Your new experience awaits. Try the new design now and help us make it even better

ORIGINAL RESEARCH article

Front. Digit. Health, 24 November 2025

Sec. Connected Health

Volume 7 - 2025 | https://doi.org/10.3389/fdgth.2025.1610353

This article is part of the Research TopicAdvancing Vocal Biomarkers and Voice AI in Healthcare: Multidisciplinary Focus on Responsible and Effective Development and UseView all 12 articles

On Acoustic Voice Quality Index measurement reliability in digital health applications: a narrative review and empirical evaluation of speech sample length requirements

  • Department of Clinical Sciences, Division of Speech and Language Pathology, Umeå University, Umeå, Sweden

The Acoustic Voice Quality Index (AVQI) is a widely adopted tool for assessing dysphonia, incorporating sustained vowel and continuous speech samples to enhance ecological validity. Despite its broad use, the reliability of AVQI measurements, particularly in digital health applications, remains underexplored. This study aims to review the literature on AVQI's development and validation from the perspective of internal consistency of acoustic measurements, and to assess the amount of speech required to reliably determine the AVQI of a voice recording. Two sub-studies are described. Study 1: A narrative review was conducted using Google Scholar and Scopus to identify studies mentioning “AVQI” and “reliability”. Key methodological details were extracted from studies reporting AVQI measurements, summarized, and discussed in terms of how the internal consistency of acoustic measurements was ensured across studies where AVQI had been validated or applied. Study 2: Recordings of read and spontaneous speech as well as sustained vowels produced by 54 native Swedish speakers (22 female, 32 male; age range: 46–78 years) were assessed in terms of the amount of speech required to obtain a reliable acoustic measurement of the speakers' voices. Simulations were performed using read and spontaneous speech materials of varying lengths. The variability in AVQI and its sub-measures was analyzed relative to the length (in words or in seconds) of continuous speech included. The result of study 1 shows that out of 129 identified studies, 85 reported on AVQI measurements. The review highlighted substantial variability in continuous speech lengths used across studies, ranging from 4–200 words. A recommendation of 3 s of voiced segments was often adhered to, but was found to lack sufficiently robust grounding. The simulations indicated that AVQI achieves internal consistency at speech lengths of approximately 50 words (or 20 s), which is longer than the current recommendation. Both read and spontaneous speech provided stable AVQI measurements at these speech lengths. AVQI thresholds obtained using speech lengths shorter than 50 words (20 s) may require re-evaluation. Robust standardization of continuous speech lengths is essential for the successful adoption of AVQI in digital health applications.

Introduction

The ability to screen for symptoms of dysphonia hinges on the reliability of the methods and the ability to replicate the observation outside of the screening context. Acoustic analysis is well recognized as a promising domain for developing diagnostic tools for digital health applications for dysphonia, due to its high availability and relatively moderate resource requirements. The simplicity of the data acquisition procedure, often requiring only a microphone of sufficient quality and a quiet room to perform, allows administration of non-expert clinical staff to document voice symptoms, as well as experts to support symptom diagnosis. Many methods for screening and diagnostics based on a single or a few acoustic properties have been proposed. While these methods can be successful in making simple distinctions about whether a voice is likely to have dysphonia, some lack the ecological validity needed for comprehensive assessment. Sustained vowel production remains the cornerstone of voice quality assessment due to the affordance for assessing properties of phonation and respiration in an environment free from interference caused by dynamics in laryngeal and articulatory muscles.

The Acoustic Voice Quality Index (AVQI) is a digital health assessment and screening method for voice impairment that was designed to achieve a higher ecological validity over then existing assessment techniques by also incorporating continuous speech into the analysis (1, 2). The AVQI has been shown to have a high validity in terms of its ability to correctly identify a range of vocal fold mass lesions (vocal fold polyps, Reinke's hyperplasia, carcinoma, chronic hyperplastic laryngitis with keratosis, papillomata, vocal fold nodules, keratosis without laryngitis, and amyloid), nonorganic voice disorders (ventricular and functional dysphonias), other benign voice disorders (laryngeal cysts, sulcus glottidis, laryngeal web, arytenoid granuloma), and voice disorders of neurological diseases (vocal fold paralysis, Parkinson's disease, and Huntington's disease) (2). The AVQI incorporates a linear combination of acoustic voice measures (the cepstral peak prominence (CPPS), Harmonic to Noise Ratio (HNR), the Slope and Tilt of the Long Time Averaged Spectrum (LTAS Slope and LTAS Tilt), the local absolute Shimmer (Shim local), and dB scaled local Shimmer (Shim local DB)) into a single index (1.0–10.0). The AVQI is sensitive to language-specific features and requires a local validation to serve as a point of reference in the evaluation. Local validation efforts determine the threshold value for separating voices produced by normophonic (without impairment) and dysphonic speakers. A recent systematic review concluded that the language-specific AVQI thresholds ranges between 1.33 and 3.15 for the most recent version of the AVQI implementation (3). An AVQI change of 0.95 has been found to reflect the observation of a clinically meaningful change by a clinical expert in formal assessment of symptom worsening or improvement (4). A high likelihood of a clinically meaningful change in a patients self-perceived level of disability is suggested by an AVQI change of 1.36 or more. The AVQI has accessible computer implementations (5, 6) and efforts are currently being made to implement the AVQI in smartphones to increase clinical availability (7).

Successful adoption of digital health assessment or screening hinges on the psychometric properties of the entire measurement and evaluation procedure (8). The neglect of reliability issues in digital health information is, however, a well-recognized problem (9, 10). In acoustic assessment of voices, outcomes are well recognized to be sensitive to the influence of several factors, such as recording conditions and the recording equipment's technical specification and positioning (1115). When dynamic speech audio signals form the basis for the assessment, the outcome is also susceptible to influence by the introduction of a continuously changing nature of the voice signal. If an assessment procedure is likely to change depending on which exact portion of speech was injected, the internal consistency (16) is considered at risk and must be managed. Ensuring robustness against these sources of influence, either in the algorithm or through safeguards aimed at ensuring the equivalence of materials at data acquisition, is therefore essential. Failing to do so may compromise the outcome and raise questions about the method's validity in clinical practice.

The AVQI is a well-researched assessment procedure that has been concluded to afford detection of dysphonia and estimation of dysphonia severity across many languages. A cursory view of reports, however, reveals that there may be substantial variation in how much continuous speech material the AVQI analysis was based on across studies. Prominent validation studies use approximately 3 s (17), a small number of words in the 12–15 approximate range (18), 50–70 words (19, 20), or substantially longer sequences (21). Varying material bases across validations of the measure is, in itself, not a significant issue, provided that the material is well-suited to form the basis for an assessment of the speaker's voice quality. However, with the observation of widely different materials being used across validation studies, the degree to which material selection and its impact on the reliability and ensured validity of the AVQI demands a more thorough investigation. Further, it becomes of interest to investigate the speech material length required to afford assessment of AVQI with good internal consistency, so that it can be relied on to capture the presence and severity of dysphonia in a person's voice.

The aims of this study were to 1) perform a narrative review of studies in which the AVQI is validated or used from viewpoint of how reliability of the acoustic measurements was ensured or investigated, and 2) determine through simulation how much continuous speech material is likely to be required to provide AVQI measurements with good internal consistency in outcomes, both in read and spontaneous speech.

Study 1—a narrative review of the adoption of reliability safeguards for the AVQI

The aim of Study 1 was to provide an evidence-informed (22) view of the validation of the AVQI, and how it has been used in published studies to assess the level of voice impairment in a clinical population. A narrative review using a broad search strategy was performed, but with the specific aim to capture methodological aspects related to how the reliability, internal consistency, and validity of the AVQI have been ensured and estimated.

Methods

Materials

A broad search for “reliability” in combination with “AVQI” was performed in Google Scholar and Scopus on March 11th, 2025. The exact query used was “[ALL (‘reliability’) AND ALL (‘AVQI’)]”, and no date limits were applied. The inclusion criteria were 1) that the study was an original report of an empirical investigation published either in a peer-reviewed journal or in conference proceedings, 2) the study should provide information from AVQI measurements explicitly made to meet the reviewed study's aims, 3) that sufficient methodological details were made available to determine the nature of the material the AVQI was based on, and 4) that the required methodological details were made available in English, Swedish, German or Spanish so that the author could confidently extract them. Correspondingly, studies were excluded from the extraction of information of interest if the AVQI was only mentioned or described and not used for empirical measurement for the specific report, or if the methodological details were insufficient or unavailable to the author due to language constraints.

From each study included in the analysis, information on the language being spoken by the speakers, publication year, the number of participants, the length of the sustained vowel sample, the length of continuous speech included, the nature of the task the speakers were asked to perform to collect the continuous speech, and aspects of the method that aimed to assess the reliability of the acoustic measurement of AVQI was collected. When possible, in relation to the availability of language-specific standardized texts, reported text lengths, such as the number of text initial syllables or sentence numbers in the text, were converted to the corresponding number of words. When the standard text could not be obtained, the original reported quantity was retained in the summary table. While not the primary focus of the review, the study outcomes were also compiled for each study. Further, the studies were placed in broad categories of Validation studies, Reliability assessment studies, and Application studies, with an allowance for one study to belong to more than one category.

