idx <- sample(n, size = 0.7 * n) train_df <- df[train_idx,] test_df <- df[-train_idx,] # Fit the PAV-GNB model model <- random_gaussian_nb( data = train_df, response = “diabetes”, n_iter = 100, feature_fraction = 0.5, cores = 2 ) # Predictions probs <- predict(model, test_df[, setdiff(names(test_df),“diabetes”)], type = “prob”) preds <- predict(model, test_df[, setdiff(names(test_df),“diabetes”)], type = “class”) # Evaluate accuracy mean(preds = = test_df$diabetes)
Using a 70/30 train–test split, the PAV-GNB classifier achieved an accuracy of 0.762, exceeding or matching the performance of several standard algorithms—classical GNB (0.758), k-nearest neighbors (k = 5; 0.753), support vector machine with radial kernel (0.758), random forest (0.745), decision tree (0.710), and a simple neural network (0.662) (Table 9). This experiment highlights the package's balance between simplicity, interpretability, and predictive strength relative to widely used classifiers.
Table 9
| Models | Accuracy |
|---|---|
| RandomGaussianNB | 0.762 |
| Gaussian Naive Bayes | 0.758 |
| k-NN (k = 5) | 0.753 |
| Random forest | 0.745 |
| Decision tree | 0.710 |
| SVM (Radial) | 0.758 |
| Neural network | 0.662 |
Accuracy comparison of PAV-GNB with other standard classifiers on the PimaIndiansDiabetes dataset.
The comparative accuracy in this Table shows that RandomGaussianNB performs competitively with widely adopted classifiers—including GNB, k-NN, SVM, and random forest—while preserving full interpretability and computational efficiency. As detailed in Section 4, its near-linear scalability under parallel execution becomes more advantageous for high-dimensional or large-sample datasets, confirming RandomGaussianNB as a practical and scalable ensemble alternative to conventional models.
6 Conclusions
This study presented RandomGaussianNB, an open-source R package implementing the PAV-GNB algorithm—a scalable ensemble extension of GNB integrating bootstrap resampling, randomized feature subspaces, and posterior averaging. Theoretical analysis (Section 3.2) showed that posterior averaging minimizes quadratic risk, achieves mean-square optimality among convex combinations of base posteriors, and reduces variance under correlated features. The derived margin-based generalization bound links posterior variance to classification error, formalizing the ensemble's bias–variance balance.
Algorithmically (Section 3.1), PAV-GNB stabilizes GNB through ensemble randomization and parallel computation. The RandomGaussianNB package offers a reproducible S3 implementation and benchmarking pipeline for assessing accuracy, calibration, and scalability. Simulation studies (Sections 4.1–4.6) confirmed theoretical predictions—showing consistent accuracy, low variance, and stable calibration across diverse data conditions. Parallel execution achieved near-linear runtime gains, validating computational scalability.
A real-world test on the Pima Indians Diabetes dataset verified its reliability, matching or outperforming standard classifiers (classical GNB, k-NN, decision tree, random forest, SVM) with interpretability and efficiency. Future work will extend support to multi-modal data, advanced calibration, and cross-language use, reinforcing PAV-GNB as a statistically grounded and efficient framework for large-scale probabilistic classification.
Statements
Data availability statement
Publicly available datasets were analyzed in this study. This data can be found here: https://cran.r-project.org/package=mlbench.
Author contributions
PS: Conceptualization, Data curation, Formal analysis, Funding acquisition, Investigation, Methodology, Project administration, Resources, Software, Supervision, Validation, Visualization, Writing – original draft, Writing – review & editing.
Funding
The author(s) declare that no financial support was received for the research and/or publication of this article.
Acknowledgments
The author thanks the reviewers for their constructive comments and valuable suggestions, which helped improve the quality of this manuscript.
Conflict of interest
The author declares that the research was conducted in the absence of any commercial or financial relationships that could be construed as a potential conflict of interest.
Generative AI statement
The author(s) declare that no Gen AI was used in the creation of this manuscript.
Any alternative text (alt text) provided alongside figures in this article has been generated by Frontiers with the support of artificial intelligence and reasonable efforts have been made to ensure accuracy, including review by the authors wherever possible. If you identify any issues, please contact us.
