ORIGINAL RESEARCH article
Front. Complex Syst.
Sec. Complex Physical Systems
Effect of quenched disorder on the absorbing transition in Contact processes on Comb lattice
Provisionally accepted- 1Seth Kesarimal Porwal College of Arts and Science and Commerce, Kamptee, India
- 2Rashtrasant Tukadoji Maharaj Nagpur University, Nagpur, India
Select one of your emails
You have multiple emails registered with Frontiers:
Notify me on publication
Please enter your email address:
If you already have an account, please login
You don't have a Frontiers account ? You can register here
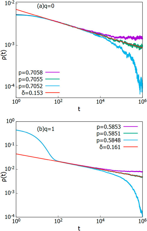
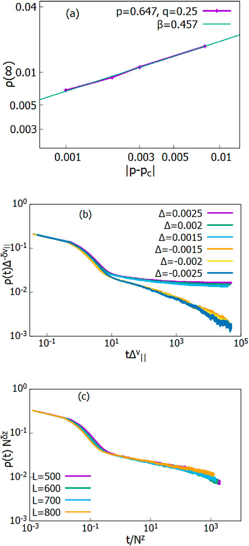
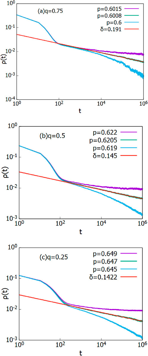
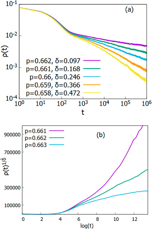
The effect of quenched disorder on the absorbing transition in the contact processes is studied on a Comb lattice. Power laws are widely observed in physical, biological, and social systems, often arising near continuous phase transitions characterized by diverging correlation lengths and universal scaling. We study the effect of quenched disorder on the critical dynamics of the contact process on a 1D comb lattice, a minimal model that captures geometric inhomogeneity while remaining analytically and computationally tractable. In our model, activity spreads over a fraction of branches q and is blocked in the rest. Without disorder, the system belongs to the directed percolation (DP) universality class. Introducing disorder alters critical behavior: for q = 0.15, the system exhibits the Griffiths phase with algebraic decay and logarithmic behavior at the criticality, indicating a shift to the activated scaling class. In contrast, when q > 0.15, the contact process on a comb-like lattice exhibits power-law decay for the order parameter only at the critical point, underscoring a clean transition between disorder-induced and standard critical dynamics.
Keywords: Griffiths phase, activated scaling class, Directed percolation, Contact process, Quenched disorder, Comb lattice
Received: 02 Aug 2025; Accepted: 14 Oct 2025.
Copyright: © 2025 Bhoyar and Gade. This is an open-access article distributed under the terms of the Creative Commons Attribution License (CC BY). The use, distribution or reproduction in other forums is permitted, provided the original author(s) or licensor are credited and that the original publication in this journal is cited, in accordance with accepted academic practice. No use, distribution or reproduction is permitted which does not comply with these terms.
* Correspondence: Priyanka D Bhoyar, pribhoyar@gmail.com
Disclaimer: All claims expressed in this article are solely those of the authors and do not necessarily represent those of their affiliated organizations, or those of the publisher, the editors and the reviewers. Any product that may be evaluated in this article or claim that may be made by its manufacturer is not guaranteed or endorsed by the publisher.