All identified articles were analysed by the author using a standardized screening form. To investigate the inter-rater reliability of the information extraction, a repeated analysis was performed on a random selection of 20 articles for inclusion/exclusion decisions, study classification (Validation study, Reliability assessment study, and Application study), number of participants included, and whether information on an effort to assess or ensure measurement reliability was reported.

Results

In total, 129 studies mentioning “AVQI” and “reliability” were identified. 16 studies discussed AVQI measures that were not collected for the study or referred to material published elsewhere in a local language. 28 studies mentioned the AVQI in passing without using the measure in the study, or did not provide detailed information on how the measurements had been performed, and could not form a basis for reliability assessment. 85 studies (15, 1721, 2395) included information on the materials used and how the AVQI had been obtained, and were subsequently included in the analysis. For two studies, only partial information could be extracted. The repeated analysis of a random selection of 20 articles showed a 91% agreement with the original determination of inclusion/exclusion decisions, study classification (Validation study, Reliability assessment study, and Application study), number of participants included, and whether information on an effort to assess or ensure measurement reliability was reported. Discrepancies between analyses were resolved, and the final information extracted from the included studies is presented in Supplementary Materials A (15, 1721, 2395).

The AVQI measure is computed from two types of materials, a sustained vowel and a section of continuous speech. With regard to the sustained vowel, there is a rudimentary agreement among studies that a vowel sample of at least 2 s should be collected, and most studies include a 3 s sustained vowel sample. The middle portion was primarily where the vowel sample was extracted, but some studies considered instead the stability of the vowel production when determining the portion to extract. In local contexts, it was common to give the speaker more than one production attempt and then use the most stable or otherwise suitable production. The use of the entire vowel, or an unspecified part of it, was not uncommon across studies, and some studies reported an aim of collecting a vowel that was just not too short to be their primary methodological consideration.

For the continuous speech portion, a near consensus of asking the participant to read a text out loud was observed among studies. Localized use of a verbal task where the participant is asked to count from one to ten is also observed. No identified study used spontaneous speech. A wide range of lengths of texts (4–200 words) that the participants were asked to read is observed. A recommendation by key investigators of the AVQI (23) of using 3 s of voiced portions of speech was identified, and was often, but not exclusively, adhered to. The recommendation was made based on an evaluation of speech sample lengths in three categories, where the other lengths were a 12 word portion or the full 60-word standard text, respectively.

Two studies report the duration (in seconds) of samples (25); the number of sentences, words, or syllables was, however, observed to be the dominant unit used when reporting continuous speech lengths. The impact of the length of continuous speech material is considered only in one study (23). The length of material used when validating the AVQI in a local context is not consistently adhered to in subsequent applied studies in the same language.

While perceptual or clinical rater reliability is assessed and reported in applicable studies, the corresponding attention to assessing or ensuring the degree of acoustic measurement reliability is not frequently observed. The study by Barsties et al. (96) is a notable exception, where portions of different lengths of the read text were evaluated, where the 3 s material used achieved overall improved performance in the 0.03–0.08 range across performance metrics over the 12 and 60-word text length alternatives. One study assessed whether manual identification of voiced segments is required, with the conclusion that a standardized length of 27 syllables provided comparable results whether manually segmented or not (54), which may be up to 38 syllables in other languages (96).

Comparisons of different versions of AVQI are made within the same acoustic material, and estimated sensitivity, specificity, accuracy, or area under the receiver operating characteristic curve (ROC AUC) are performed in the entire data sample. In only one validation study (77), a separate evaluation set for determining sensitivity, specificity, and ROC AUC of their proposed AVQI threshold value for distinguishing homophonic and dysphonic speakers was used. Balanced groups of dysphonic and normophonic speakers are not generally observed in the reviewed studies. Maryn et al. (1) performed cross-validation for the correlation of AVQI with the perceptual evaluation, but not when deriving the AVQI threshold or when computing performance measures (sensitivity, specificity, ROC AUC) for the AVQI model. In relation to the risk of AVQI thresholds being selected based on a model that is overfitted to the data it was trained on and not transferable to new materials with retained predictive accuracy (96, 97), only the Lithuanian language has a validation for which the sensitivity and specificity obtained under a reliable statistical methodology (77). The reported cross-validated performance reported by Maskeliūnas et al. (77) is noted to be lower than the performances reported in other, not cross-validated, validation studies.

A methodological issue raised by the review is the use of lossy compression algorithms (MP3 encoding) when storing the acoustic recording before AVQI analysis. One study (38) report storage of speech recordings in the MP3 format. A complementary search of “AVQI” and “MP3” anywhere in a report [ALL (“MP3”) AND ALL (“AVQI”)] found one other study using this procedure for their recordings while computing the AVQI (98). A second study (39), excluded from the initial review set due to AVQI only being discussed and never applied, discussed in general terms that MP3 format may be safe to use for spectrally localized measurements, such as fundamental frequency, while measures influenced by more of the spectrum may be more sensitive to the destructive compression used, citing an earlier study (100) as the basis for drawing this conclusion. While the conclusion that fundamental frequency may be robust to lossy compression has been given additional support in more recent works (101) the CPP and LTAS subcomponents of AVQI, for instance, may be less robustly reproduced when the storage file format is not considered (102). However, since lossy compression formats (like the MP3 format) were not extensively used in the reviewed literature, the issue was not considered further in the review.

Discussion of study 1 findings

The results of the narrative review revealed a substantial variability in continuous speech lengths used (4–200 words) in the validations of AVQI across languages. Since AVQI is evaluated against a threshold determined for each language, the impact of variability in source materials is not problematic, provided that AVQI measurements are compared against comparable results in the local validation. However, the narrative review also noted a concerning trend of applied studies not always following the data application procedure of the validation study for the local language. A meta-analysis of AVQI threshold values found in validation studies for different languages has been made available (3), but requires updating to include the many validation efforts reported on since its publication. The robustness of a commonly cited recommendation of 3 s of voiced segments, which is frequently adhered to in studies, may be questioned on methodological grounds, and demands external validation.

Methods for achieving a good balance between the ecological validity of AVQI outcomes and the internal consistency of the measure demand increased attention. In recordings of continuous speech, the acoustic signal is constantly changing, and continuous speech was incorporated in the AVQI procedure with the aim of increasing the ecological validity of assessments (1). The recommendation to include a narrow initial portion of a recording and the controlled nature of the read speech task, or the even more controlled task of counting out loud, appear to contradict this design aim. How well AVQI measures obtained from heavily controlled speech material can be transferred to less controlled speech, such as when speaking spontaneously, has not received attention in previous reports. The choice of recommending strict control over the injected material to achieve stability in measurements may be premature, as the review found no investigations into the acoustic measurement robustness of the AVQI, and how it can be enhanced to support assessment of a speaker's voice with ensured internal consistency. The lack of cross-validation procedures in most studies further compounds these reliability concerns, as performance estimates may be inflated due to overfitting to training data.

Lossy compression was used in one study for storing acoustic recordings prior to AVQI measurement. Of importance for further digital health adoption of the AVQI is that the practice and potential impact of lossy compression on the reliability and validity of assessments are thoroughly discussed. Lossy compression of voice signals is known to introduce some variation in measurement outcomes (102104), but there are currently no recommendations against it in the AVQI literature, and no evaluation of the impact of lossy compression on AVQI measurements. The practice of using lossy compression to save storage space is, however, not found to be widespread, and currently not a substantial threat to the reliable clinical use of the AVQI. With an implementation of AVQI into smartphones being planned (7), the impact of microphone quality and lossy compression (102) may, however, demand formal evaluation to provide well-supported recommendations that ensure a maintained validity in clinical use of AVQI in the future.

Conclusion

While the collection of the sustained vowel material for an AVQI is performed in an approximately equivalent manner, there is substantial variance in how much continuous speech is used in validation studies across languages. The speakers are generally asked to read a standard text to elicit the continuous speech material, of which all but the voiced portions of the initial 3 s are excluded when making an AVQI measurement according to the recommended procedure. Whether the AVQI exhibits good internal consistency and can be generalized to all possible measurement results that could have been obtained from a voice, and methods for achieving a robust outcome, demands increased attention.

Study 2—determination of the read and spontaneous speech length required to achieve internal consistency in AVQI assessments

Study aim

The results from Study 1 showed that the internal consistency of AVQI, in terms of measurement outcomes being replicable in other portions of speech in the same recording, demands increased attention. Further, transfer from speech with controlled content, predominantly read speech, to spontaneous speech has not been explored. In Study 2, an alternative strategy to achieve robustness by increasing the length of analyzed continuous speech was explored. Utterances of both read and spontaneous speech were generated by concatenation of recorded utterances in the simulation procedure, to support an evaluation of the ability to achieve good internal consistency in both read and spontaneous speech.

Methods

This study received ethical approval following review by The Swedish Ethical Review Authority (Case number 2022-05630-02).