Publisher’s note
All claims expressed in this article are solely those of the authors and do not necessarily represent those of their affiliated organizations, or those of the publisher, the editors and the reviewers. Any product that may be evaluated in this article, or claim that may be made by its manufacturer, is not guaranteed or endorsed by the publisher.
Supplementary material
The Supplementary Material for this article can be found online at: https://www.frontiersin.org/articles/10.3389/fdata.2025.1706417/full#supplementary-material
References
1
Ara A. Louzada F. (2022). Alpha-skew Gaussian Naive Bayes classifier. Int. J. Inform. Technol. Decis. Making21, 441–462. doi: 10.1142/S0219622021500644
2
Askari A. d'Aspremont A. El Ghaoui L. (2020). “Naive feature selection: sparsity in Naive Bayes,” in Proceedings of the 23rd International Conference on Artificial Intelligence and Statistics (AISTATS 2020), Vol. 108 (Palermo: PMLR), 1813–1822.
3
Barber D. (2012). Bayesian Reasoning and Machine Learning. Cambridge: Cambridge University Press. doi: 10.1017/CBO9780511804779
4
Bhamre N. Ekhande P. P. Pinsky E. (2025). Enhancing naive Bayes algorithm with stable distributions for classification. Int. J. Cybernet. Inform.14, 107–116. doi: 10.5121/ijci.2025.140207
5
Biau G. Scornet E. (2016). A random forest guided tour. Test.25, 197–227. doi: 10.1007/s11749-016-0481-7
6
Bishop C. (2006). Pattern Recognition and Machine Learning. New York, NY: Springer.
7
Blake C. L. Merz C. J. (1998). UCI Repository of Machine Learning Databases. Irvine, CA: University of California, Department of Information and Computer Sciences.
8
Boli B. I. A.-D. Wei C. (2024). Bayesian classifier based on robust kernel density estimation and Harris hawks optimisation. Int. J. Internet Distrib. Syst.6, 1–23. doi: 10.4236/ijids.2024.61001
9
Boulle F. (2007). Compression-based averaging of selective Naive Bayes classifiers. J. Mach. Learn. Res.8, 165–185.
10
Breiman L. (1996). Bagging predictors. Mach. Learn. 24, 123–140. doi: 10.1023/A:1018054314350
11
Breiman L. (2001). Random forests. Mach. Learn. 45, 5–32. doi: 10.1023/A:1010933404324
12
Brier G. W. (1950). Verification of forecasts expressed in terms of probability. Mon. Weather Rev.78, 1–3.2.
13
Chen T. Guestrin C. (2016). “XGBoost: a scalable tree boosting system,” in Proceedings of the 22nd ACM SIGKDD International Conference on Knowledge Discovery and Data Mining (KDD 2016), San Francisco, CA, USA (New York, NY: Association for Computing Machinery), 785–794. doi: 10.1145/2939672.2939785
14
Davidson I. (2004). “An ensemble technique for stable learners with performance bounds,” in Proceedings of the AAAI Workshop on Bootstrapping Machine Learning, San Jose, CA, USA (Menlo Park, CA: AAAI Press), 330–335.
15
DiCiccio T. J. Efron B. (1996). Bootstrap confidence intervals. Stat. Sci. 11, 189–212. doi: 10.1214/ss/1032280214
16
Dietterich T. G. (2000). “Ensemble methods in machine learning,” in Multiple Classifier Systems, Lecture Notes in Computer Science, eds. KittlerJ.RoliF. (Berlin; Heidelberg: Springer), 1–15. doi: 10.1007/3-540-45014-9_1
17
Dietterich T. G. Kong E. B. (1995). Machine Learning Bias, Statistical Bias, and Statistical Variance of Decision Tree Algorithms. Tech. Rep. Oregon State University, Corvallis, OR.
18
Domingos P. Pazzani M. (1997). On the optimality of the simple Bayesian classifier under zero-one loss. Mach. Learn. 29, 103–130. doi: 10.1023/A:1007413511361
19
Efron B. Tibshirani R. J. (1994). An Introduction to the Bootstrap. Boca Raton, FL: Chapman and Hall/CRC. doi: 10.1201/9780429246593
20
Elidan G. (2012). Copula network classifiers (CNCs). “Proceedings of machine learning research,” in Proceedings of the 15th International Conference on Artificial Intelligence and Statistics (AISTATS 2012), Vol. 22, 346–354. Available online at: https://proceedings.mlr.press/v22/elidan12a/elidan12a.pdf (Accessed January 24, 2025).
21
Freund Y. Schapire R. E. (1997). A decision-theoretic generalization of on-line learning and an application to boosting. J. Comput. Syst. Sci. 55, 119–139. doi: 10.1006/jcss.1997.1504
22
Friedman N. Geiger D. Goldszmidt M. (1997). Bayesian network classifiers. Mach. Learn. 29, 131–163. doi: 10.1023/A:1007465528199
23
Geman S. Bienenstock E. Doursat R. (1992). Neural networks and the bias/variance dilemma. Neural Comput.4, 1–58. doi: 10.1162/neco.1992.4.1.1
24
Guyon I. Elisseeff A. (2003). An introduction to variable and feature selection. J. Mach. Learn. Res. 3, 1157–1182.
25
Hall M. A. (1999). Correlation-Based Feature Selection for Machine Learning (Ph.D. thesis). University of Waikato, Hamilton, New Zealand.
26
Hand D. J. Yu K. (2001). Idiot's Bayes—Not so stupid after all?Int. Stat. Rev.69, 385–398. doi: 10.1111/j.1751-5823.2001.tb00465.x
27
Ho T. K. (1998). The random subspace method for constructing decision forests. IEEE Trans. Pattern Anal. Mach. Intell. 20, 832–844. doi: 10.1109/34.709601
28
Hochreiter S. Schmidhuber J. (1997). Long short-term memory. Neural Comput. 9, 1735–1780. doi: 10.1162/neco.1997.9.8.1735
29
Jurafsky D. Martin J. H. (2008). Speech and Language Processing, 2nd Edn.Upper Saddle River, NJ: Prentice Hall.
30
Kamlangdee P. Srisuradetchai P. (2025). Circular bootstrap on residuals for interval forecasting in K-NN regression: a case study on durian exports. Sci. Technol. Asia30, 79–94.
31
Kuhn M. (2008). Building predictive models in R using the caret package. J. Stat. Softw. 28, 1–26. doi: 10.18637/jss.v028.i05
32
Kummaraka U. Srisuradetchai P. (2025). Monte Carlo dropout neural networks for forecasting sinusoidal time series: performance evaluation and uncertainty quantification. Appl. Sci. 15:4363. doi: 10.3390/app15084363
33
LeCun Y. Bottou L. Bengio Y. Haffner P. (1998). Gradient-based learning applied to document recognition. Proc. IEEE86, 2278–2324. doi: 10.1109/5.726791
34
Leisch F. Dimitriadou E. (2024). mlbench: Machine Learning Benchmark Problems. R package version 2.1-6. Available online at: https://CRAN.R-project.org/package=mlbench
35
Li J. Cheng K. Wang S. Morstatter F. Trevino R. T. Tang J. et al . (2017). Feature selection: a data perspective. ACM Comput. Surv. 50:94. doi: 10.1145/3136625
36
Liapis C. M. Karanikola A. Kotsiantis S. B. (2023). A multivariate ensemble learning method for medium-term energy forecasting. Neural Comput. Appl. 35, 21479–21497. doi: 10.1007/s00521-023-08777-6
37
Liaw A. Wiener M. (2002). Classification and regression by randomForest. R News2, 18–22.
38
Mahmud M. S. Huang J. Z. Salloum S. Emara T. Z. Sadatdiynov K. (2020). A survey of data partitioning and sampling methods to support big data analysis. Big Data Min. Anal. 3, 85–101. doi: 10.26599/BDMA.2019.9020015
39
McCallum A. Nigam K. (1998). “A comparison of event models for naive Bayes text classification,” in Proceedings of the AAAI Conference on Artificial Intelligence (AAAI-98), Madison, WI, USA (Menlo Park, CA: AAAI Press), 41–48.