Materials

Recordings of sustained vowels, read speech, and spontaneous speech were collected from 54 native speakers of Swedish (22 female, 32 male) using a Zoom H4n Pro recorder (48 kHz sampling rate). The speakers read two standard texts [“A Difficult Case” [Ett svårt fall] and “The Trapetize Artist” [Trapetskonstnären] (105107)] and held a monologue related to a topic that they were interested in. All sentences in the text readings and spontaneous speech monologues were identified manually, marked for start and end times, and further annotated in terms of the number of words produced in the sentence. The duration in seconds was also noted for each utterance. See Table 1 for a summary of speaker demographics and a presentation of the number of read and spontaneous speech utterances, and the number of words and duration (in number of seconds) of these utterances.

Table 1
www.frontiersin.org

Table 1. Demographic information on the participants and an overview of the continuous speech materials identified in the read and spontaneous speech recordings. The results of a statistical test of differences between materials produced by female and male participants are also indicated.

Procedure

Each produced utterance was extracted from the recordings and placed in a separate sound file. From the read speech utterances, unique continuous speech materials were constructed by iteratively selecting an increasing number of the utterances at random from the pool of utterances for a speaker. The selected utterances were then concatenated into one continuous speech material. The first set, therefore, contained one randomly selected utterance, the second set was constructed from two randomly selected utterances concatenated together, the third set was the concatenation of three randomly selected utterances, and so on. Finally, the largest continuous speech material was made from all utterances produced in the task by a speaker, concatenated together in order of their random selection. The spontaneous speech materials for each speaker were constructed using the same procedure.

Acoustic analysis

All read and spontaneous speech materials were combined with a sustained vowel with a 3-second duration, and an AVQI measure was computed. The median values of sub-measures from which the AVQI is computed (CPPS, HNR, LTAS Slope, LTAS Tilt, Shim local, and Shim local DB) were also noted. All acoustic measurements were performed using the official implementation of AVQI v3.01 for Praat using the parselmouth software package (108).

Statistical analysis

A per-speaker median was calculated for the acoustic measures as an estimate of the true value for the speaker (Table 2). The difference between measures obtained from constructed sets of continuous speech materials and the corresponding speaker median values was analyzed in terms of the observed variability as a function of the length of continuous speech material used. The 0.95 and 1.36 levels of deviation from AVQI medians were used as visual references indicating clinically meaningful worsening or improvement in disability by patients and clinical experts, respectively (4). Separate analyses were performed for read and spontaneous speech, and approximate desirable speech lengths were determined from the visualizations of spread from the speaker median for AVQI or an acoustic subcomponent of AVQI. A good internal consistency in measurement was considered to have been achieved when 1) the constructed continuous speech samples within a length range (5 words or 5 s, respectively) were within subclinical deviation from the speaker median, and 2) the samples' median (the box plot center line) stabilized around the zero line with no notable deviations form that line when larger constructed samples were analyzed. Differences in material lengths produced by female and male speakers, both in terms of the number of words and in the duration of utterances in seconds, were assessed using Wilcoxon rank sum testing (Table 1). Similarly, gender differences in acoustic outcomes (regarding the AVQI and its subcomponents) were assessed using the Wilcoxon rank sum test (Table 2). All statistical testing, data preparation, and visualizations were performed in the R programming language (109).

Table 2
www.frontiersin.org

Table 2. Overview of the median AVQI and per speaker median values of all acoustic properties from which the AVQI is computed. The results of a statistical test of differences between acoustic measurements of female and male participants are also presented.

Results

The stability of AVQI as a function of how much continuous speech material it was based on is presented in Figure 1 for read speech and Figure 2 for spontaneous speech. The corresponding displays for CPPS, HNR, LTAS Slope, LTAS Tilt, Shim local, and Shim local DB, from which the AVQI is computed, are presented in Supplementary Materials B. No indications of clinically meaningful differences are, however, provided for these acoustic properties as they have not been determined. The AVQI measure displayed a substantial risk of deviating to a clinically meaningful extent from the speaker's median AVQI if continuous speech of less than 20 words (or 10 s) is used for both the read speech (Figure 1) and continuous speech (Figure 2) materials. Stable AVQI measures were, however, achieved when more materials are added, and once stability was achieved, only small, sub-clinical fluctuations were observed for both continuous speech types.

Figure 1
Box plot displaying the variation in difference from the speaker's median AVQI when reading. sections. The left section shows data based on the number read words, ranging from 5 to 170 words. The right section based on the total duration of read speech samples, from 0 to 130 seconds. Both sections illustrate median values, interquartile ranges, and outliers.

Figure 1. Variation in AVQI measures relative to the speakers' median AVQI as a function of the length of read speech material used. The length of read speech material is displayed in terms of the number of words in the continuous speech (left) and in terms of total speech duration in seconds (right). Horizontal reference lines indicating estimated levels of clinically meaningful change (4) as perceived by experts (dotted lines) and as reported by patients in relation to the perceived level of disability (dashed and dotted lines) are also provided.

Figure 2
Box plot displaying the variation in difference from the speaker's median AVQI in spontaneous sections. The left section shows data based on the number read words, ranging from 5 to 175 words. The right section based on the total duration of read speech samples,from 0 to 115 seconds. Both sections illustrate interquartile ranges, and outliers.

Figure 2. Variation in AVQI measures relative to the speakers' median AVQI as a function of the length of spontaneous speech material used. The length of read speech material is displayed in terms of the number of words in the continuous speech (left) and in terms of total speech duration in seconds (right). Horizontal reference lines indicating estimated levels of clinically meaningful change (4) as perceived by experts (dotted lines) and as reported by patients in relation to the perceived level of disability (dashed and dotted lines) are also provided.

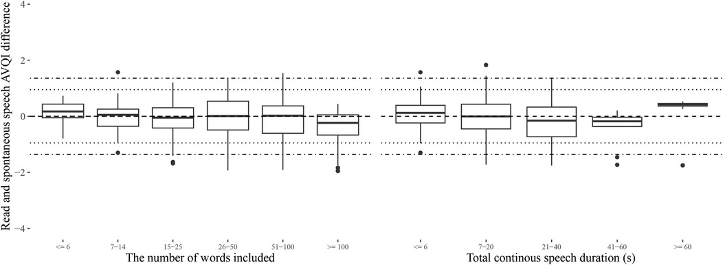
The estimated length of continuous speech materials required to achieve stable measurements of AVQI is summarized in Table 3, along with the corresponding estimates of the acoustic sub-measures from which the AVQI is computed. The LTAS measures are observed to stabilize earlier than all other sub-measures, which stabilize at the approximate length of material where the AVQI measure stabilizes. Differences between AVQI measures obtained from read and spontaneous speech remain within clinically meaningful limits (Figure 3) across approximate continuous speech length ranges found in the literature (Supplementary materials A). An AVQI obtained from read speech samples of sufficient length, conservatively estimated to be greater than 50 words and 20 s, is observed to afford transfer to spontaneous speech within clinically motivated confidence limits.

Table 3
www.frontiersin.org

Table 3. The approximate length of continuous speech after which AVQI and its acoustic sub-measures achieved stable levels. The continuous speech lengths are measured in terms of number of words or the total duration (in seconds).

Figure 3
Box plot showing AVQI differences in read and spontaneous speech. The x-axis represents two categories: number of words included and total continuous speech duration in seconds. Each category is divided into subranges. The y-axis measures AVQI differences from -4 to 4. Data is distributed across the subranges with median, quartiles, and outliers clearly marked.

Figure 3. The differences between AVQI obtained from read and spontaneous speech in length (number of words or duration in seconds) categories that approximate the range of alternatives observed in the literature (Supplementary Materials A). Horizontal reference lines indicating estimated levels of clinically meaningful change (4) as perceived by experts (dotted lines) and as reported by patients in relation to the perceived level of disability (dashed and dotted lines) are also provided.

Discussion

The results indicate that internal consistency in AVQI measurements of a speaker is achieved when approximately 50 words, or approximately 20 s, or more of continuous speech is included. Consistency is achieved at the same approximate continuous speech lengths for both read and spontaneous speech, and the difference between AVQI measures obtained for these two kinds of continuous speech remains subclinical across all relevant length ranges. The results suggest that too short samples produce both a situation where AVQI is highly unstable, which is interpreted as being caused by a high dependence on the exact sentence used, and also may systematically underestimate the AVQI. If a continuous speech of sufficient length is included, however, AVQI results are shown to be relatively unaffected by the exact sentences analyzed. The results further indicate an affordance for transferring conclusions from read speech to continuous speech.

Overall discussion

The AVQI measure is a digital health assessment procedure for dysphonia severity that has received much recent attention for its detection accuracy, has been most extensively validated across a wide range of languages, and is being evaluated for remote assessment and screening using a mobile phone application. Successful broad adoption of a digital health assessment procedure hinges on the consistency in outcomes being maintained when it transferred to a less controlled setting. The narrative review presented here, however, indicated a need to put additional focus on measurement reliability with regards to the AVQI measure. There is currently no standard for the amount of continuous speech material that should be collected across language-specific validation efforts adopted across languages, and validation and application studies do not always follow the same data collection procedures. Further, the performance of the AVQI has not, in general, been evaluated in a separate validation set, which means that performance estimates are open to being inflated, to an unknown degree, due to overfitting the training data. Overfitting is a serious concern when building automatic assessment techniques, and the severity of the effect of this issue requires immediate attention in relation to all validation studies. It is suggested that AVQI threshold values should be deduced in a training set of 75%–80% of the data that should be selected in a stratified manner with regard to medical condition and speaker age and gender, so that the training and evaluation sets have comparable distributions for these demographic properties. Estimating the sensitivity, specificity, ROC AUC, and other measures should then be done only based on the 20%–25% of the speakers not included in the training set. It is expected that reported performance metrics of AVQI will be reduced as a result of this modified evaluation procedure, but the results will provide a more reliable point of reference for subsequent research in which the AVQI threshold is applied to assess new speakers.

As a secondary consequence of a revised AVQI threshold determination procedure, the only existing recommendation of using the equivalent of 3 s of voiced continuous speech, while not adhered to in all studies, may require revision. Clear measurement guidelines are essential to ensure reliable results, but the guidelines themselves need to be determined by reliable evaluation procedures. In the case of the AVQI recommendation of 3 s of voiced portions of continuous speech (23), the conclusion was the result of an observation of somewhat better performance in a material of this structure compared to, for instance, when an entire standard text was included. The improvement observed using 3 s compared to the whole standard text was, however, not substantial. Since performance metrics were evaluated in the training data, it is further reasonable to assume that they are inflated. The size of the effect of overfitting is not often estimated and reported in studies, but the results from one report (110) indicate an up to 4x improvement in explained variance of a regression model when evaluated within the training data compared to a separate validation data set, which indicates that the implications of overfitting to the training data should not be disregarded. One should, however, not presuppose that the performance of AVQI computed from a 3 s material is reduced to the same degree as when computed from a larger portion of text when assessed in separate evaluation data. In fact, the results presented here suggest that longer materials may provide AVQI measurements that are less sensitive to changes in material. Differences in AVQI performances across training and evaluation data require, however, a separate evaluation and should be the target of further research.

The results suggest that a reliable AVQI for a speaker requires substantially longer recordings of text readings (approximately 50 words or 20 s) than the recommendation and the material used in many validation efforts. While a high level of reliability of AVQI can be achieved by consistent use of materials for its computation, this strategy does not transfer to a high internal consistency of the procedure. Further, it requires consistency use of procedures in validation and application studies, which was not always observed in the narrative review. If consistent use is not achieved across research studies, inconsistent clinical use of the assessment procedure is likely to occur. Therefore, methods for ensuring increased AVQI robustness to speech material differences, such as increasing the length of included speech, appear to provide a better way forward in the adoption of the AVQI in clinical assessment of dysphonia.

The AVQI is an established and widely adopted acoustic assessment method for dysphonia detection and assessment of severity that has been validated in substantial samples of speakers. In a digital health context, an ensured data quality is highlighted as requiring increased attention (111), and the results presented here highlight key areas of improvement for the AVQI procedure which can likely be achieved with relative ease. In most local care contexts, standardized texts longer than the 50 words shown here to provide internal consistency for AVQI are in clinical use in voice-based assessments. Therefore, a simple adjustment of only the acoustic analysis phase may be all that is needed to improve AVQI reliability and generalizability. Estimation of AVQI threshold and evaluation of the performance of the selected threshold in separate sets of speakers is likely to provide more reliable estimates of the assessment accuracy of AVQI. Further, comparisons with patient-reported outcome measures (51, 112) may become more appropriate due to this adjustment. The speaker's gender has been indicated not to influence the AVQI (21, 39, 63) and the effect of speaker age may exist, predominately, when comparing speakers with substantial age differences (75). Nevertheless, age and gender matching as well as an ensured balance in cases and controls are cornerstone improvements on which further development of the measure hinges, and should crucially be included in the design of the coming validation efforts for the AVQI assessment measure.

This study has methodological limitations that should be considered when evaluating the findings. First, the narrative review used only two databases for identifying studies to be included. The databases are large and include both reports published in scientific journals and in scientific reports written by for other audiences. However, studies that would have been of interest to incorporate into the reviewed material may still have been omitted by the methodological decision to include search results from only two databases. Furthermore, the review was conducted by only one person, and instances where another reviewer would have produced a summary of the report with minor variations compared to what is reported here are likely. However, with the purpose of providing a narrative review of a single focused aspect of reports, the impact of both discrepancies between raters' readings of a report, and the failure to include singular reports, is suggested to have a limited impact on the narrative review conclusion of reliability of measurements largely having not been considered with regards to AVQI. A further limitation lies in the relatively small number of speakers from whom material was used in the simulation study. This issue warrants further attention, and the results should be considered for replication in larger speaker samples and other languages before drawing a definitive conclusion on the amount of speech required to provide a reliable AVQI measurement of a speaker's voice.

Conclusion

The Acoustic Voice Quality Index (AVQI) has received broad adoption in research. However, to ensure reliable application for dysphonia assessment and screening in a digital health context, standardization of the data acquisition procedure towards increased reliability is warranted. The data presented here suggests that text readings longer than 50 words, or longer than 20 s, provide reliable AVQI estimates for a speaker, and further that the results from text readings of this length can be transferred to spontaneous speech. In most contexts in which AVQI has been investigated, the inclusion of the entire reading of the standard text used in clinical practice is likely sufficient to achieve a reliable assessment. It is suggested that methods aimed at ensuring a generalizable estimate of reliability and validity should be given additional focus in the coming research on the AVQI, to support the potential for reliable application of the method in digital health assessments and screening.

Data availability statement

The datasets presented in this article are not readily available because the original sound files cannot be shared due to them being personal identifiable information under national law. Requests to access the datasets should be directed toZnJlZHJpay5ueWxlbkB1bXUuc2U=.

Ethics statement

The studies involving humans were approved by The National Ethics Review Authority (Case number: 2024-07006-02). The studies were conducted in accordance with the local legislation and institutional requirements. The participants provided their written informed consent to participate in this study.

Author contributions

FN: Validation, Project administration, Data curation, Methodology, Writing – review & editing, Writing – original draft, Conceptualization, Investigation, Visualization, Formal analysis, Software.

Funding

The author(s) declare that no financial support was received for the research and/or publication of this article.

Acknowledgments

The author thanks the participants for donating their time and Speech-language pathology students and research assistants Felicia Gregory, Cecilia Mellberg, Rosanna Rehn, and Victoria Lindqivst for their assistance in making speech recordings and performing the manual markup of sentences. The technical support of the Visible Speech platform developed as part of the Swedish national research infrastructure Språkbanken and Swe-Clarin supported jointly by the Swedish Research Council (2018–2024, contract 2017-00626) and the 10 participating partner institutions is gratefully acknowledged.

Conflict of interest

The author declares that the research was conducted in the absence of any commercial or financial relationships that could be construed as a potential conflict of interest.

Generative AI statement

The author(s) declare that no Generative AI was used in the creation of this manuscript.

Any alternative text (alt text) provided alongside figures in this article has been generated by Frontiers with the support of artificial intelligence and reasonable efforts have been made to ensure accuracy, including review by the authors wherever possible. If you identify any issues, please contact us.

Publisher's note

All claims expressed in this article are solely those of the authors and do not necessarily represent those of their affiliated organizations, or those of the publisher, the editors and the reviewers. Any product that may be evaluated in this article, or claim that may be made by its manufacturer, is not guaranteed or endorsed by the publisher.

Supplementary material

The Supplementary Material for this article can be found online at: https://www.frontiersin.org/articles/10.3389/fdgth.2025.1610353/full#supplementary-material

References

1. Maryn Y, Corthals P, Cauwenberge PV, Roy N, Bodt MD. Toward improved ecological validity in the acoustic measurement of overall voice quality: combining continuous speech and sustained vowels. J Voice. (2010b) 24:540–55. doi: 10.1016/j.jvoice.2008.12.014

PubMed Abstract | Crossref Full Text | Google Scholar

2. Latoszek BBv, Ulozaitė-Stanienė N, Petrauskas T, Uloza V, Maryn Y. Diagnostic accuracy of dysphonia classification of DSI and AVQI. Laryngoscope. (2019b) 129:692–8. doi: 10.1002/lary.27350

Crossref Full Text | Google Scholar

3. Jayakumar T, Benoy JJ, Yasin HM. Effect of age and gender on acoustic voice quality index across lifespan: a cross-sectional study in Indian population. J Voice. (2022) 36:436.e1–8. doi: 10.1016/j.jvoice.2020.05.025

PubMed Abstract | Crossref Full Text | Google Scholar

4. Hosokawa K, Iwahashi T, Iwahashi M, Iwaki S, Yoshida M, Kitayama I, et al. The minimal important difference of acoustic voice quality index in the treatment of voice disorders. Laryngoscope. (2024) 134:2805–11. doi: 10.1002/lary.31230

PubMed Abstract | Crossref Full Text | Google Scholar

5. Barsties B, Maryn Y. External validation of the acoustic voice quality index version 03.01 with extended representativity. Ann Otol Rhinol Laryngol. (2016) 125:571–83. doi: 10.1177/0003489416636131