40
Meyer D. Dimitriadou E. Hornik K. Weingessel A. Leisch F. (2024). e1071: Misc Functions of the Department of Statistics, Probability Theory Group, TU Wien. R package version 1.7-16. Available online at: https://CRAN.R-project.org/package=e1071
41
Mitchell T. (1997). Machine Learning. New York, NY: McGraw-Hill.
42
Murphy K. P. (2012). Machine Learning: A Probabilistic Perspective. Cambridge, MA: MIT Press.
43
Panichkitkosolkul W. Srisuradetchai P. (2022). Bootstrap confidence intervals for the parameter of zero-truncated Poisson-Ishita distribution. Thailand Statist.20, 918–927.
44
Pearl J. (1988). Probabilistic Reasoning in Intelligent Systems: Networks of Plausible Inference. San Mateo, CA: Morgan Kaufmann. doi: 10.1016/B978-0-08-051489-5.50008-4
45
Pedregosa F. Varoquaux G. Gramfort A. Michel V. Thirion B. Grisel O. et al . (2011). Scikit-learn: machine learning in Python. J. Mach. Learn. Res. 12, 2825–2830. doi: 10.5555/1953048.2078195
46
Phatcharathada B. Srisuradetchai P. (2025). Randomized feature and bootstrapped naive Bayes classification. Appl. Syst. Innov. 8:94. doi: 10.3390/asi8040094
47
Polikar R. (2006). Ensemble based systems in decision making. IEEE Circuits Syst. Mag. 6, 21–45. doi: 10.1109/MCAS.2006.1688199
48
Powers D. M. W. (2011). Evaluation: from precision, recall and F-measure to ROC, informedness, markedness and correlation. J. Mach. Learn. Technol. 2, 37–63.
49
R Core Team (2025). R: A Language and Environment for Statistical Computing. Vienna, Austria: R Foundation for Statistical Computing.
50
Ratanamahatana C. Gunopulos D. (2003). Feature selection for the naive Bayesian classifier using decision trees. Appl. Artif. Intell. 17, 475–487. doi: 10.1080/713827175
51
Rennie J. D. Shih L. Teevan J. Karger D. (2003). “Tackling the poor assumptions of naive Bayes text classifiers,” in Proceedings of the 20th International Conference on Machine Learning (ICML 2003), Washington, DC, USA (Menlo Park, CA: AAAI Press), 616–623.
52
Rish I. (2001). “An empirical study of the naive Bayes classifier,” in IJCAI Workshop on Empirical Methods in Artificial Intelligence (Seattle, WA: IJCAI Organization), 41–46.
53
Sagi O. Rokach L. (2018). Ensemble learning: a survey. WIREs Data Min. Knowl. Discov. 8:e1249. doi: 10.1002/widm.1249
54
Schapire R. E. (2003). “The boosting approach to machine learning: an overview,” in Nonlinear Estimation and Classification (New York, NY: Springer), 149–171. doi: 10.1007/978-0-387-21579-2_9
55
Schober P. Boer C. Schwarte L. A. (2018). Correlation coefficients: appropriate use and interpretation. Anesth. Analg. 126, 1763–1768. doi: 10.1213/ANE.0000000000002864
56
Schryen G. (2022). Speedup and efficiency of computational parallelization: a unifying approach and asymptotic analysis. arXiv preprint arXiv:2212.11223. doi: 10.2139/ssrn.4327867
57
Shawe-Taylor J. Cristianini N. (2004). Kernel Methods for Pattern Analysis. Cambridge: Cambridge University Press. doi: 10.1017/CBO9780511809682
58
Soria D. Garibaldi J. M. Ambrogi F. Biganzoli E. M. Ellis I. O. (2011). A ‘non-parametric' version of the Naive Bayes classifier. Knowl. -Based Syst.24, 775–784. doi: 10.1016/j.knosys.2011.02.014
59
Sriprasert S. Srisuradetchai P. (2025). Multi-K KNN regression with bootstrap aggregation: accurate predictions and alternative prediction intervals. Edelweiss Appl. Sci. Technol. 9, 2750–2764. doi: 10.55214/25768484.v9i5.7589
60
Tantalaki N. Souravlas S. Roumeliotis M. (2020). A review on big data real-time stream processing and its scheduling techniques. Int. J. Parallel, Emergent Distrib. Syst. 35, 571–601. doi: 10.1080/17445760.2019.1585848