PubMed Abstract | Crossref Full Text | Google Scholar

6. Latoszek BBv, Mayer J, Watts CR, Lehnert B. Advances in clinical voice quality analysis with VOXplot. J Clin Med. (2023) 12:4644. doi: 10.3390/jcm12144644

PubMed Abstract | Crossref Full Text | Google Scholar

7. Uloza V, Ulozaite-Staniene N, Petrauskas T. An iOS-based voicescreen application: feasibility for use in clinical settings—a pilot study. Eur Arch Oto-Rhino-Laryngol. (2023) 280:277–84. doi: 10.1007/s00405-022-07546-w

Crossref Full Text | Google Scholar

8. Catapan SdC, Sazon H, Zheng S, Gallegos-Rejas V, Mendis R, Santiago PHR, et al. A systematic review of consumers’ and healthcare professionals’ trust in digital healthcare. npj Digit Med. (2025) 8:115. doi: 10.1038/s41746-025-01510-8

PubMed Abstract | Crossref Full Text | Google Scholar

9. Dobbins M, Watson S, Read K, Graham K, Nooraie RY, Levinson AJ. A tool that assesses the evidence, transparency, and usability of online health information: development and reliability assessment. JMIR Aging. (2018) 1:e3. doi: 10.2196/aging.9216

PubMed Abstract | Crossref Full Text | Google Scholar

10. Zych MM, Bond R, Mulvenna M, Carracedo JM, Bai L, Leigh S. Quality assessment of digital health apps: umbrella review. J Méd Internet Res. (2024) 26:e58616. doi: 10.2196/58616

PubMed Abstract | Crossref Full Text | Google Scholar

11. Svec JG, Granqvist S. Guidelines for selecting microphones for human voice production research. Am J Speech-Lang Pathol. (2010) 19:356–68. doi: 10.1044/1058-0360(2010/09-0091)

PubMed Abstract | Crossref Full Text | Google Scholar

12. Patel RR, Awan SN, Barkmeier-Kraemer J, Courey M, Deliyski D, Eadie T, et al. Recommended protocols for instrumental assessment of voice: American speech-language-hearing association expert panel to develop a protocol for instrumental assessment of vocal function. Am J Speech-Lang Pathol. (2018) 27:887–905. doi: 10.1044/2018_ajslp-17-0009

PubMed Abstract | Crossref Full Text | Google Scholar

13. Švec JG, Granqvist S. Tutorial and guidelines on measurement of sound pressure level in voice and speech. J Speech, Lang, Hear Res. (2018) 61:441–61. doi: 10.1044/2017_jslhr-s-17-0095

PubMed Abstract | Crossref Full Text | Google Scholar

14. Gómez-Vilda P, Gómez-Rodellar A, Palacios-Alonso D, Rodellar-Biarge V, Álvarez-Marquina A. The role of data analytics in the assessment of pathological speech—a critical appraisal. Appl Sci. (2022) 12:11095. doi: 10.3390/app122111095

Crossref Full Text | Google Scholar

15. Awan SN, Bensoussan Y, Watts S, Boyer M, Budinsky R, Bahr RH. Influence of recording instrumentation on measurements of voice in sentence contexts: use of smartphones and tablets. Front Digit Heal. (2025) 7:1610772. doi: 10.3389/fdgth.2025.1610772

PubMed Abstract | Crossref Full Text | Google Scholar

16. Bannigan K, Watson R. Reliability and validity in a nutshell. J Clin Nurs. (2009) 18:3237–43. doi: 10.1111/j.1365-2702.2009.02939.x

PubMed Abstract | Crossref Full Text | Google Scholar

17. Castillo-Allendes A, Codino J, Cantor-Cutiva LC, Nudelman CJ, Rubin AD, Latoszek BBV, et al. Clinical utility and validation of the acoustic voice quality and acoustic breathiness indexes for voice disorder assessment in English speakers. J Clin Med. (2023) 12:7679. doi: 10.3390/jcm12247679

PubMed Abstract | Crossref Full Text | Google Scholar

18. Maryn Y, Bodt MD, Barsties B, Roy N. The value of the acoustic voice quality index as a measure of dysphonia severity in subjects speaking different languages. Eur Arch Oto-Rhino-Laryngol. (2014) 271:1609–19. doi: 10.1007/s00405-013-2730-7

PubMed Abstract | Crossref Full Text | Google Scholar

19. Maryn Y, Bodt MD, Roy N. The acoustic voice quality index: toward improved treatment outcomes assessment in voice disorders. J Commun Disord. (2010a) 43:161–74. doi: 10.1016/j.jcomdis.2009.12.004

PubMed Abstract | Crossref Full Text | Google Scholar

20. Bhatt SS, Kabra S, Chatterjee I. A comparative study on acoustic voice quality index between the subjects with spasmodic dysphonia and normophonia. Indian J Otolaryngol Head Neck Surg. (2022) 74:4927–32. doi: 10.1007/s12070-021-02448-5

PubMed Abstract | Crossref Full Text | Google Scholar

21. Martinho DHDC, Constantini AC. Auditory-perceptual assessment and acoustic analysis of gender expression in the voice. J Voice. (2024). doi: 10.1016/j.jvoice.2023.12.024

PubMed Abstract | Crossref Full Text | Google Scholar

22. Greenhalgh T, Thorne S, Malterud K. Time to challenge the spurious hierarchy of systematic over narrative reviews? Eur J Clin Investig (2018) 48:e12931. doi: 10.1111/eci.12931

PubMed Abstract | Crossref Full Text | Google Scholar

23. Barsties B, Maryn Y. The improvement of internal consistency of the acoustic voice quality index. Am J Otolaryngol - Head Neck Med Surg. (2015) 36:647–56. doi: 10.1016/j.amjoto.2015.04.012

PubMed Abstract | Crossref Full Text | Google Scholar

24. McAllister T, Nightingale C, Moya-Galé G, Kawamura A, Ramig LO. Crowdsourced perceptual ratings of voice quality in people with Parkinson’s disease before and after intensive voice and articulation therapies: secondary outcome of a randomized controlled trial. J speech, lang. Hear Res. (2023) 66(5):1541–62. doi: 10.1044/2023_jslhr-22-00694

Crossref Full Text | Google Scholar

25. van Brenk F, Stipancic KL, Rohl A, Corcos D, Tjaden K, Greenlee JDW. No differential effects of subthalamic nucleus vs. globus pallidus deep brain stimulation in parkinson’s disease: speech acoustic and perceptual findings. IBRO Neurosci Rep. (2024) 16:361–7. doi: 10.1016/j.ibneur.2024.01.015

PubMed Abstract | Crossref Full Text | Google Scholar

26. Stager S, Maryn Y. A retrospective study of acoustic measures of glottal stop production to assess vocal function in unilateral vocal fold paresis/paralysis patients. J Speech Lang Hear Res. (2024) 67(6):1643–59. doi: 10.1044/2024_JSLHR-23-00576

PubMed Abstract | Crossref Full Text | Google Scholar

27. Yousef AM, Hunter EJ. Sensitivity of acoustic voice quality measures in simulated reverberation conditions. Bioengineering. (2024) 11(12):1253. doi: 10.3390/bioengineering11121253

PubMed Abstract | Crossref Full Text | Google Scholar

28. Yousef AM, Castillo-Allendes A, Berardi ML, Codino J, Rubin AD, Hunter EJ. Screening voice disorders: acoustic voice quality Index, cepstral peak prominence, and machine learning. Folia Phoniatr Logop. (2025) 77(5):1–15. doi: 10.1159/000544852

PubMed Abstract | Crossref Full Text | Google Scholar

29. Reynolds V, Buckland A, Bailey J, Lipscombe J, Nathan E, Vijayasekaran S, et al. Objective assessment of pediatric voice disorders with the acoustic voice quality index. J Voice. (2012) 26(5):672.e1–e7. doi: 10.1016/j.jvoice.2012.02.002

PubMed Abstract | Crossref Full Text | Google Scholar

30. Lee JM, Roy N, Peterson E, Merrill RM. Comparison of two multiparameter acoustic indices of dysphonia severity: the acoustic voice quality Index and cepstral spectral Index of dysphonia. J Voice. (2018) 32(4):515.e1–515.e13. doi: 10.1016/j.jvoice.2017.06.012

PubMed Abstract | Crossref Full Text | Google Scholar

31. Englert M, Lima L, Behlau M. Acoustic voice quality Index and acoustic breathiness Index: analysis with different speech material in the Brazilian Portuguese. J Voice. (2020) 34(5):810.e11–e17. doi: 10.1016/j.jvoice.2019.03.015

PubMed Abstract | Crossref Full Text | Google Scholar

32. Englert M, von Latoszek BB, Maryn Y, Behlau M. Validation of the acoustic voice quality Index, version 03.01, to the Brazilian Portuguese language. J Voice. (2021) 35(1):160.e15–e21. doi: 10.1016/j.jvoice.2019.07.024

PubMed Abstract | Crossref Full Text | Google Scholar

33. Englert M, Lopes L, Vieira V, Behlau M. Accuracy of acoustic voice quality Index and its isolated acoustic measures to discriminate the severity of voice disorders. J Voice. (2022) 36(4):582.e1–582.e10. doi: 10.1016/j.jvoice.2020.08.010

PubMed Abstract | Crossref Full Text | Google Scholar

34. Penido FA, Gama ACC. Accuracy analysis of the multiparametric acoustic indices AVQI, ABI, and DSI for speech-language pathologist decision-making. J Voice. (2023) 39(3):699–706. doi: 10.1016/j.jvoice.2022.11.027

Crossref Full Text | Google Scholar

35. Rabelo ECDS, Dassie-Leite AP, Ribeiro VV, Madazio G, Behlau MS. Cepstral peak prominence smoothed - CPPS and acoustic voice quality Index - AVQI in healthy and altered children’s voices: comparation, relationship with auditory-perceptual judgment and cut-off points. CODAS. (2024) 36(4):e20230047. doi: 10.1590/2317-1782/20242023047en

PubMed Abstract | Crossref Full Text | Google Scholar

36. Maryn Y, Weenink D. Objective dysphonia measures in the program praat: smoothed cepstral peak prominence and acoustic voice quality index. J Voice. (2015) 29(1):35–43. doi: 10.1016/j.jvoice.2014.06.015

PubMed Abstract | Crossref Full Text | Google Scholar

37. D'haeseleer E, Meerschman I, Claeys S, Leyns C, Daelman J, Lierde KV. Vocal quality in theater actors. J Voice. (2017) 31(4):510.e7–510.e14. doi: 10.1016/j.jvoice.2016.11.008

PubMed Abstract | Crossref Full Text | Google Scholar

38. von Latoszek BB, Maryn Y, Gerrits E, Bodt MD. The acoustic breathiness Index (ABI): a multivariate acoustic model for breathiness. J Voice. (2017) 31(4):511.e11–e27. doi: 10.1016/j.jvoice.2016.11.017

PubMed Abstract | Crossref Full Text | Google Scholar

39. Batthyany C, Maryn Y, Trauwaen I, Caelenberghe E, van Dinther J, Zarowski A, et al. A case of specificity: how does the acoustic voice quality index perform in normophonic subjects? Appl Sci. (2019) 9(12):2527. doi: 10.3390/app9122527

Crossref Full Text | Google Scholar

40. van Sluis KE, van Son RJJH, van der Molen L, MCGuinness AJ, Palme CE, Novakovic D, et al. Multidimensional evaluation of voice outcomes following total laryngectomy: a prospective multicenter cohort study. Eur Arch Otorhinolaryngol. (2021) 278(4):1209–22. doi: 10.1007/s00405-020-06216-z

PubMed Abstract | Crossref Full Text | Google Scholar

41. D'haeseleer E, Quintyn F, Kissel I, Papeleu T, Meerschman I, Claeys S, et al. Vocal quality, symptoms, and habits in musical theater actors. J Voice. (2022) 36(2):292.e1–e9. doi: 10.1016/j.jvoice.2020.05.019

PubMed Abstract | Crossref Full Text | Google Scholar

42. Barsties B, Maryn Y. The improvement of internal consistency of the acoustic voice quality Index. Am J Otolaryngol. (2015) 36(5):647–56. doi: 10.1016/j.amjoto.2015.04.012

PubMed Abstract | Crossref Full Text | Google Scholar

43. Ello A, Sõber L, Viigand M, Lehes L. Cross-Cultural adaptation and validation of the voice handicap Index into Estonian. J Voice. (2025). doi: 10.1016/j.jvoice.2025.01.017

PubMed Abstract | Crossref Full Text | Google Scholar

44. Kankare E, Latoszek BBV, Maryn Y, Asikainen M, Rorarius E, Vilpas S, et al. The acoustic voice quality index version 02.02 in the Finnish-speaking population. Logoped Phoniatr Vocol. (2020) 45(2):49–56. doi: 10.1080/14015439.2018.1556332

PubMed Abstract | Crossref Full Text | Google Scholar

45. Faham M, Laukkanen AM, Ikävalko T, Rantala L, Geneid A, Holmqvist-Jämsén S, et al. Acoustic voice quality Index as a potential tool for voice screening. J Voice. (2021) 35(2):226–32. doi: 10.1016/j.jvoice.2019.08.017

PubMed Abstract | Crossref Full Text | Google Scholar

46. Laukkanen AM, Rantala L. Does the acoustic voice quality Index (AVQI) correlate with perceived creak and strain in normophonic young adult Finnish females? Folia Phoniatr Logop. (2022) 74(1):62–9. doi: 10.1159/000514796

PubMed Abstract | Crossref Full Text | Google Scholar

47. Convey RB, Laukkanen AM, Ylinen S, Penttilä N. Analysis of voice changes in early-stage Parkinson’s disease with AVQI and ABI: a follow-up study. J Voice. (2024). doi: 10.1016/j.jvoice.2024.05.009

Crossref Full Text | Google Scholar

48. Convey RB, Laukkanen AM, Ylinen S, Penttilä N. Analysis of voice in Parkinson’s disease utilizing the acoustic voice quality Index. J Voice. (2024). doi: 10.1016/j.jvoice.2023.12.025

Crossref Full Text | Google Scholar

49. Pommée T, Maryn Y, Finck C, Morsomme D. Validation of the acoustic voice quality Index, version 03.01, in French. J Voice. (2020) 34(4):646.e11–e26. doi: 10.1016/j.jvoice.2018.12.008

PubMed Abstract | Crossref Full Text | Google Scholar

50. Pommée T, Morsomme D. Voice quality in telephone interviews: a preliminary acoustic investigation. J Voice. (2025) 39(2):563.e1–e20. doi: 10.1016/j.jvoice.2022.08.027

Crossref Full Text | Google Scholar

51. Pommée T, Maryn Y, Finck C, Morsomme D. The acoustic voice quality Index, version 03.01, in French and the voice handicap Index. J Voice. (2020) 34(4):646.e1–646.e10. doi: 10.1016/j.jvoice.2018.11.017

PubMed Abstract | Crossref Full Text | Google Scholar

52. Barsties B, Maryn Y. The acoustic voice quality Index: toward expanded measurement of dysphonia severity in German subjects. HNO. (2012) 60(8):715–20. doi: 10.1007/s00106-012-2499-9

PubMed Abstract | Crossref Full Text | Google Scholar

53. Barsties B, Maryn Y. Test-retest variability and internal consistency of the acoustic voice quality Index. HNO. (2013) 61(5):399–403. doi: 10.1007/s00106-012-2649-0

PubMed Abstract | Crossref Full Text | Google Scholar

54. von Latoszek BB, Lehnert B, Janotte B. Validation of the acoustic voice quality Index version 03.01 and acoustic breathiness Index in German. J Voice. (2020) 34(1):157.e17–e25. doi: 10.1016/j.jvoice.2018.07.026

PubMed Abstract | Crossref Full Text | Google Scholar

55. Stappenbeck L, von Latoszek BB, Janotte B, Lehnert B. Acoustic voice quality Index and acoustic breathiness Index as two examples for strengths and weaknesses of free software in medicine. Biomed Signal Process Control. (2020) 59:101938. doi: 10.1016/j.bspc.2020.101938

Crossref Full Text | Google Scholar

56. Gierlich J, von Latoszek BB. Test-Retest reliability of the acoustic voice quality Index and the acoustic breathiness Index. J Voice. (2023). doi: 10.1016/j.jvoice.2023.07.013

PubMed Abstract | Crossref Full Text | Google Scholar

57. Müller F, Nienstedt JC, Buhmann C, Hidding U, Gulberti A, Pötter-Nerger M, et al. Effect of subthalamic and nigral deep brain stimulation on speech and voice in Parkinson’s patients. J Neural Transm. (2025) 132(3):419–29. doi: 10.1007/s00702-024-02860-5

Crossref Full Text | Google Scholar

58. Fantini M, Maccarini AR, Firino A, Gallia M, Carlino V, Gorris C, et al. Validation of the acoustic voice quality Index (AVQI) version 03.01 in Italian. J Voice. (2023) 37(4):631.e1–e6. doi: 10.1016/j.jvoice.2021.02.029

PubMed Abstract | Crossref Full Text | Google Scholar

59. Guastamacchia A, Albera A, Puglisi GE, Nudelman CJ, Soleimanifar S, Astolfi A, et al. Impact of cochlear implants use on voice production and quality. Sci Rep. (2024) 14(1):12787. doi: 10.1038/s41598-024-63688-3

PubMed Abstract | Crossref Full Text | Google Scholar

60. Rosa MS, Dell'Era V, Campagnoli M, Campini S, Barozza O, Borello G, et al. Vocal outcome following thyroidectomy for differentiated thyroid carcinoma. J Clin Med. (2024) 13(24):7576. doi: 10.3390/jcm13247576

PubMed Abstract | Crossref Full Text | Google Scholar

61. Hosokawa K, Barsties B, Iwahashi T, Iwahashi M, Kato C, Iwaki S, et al. Validation of the acoustic voice quality Index in the Japanese language. J Voice. (2017) 31(2):260.e1–e9. doi: 10.1016/j.jvoice.2016.05.010