61
Tukey J. W. (1949). Comparing individual means in the analysis of variance. Biometrics5, 99–114. doi: 10.2307/3001913
62
Urbanowicz R. J. Meeker M. La Cava W. Olson R. S. Moore J. H. (2018). Relief-based feature selection: introduction and review. J. Biomed. Inform. 85, 189–203. doi: 10.1016/j.jbi.2018.07.014
63
Wang B. Sun Y. Zhang T. Sugi T. Wang X. (2020). Bayesian classifier with multivariate distribution based on D-vine copula model for awake/drowsiness interpretation during power nap. Biomed. Signal Process. Control56:101686. doi: 10.1016/j.bspc.2019.101686
64
Wang Q. Garrity G. M. Tiedje J. M. Cole J. R. (2007). Naive Bayesian classifier for rapid assignment of rRNA sequences into the new bacterial taxonomy. Appl. Environ. Microbiol. 73, 5261–5267. doi: 10.1128/AEM.00062-07
65
Wang Y. Zhang W. Li X. Wang A. Wu T. Bao Y. (2020). “Monthly load forecasting based on an ARIMA-BP model: a case study on Shaoxing city,” in 12th IEEE PES Asia-Pacific Power and Energy Engineering Conf. (APPEEC) (Nanjing: IEEE), 1–6. doi: 10.1109/APPEEC48164.2020.9220521
66
Weston S. Microsoft Corporation (2022a). doParallel: Foreach Parallel Adaptor for the ‘Parallel' Package. R package version 1.0.17. Microsoft Corporation, Redmond, WA.
67
Weston S. Microsoft Corporation (2022b). foreach: Provides Foreach Looping Construct. R package version 1.5.2. Microsoft Corporation, Redmond, WA.
68
Zhang H. (2004). “The optimality of naive Bayes,” in Proceedings of the 17th International Florida Artificial Intelligence Research Society Conference (FLAIRS 2004), Miami Beach, FL, USA (Menlo Park, CA: AAAI Press), 562–567.
69
Zhang T. (2004). “Solving large scale linear prediction problems using stochastic gradient descent algorithms,” in Proceedings of the 21st International Conference on Machine Learning (ICML'04), Banff, Alberta, Canada (New York, NY: Association for Computing Machinery), 1–10. doi: 10.1145/1015330.1015332
70
Zhou Z.-H. (2012). Ensemble Methods: Foundations and Algorithms. Boca Raton, FL: Chapman and Hall/CRC. doi: 10.1201/b12207
Summary
Keywords
classification, bootstrap aggregation, ensemble learning, R package, probabilistic calibration
Citation
Srisuradetchai P (2025) Posterior averaging with Gaussian naive Bayes and the R package RandomGaussianNB for big-data classification. Front. Big Data 8:1706417. doi: 10.3389/fdata.2025.1706417
Received
16 September 2025
Revised
07 November 2025
Accepted
25 November 2025
Published
11 December 2025
Volume
8 - 2025
Edited by
Mohammad Akbari, Amirkabir University of Technology, Iran
Reviewed by
Balázs Villányi, Budapest University of Technology and Economics, Hungary
Kalyanaraman Pattabiraman, VIT University, India
Updates
Copyright
© 2025 Srisuradetchai.
This is an open-access article distributed under the terms of the Creative Commons Attribution License (CC BY). The use, distribution or reproduction in other forums is permitted, provided the original author(s) and the copyright owner(s) are credited and that the original publication in this journal is cited, in accordance with accepted academic practice. No use, distribution or reproduction is permitted which does not comply with these terms.
*Correspondence: Patchanok Srisuradetchai, patchanok@mathstat.sci.tu.ac.th
Disclaimer
All claims expressed in this article are solely those of the authors and do not necessarily represent those of their affiliated organizations, or those of the publisher, the editors and the reviewers. Any product that may be evaluated in this article or claim that may be made by its manufacturer is not guaranteed or endorsed by the publisher.