PubMed Abstract | Crossref Full Text | Google Scholar

62. Pebbili GK, Shabnam S, Pushpavathi M, Rashmi J, Sankar RG, Nethra R, et al. Diagnostic accuracy of acoustic voice quality Index version 02.03 in discriminating across the perceptual degrees of dysphonia severity in kannada language. J Voice. (2021) 35(1):159.e11–e18. doi: 10.1016/j.jvoice.2019.07.010

PubMed Abstract | Crossref Full Text | Google Scholar

63. Shabnam S, Pushpavathi M. Effect of gender on acoustic voice quality Index 02.03 and dysphonia severity Index in Indian normophonic adults. Indian J Otolaryngol Head Neck Surg. (2022) 74:5052–9. doi: 10.1007/s12070-021-02712-8

PubMed Abstract | Crossref Full Text | Google Scholar

64. Nanjundaswamy RKB, Jayakumar T. Comparison of two multiparameter acoustic voice outcome indices in the treatment of hyperfunctional voice disorders: dysphonia severity Index and acoustic voice quality Index. J Voice. (2024). doi: 10.1016/j.jvoice.2024.06.002

PubMed Abstract | Crossref Full Text | Google Scholar

65. Shabnam S, Pushpavathi M, Sankar RG. Diagnostic accuracy of DSI and AVQI v.02.03 in discriminating across the perceptual levels of dysphonia in kannada speaking population. J Voice. (2024). doi: 10.1016/j.jvoice.2024.05.013

PubMed Abstract | Crossref Full Text | Google Scholar

66. Shabnam S, Pushpavathi M, Sankar RG, Sridharan KV, Vasanthalakshmi MS. A comprehensive application for grading severity of voice based on acoustic voice quality Index v.02.03. J Voice. (2025) 39(1):287.e1–e9. doi: 10.1016/j.jvoice.2022.08.013

PubMed Abstract | Crossref Full Text | Google Scholar

67. Maryn Y, Kim HT, Kim J. Auditory-Perceptual and acoustic methods in measuring dysphonia severity of Korean speech. J Voice. (2016) 30(5):587–94. doi: 10.1016/j.jvoice.2015.06.011

PubMed Abstract | Crossref Full Text | Google Scholar

68. Kim GH, Lee YW, Bae IH, Park HJ, Wang SG, Kwon SB. Validation of the acoustic voice quality Index in the Korean language. J Voice. (2019) 33(6):948.e1–e9. doi: 10.1016/j.jvoice.2018.06.007

PubMed Abstract | Crossref Full Text | Google Scholar

69. Kim GH, Lee YW, Bae IH, Park HJ, Lee BJ, Kwon SB. Comparison of two versions of the acoustic voice quality Index for quantification of dysphonia severity. J Voice. (2020) 34(3):489.e11–e19. doi: 10.1016/j.jvoice.2018.11.013

PubMed Abstract | Crossref Full Text | Google Scholar

70. Kim GH, von Latoszek BB, Lee YW. Validation of acoustic voice quality Index version 3.01 and acoustic breathiness Index in Korean population. J Voice. (2021) 35(4):660.e9–660.e18. doi: 10.1016/j.jvoice.2019.10.005

PubMed Abstract | Crossref Full Text | Google Scholar

71. Lee YW, Kim GH. Usefulness of direct magnitude estimation (DME) and acoustic analysis in measuring dysphonia severity. J Voice. (2024). doi: 10.1016/j.jvoice.2024.07.014

PubMed Abstract | Crossref Full Text | Google Scholar

72. Kim GH, Lim DW, Cheon YI, Shin SC, Lee BJ, Lee YW. Acoustic analysis for predicting voice recovery following injection laryngoplasty in patients with unilateral vocal fold paralysis. J Voice. (2025). doi: 10.1016/j.jvoice.2025.01.007

PubMed Abstract | Crossref Full Text | Google Scholar

73. Uloza V, Petrauskas T, Padervinskis E, Ulozaitė N, Barsties B, Maryn Y. Validation of the acoustic voice quality Index in the Lithuanian language. J Voice. (2017) 31(2):257.e1–257.e11. doi: 10.1016/j.jvoice.2016.06.002

PubMed Abstract | Crossref Full Text | Google Scholar

74. Uloza V, Latoszek BB, Ulozaite-Staniene N, Petrauskas T, Maryn Y. A comparison of dysphonia severity Index and acoustic voice quality Index measures in differentiating normal and dysphonic voices. Eur Arch Otorhinolaryngol. (2018) 275(4):949–58. doi: 10.1007/s00405-018-4903-x

PubMed Abstract | Crossref Full Text | Google Scholar

75. von Latoszek BB, Ulozaitė-Stanienė N, Maryn Y, Petrauskas T, Uloza V. The influence of gender and age on the acoustic voice quality Index and dysphonia severity Index: a normative study. J Voice. (2019) 33(3):340–5. doi: 10.1016/j.jvoice.2017.11.011

PubMed Abstract | Crossref Full Text | Google Scholar

76. Ulozaite-Staniene N, Petrauskas T, Šaferis V, Uloza V. Exploring the feasibility of the combination of acoustic voice quality index and glottal function index for voice pathology screening. Eur Arch Otorhinolaryngol. (2019) 276(6):1737–45. doi: 10.1007/s00405-019-05433-5

PubMed Abstract | Crossref Full Text | Google Scholar

77. Maskeliūnas R, Damaševičius R, Blažauskas T, Pribuišis K, Ulozaitė-Stanienė N, Uloza V. Pareto-Optimized AVQI assessment of dysphonia: a clinical trial using Various smartphones. Appl Sci. (2023) 13(9):5363. doi: 10.3390/app13095363

Crossref Full Text | Google Scholar

78. Uloza V, Ulozaitė-Stanienė N, Petrauskas T, Kregždytė R. Accuracy of acoustic voice quality Index captured with a smartphone – measurements with added ambient noise. J Voice. (2023) 37(3):465.e19–e26. doi: 10.1016/j.jvoice.2021.01.025

PubMed Abstract | Crossref Full Text | Google Scholar

79. Uloza V, Ulozaitė-Stanienė N, Petrauskas T, Pribuišis K, Ulozienė I, Blažauskas T, et al. Smartphone-Based voice wellness Index application for dysphonia screening and assessment: development and reliability. J Voice. (2023). doi: 10.1016/j.jvoice.2023.10.021

PubMed Abstract | Crossref Full Text | Google Scholar

80. Uloza V, Ulozaitė-Stanienė N, Petrauskas T, Pribuišis K, Blažauskas T, Damaševičius R, et al. Reliability of universal-platform-based voice screen application in AVQI measurements captured with different smartphones. J Clin Med. (2023) 12(12):4119. doi: 10.3390/jcm12124119

PubMed Abstract | Crossref Full Text | Google Scholar

81. Uloza V, Pribuišis K, Ulozaite-Staniene N, Petrauskas T, Damaševičius R, Maskeliūnas R. Accuracy analysis of the multiparametric acoustic voice indices, the VWI, AVQI, ABI, and DSI measures, in differentiating between normal and dysphonic voices. J Clin Med. (2024) 13(1):99. doi: 10.3390/jcm13010099

PubMed Abstract | Crossref Full Text | Google Scholar

82. Jayakumar T, Rajasudhakar R, Benoy JJ. Comparison and validation of acoustic voice quality Index version 2 and version 3 among south Indian population. J Voice. (2024) 38(5):1248.e1–.e9. doi: 10.1016/j.jvoice.2022.02.019

PubMed Abstract | Crossref Full Text | Google Scholar

83. Rahimifar P, Soltani M, Moradi N, Rafie S, Hesam S, Yazdi MJS. Evaluation of acoustic voice quality Index in Persian-speaking Parkinson’s patients compared to healthy controls and its association with disease severity based on UPDRS-III and dysarthria severity. J Voice. (2024). doi: 10.1016/j.jvoice.2024.10.022

PubMed Abstract | Crossref Full Text | Google Scholar

84. Asiaee M, Nourbakhsh M, Vahedian-Azimi A, Zare M, Jafari R, Atashi SS, et al. The feasibility of using acoustic measures for predicting the total opacity scores of chest computed tomography scans in patients with COVID-19. Clin Linguist Phon. (2024) 38(2):97–115. doi: 10.1080/02699206.2022.2160659

PubMed Abstract | Crossref Full Text | Google Scholar

85. Núñez-Batalla F, Díaz-Fresno E, Álvarez-Fernández A, Cordero GM, Pendás JLL. Application of the acoustic voice quality Index for objective measurement of dysphonia severity. Acta Otorrinolaringol (Engl Ed). (2017) 68(4):204–11. doi: 10.1016/j.otoeng.2017.06.007

Crossref Full Text | Google Scholar

86. Hernández JD, Gómez NML, Jiménez A, Izquierdo LM, von Latoszek BB. Validation of the acoustic voice quality Index version 03.01 and the acoustic breathiness Index in the Spanish language. Ann Otol Rhinol Laryngol. (2018) 127(5):317–26. doi: 10.1177/0003489418761096

Crossref Full Text | Google Scholar

87. Gómez NML, Hernández JD, Hernández JL, Artazkoz Del Toro JJ. Objective analysis of voice quality in patients with thyroid pathology. Clin Otolaryngol. (2022) 47(1):81–7. doi: 10.1111/coa.13860

Crossref Full Text | Google Scholar

88. Moya-Galé G, Spielman J, Ramig LA, Campanelli L, Maryn Y. The acoustic voice quality Index (AVQI) in people with Parkinson’s disease before and after intensive voice and articulation therapies: secondary outcome of a randomized controlled trial. J Voice. (2024) 38(6):1529.e7–1529.e16. doi: 10.1016/j.jvoice.2022.03.014

Crossref Full Text | Google Scholar

89. Pah ND, Indrawati V, Prayitno A, Kumar DK. The effectiveness of acoustic voice quality Index to identify people with Parkinson’s disease. IEEE Access. (2024) 12:172018–26. doi: 10.1109/access.2024.3498836

Crossref Full Text | Google Scholar

90. Steurer H, Schalling E, Franzén E, Albrecht F. Characterization of mild and moderate dysarthria in Parkinson’s disease: behavioral measures and neural correlates. Front Aging Neurosci. (2022) 14:870998. doi: 10.3389/fnagi.2022.870998

PubMed Abstract | Crossref Full Text | Google Scholar

91. Steurer H, Albrecht F, Gustafsson JK, Razi A, Franzén E, Schalling E. Speech and neuroimaging effects following HiCommunication: a randomized controlled group intervention trial in Parkinson’s disease. Brain Communications. (2024) 6(4):fcae235. doi: 10.1093/braincomms/fcae235

PubMed Abstract | Crossref Full Text | Google Scholar

92. Sagiroglu S, Kurtul N. The effect of supraclavicular radiotherapy on acoustic voice quality Index (AVQI), spectral amplitude and perturbation values. J Voice. (2020) 34(4):649.e7–649.e13. doi: 10.1016/j.jvoice.2019.01.003

PubMed Abstract | Crossref Full Text | Google Scholar

93. Yeşilli-Puzella G, Tadıhan-Özkan E, Maryn Y. Validation and test-retest reliability of acoustic voice quality Index version 02.06 in the turkish language. J Voice. (2022) 36(5):736.e25–e32. doi: 10.1016/j.jvoice.2020.08.021

PubMed Abstract | Crossref Full Text | Google Scholar

94. Yeşilli-Puzella G, Maryn Y, Tunçer AM, Akbulut S, Ünsal EM, Özkan ET. Validation of the acoustic voice quality Index version 03.01 in turkish. J Voice. (2024). doi: 10.1016/j.jvoice.2024.08.030

Crossref Full Text | Google Scholar

95. Gölaç H, Gülaçtı A, Atalık G, Çabuk GB, Yılmaz M. What do the voice-related parameters tell US? The multiparametric index scores, cepstral-based methods, patient-reported outcomes, and durational measurements. Eur Arch Oto-Rhino-Laryngol. (2025) 282(3):1355–65. doi: 10.1007/s00405-024-09192-w

PubMed Abstract | Crossref Full Text | Google Scholar

96. Hawkins DM. The problem of overfitting. J Chem Inf Comput Sci. (2004) 44:1–12. doi: 10.1021/ci0342472

PubMed Abstract | Crossref Full Text | Google Scholar

97. Cook JA, Ranstam J. Overfitting. Br J Surg (2016) 103:1814. doi: 10.1002/bjs.10244

PubMed Abstract | Crossref Full Text | Google Scholar

98. Neijman M, Sluis KE van, Son RJJH van, Stuiver MM, Hilgers FJM, Brekel MWM van den, et al. Tracheoesophageal voicing following resistance-based dysphagia rehabilitation: an exploratory multidimensional assessment. Head Neck. (2025) (8):2209–22. doi: 10.1002/hed.28136

PubMed Abstract | Crossref Full Text | Google Scholar

99. Brockmann-Bauser M, de Paula Soares MF. Do we get what we need from clinical acoustic voice measurements? Appl Sci (Switzerland). (2023) 13:941. doi: 10.3390/app13020941

Crossref Full Text | Google Scholar

100. Fuchs R, Maxwell O. The effects of mp3 compression on acoustic measurements of fundamental frequency and pitch range. Speech Prosody. (2016) 2016:523–7. doi: 10.21437/speechprosody.2016-107

Crossref Full Text | Google Scholar

101. Oreskovic J, Kaufman J, Fossat Y. Impact of audio data compression on feature extraction for vocal biomarker detection: validation study. JMIR Biomed Eng. (2024) 9:e56246. doi: 10.2196/56246

PubMed Abstract | Crossref Full Text | Google Scholar

102. Cavalcanti JC, Englert M, Oliveira M, Constantini AC. Microphone and audio compression effects on acoustic voice analysis: a pilot study. J Voice. (2023) 37:162–72. doi: 10.1016/j.jvoice.2020.12.005

PubMed Abstract | Crossref Full Text | Google Scholar

103. Weerathunge HR, Segina RK, Tracy L, Stepp CE. Accuracy of acoustic measures of voice via telepractice videoconferencing platforms. J Speech Lang Hear Res. (2021) 64:2586–99. doi: 10.1044/2021_JSLHR-20-00625

PubMed Abstract | Crossref Full Text | Google Scholar

104. Zhang C, Jepson K, Lohfink G, Arvaniti A. Comparing acoustic analyses of speech data collected remotely. J Acoust Soc Am. (2021) 149:3910–6. doi: 10.1121/10.0005132

PubMed Abstract | Crossref Full Text | Google Scholar

105. Lundgren S, Saeys T, Karlsson F, Olofsson K, Blomstedt P, Linder J, et al. Deep brain stimulation of caudal zona incerta and subthalamic nucleus in patients with parkinson’s disease: effects on voice intensity. Parkionsons Dis. (2011) 2011:658956. doi: 10.4061/2011/658956

Crossref Full Text | Google Scholar

106. Wesselhoff J, Gauding J. Validering av texten “Trapetskonstnären” : analys av högläsning av personer med neuromotorisk talstörning och friska kontrollpersoner (2015). Available online at: http://hdl.handle.net/10616/44955 (Accessed August 21, 2025).

Google Scholar

107. Holmgren E, Spyckerelle I, Hultin M, Nylén F, Ottander U, Sahlin C, et al. Reading aloud compared with positive expiratory pressure after abdominal surgery. a randomized controlled trial. Int J Surg: Glob Heal. (2024) 7:e00487. doi: 10.1097/gh9.0000000000000487

Crossref Full Text | Google Scholar

108. Jadoul Y, Thompson B, de Boer B. Introducing parselmouth: a python interface to praat. J Phonetics. (2018) 71:1–15. doi: 10.1016/j.wocn.2018.07.001

Crossref Full Text | Google Scholar

109. R Core Team. R: A Language and Environment for Statistical Computing [Computer program]. Vienna: R Foundation for Statistical Computing (2024). Available online at: https://www.R-project.org/ (Accessed 10 October 2024).

Google Scholar

110. Karlsson F, Hartelius L. On the primary influences of age on articulation and phonation in maximum performance tasks. Languages. (2021) 6:174. doi: 10.3390/languages6040174

Crossref Full Text | Google Scholar

111. Mumtaz H, Riaz MH, Wajid H, Saqib M, Zeeshan MH, Khan SE, et al. Current challenges and potential solutions to the use of digital health technologies in evidence generation: a narrative review. Front Digit Heal. (2023) 5:1203945. doi: 10.3389/fdgth.2023.1203945

PubMed Abstract | Crossref Full Text | Google Scholar

112. Kanzler CM, Lessard I, Gassert R, Brais B, Gagnon C, Lambercy O. Reliability and validity of digital health metrics for assessing arm and hand impairments in an ataxic disorder. Ann Clin Transl Neurol. (2022) 9:432–43. doi: 10.1002/acn3.51493

PubMed Abstract | Crossref Full Text | Google Scholar

Keywords: AVQI, reliability, dysphonia assessment, simulation study, narrative review

Citation: Nylén F (2025) On Acoustic Voice Quality Index measurement reliability in digital health applications: a narrative review and empirical evaluation of speech sample length requirements. Front. Digit. Health 7:1610353. doi: 10.3389/fdgth.2025.1610353

Received: 16 April 2025; Accepted: 29 October 2025;
Published: 24 November 2025.

Edited by:

Toshiyo Tamura, Waseda University, Japan

Reviewed by:

Tong Xia, University of Cambridge, United Kingdom
Yamini Venkatraman, Kasturba Medical College, India

Copyright: © 2025 Nylén. This is an open-access article distributed under the terms of the Creative Commons Attribution License (CC BY). The use, distribution or reproduction in other forums is permitted, provided the original author(s) and the copyright owner(s) are credited and that the original publication in this journal is cited, in accordance with accepted academic practice. No use, distribution or reproduction is permitted which does not comply with these terms.

*Correspondence: Fredrik Nylén, ZnJlZHJpay5ueWxlbkB1bXUuc2U=

Disclaimer: All claims expressed in this article are solely those of the authors and do not necessarily represent those of their affiliated organizations, or those of the publisher, the editors and the reviewers. Any product that may be evaluated in this article or claim that may be made by its manufacturer is not guaranteed or endorsed by the publisher.