ORIGINAL RESEARCH article
Front. Digit. Health
Sec. Digital Mental Health
This article is part of the Research TopicAdvancing Digital Mental Health for YouthView all 12 articles
AI-Driven Dynamic Psychological Measurement: Correcting University Student Mental Health Scales Using Daily Behavioral and Cognitive Data
Provisionally accepted- Inner Mongolia People's Hospital, Hohhot, China
Select one of your emails
You have multiple emails registered with Frontiers:
Notify me on publication
Please enter your email address:
If you already have an account, please login
You don't have a Frontiers account ? You can register here
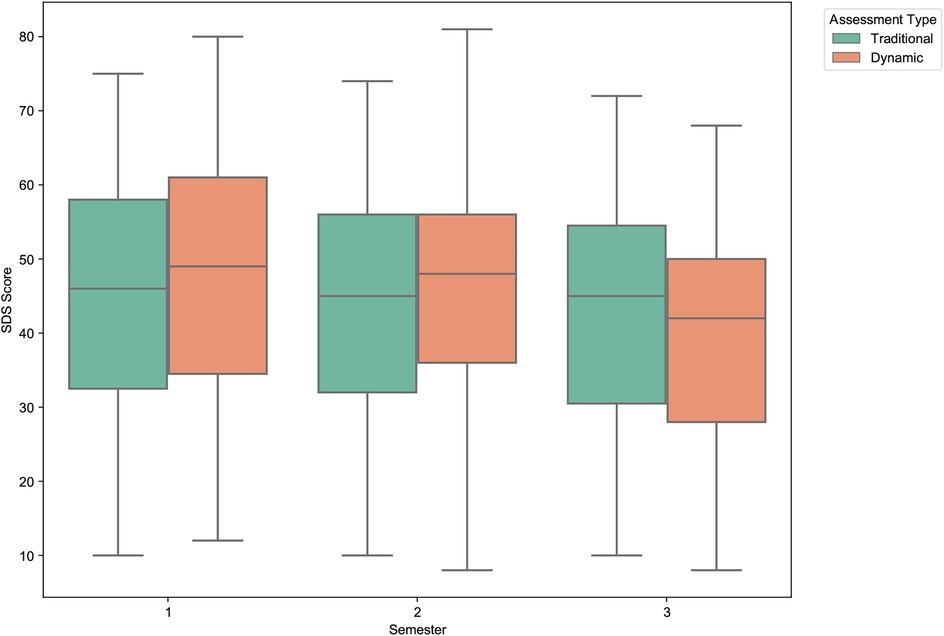
Objective: This study aimed to evaluate an Artificial Intelligence (AI)-driven dynamic psychological measurement method for correcting traditional mental health scales. We sought to validate its feasibility using daily behavioral and cognitive data from university students and assess its potential as an intervention tool. Methods: A total of 177 university students participated in a one-and-a-half-year study. Using a WeChat mini-program, we collected data from cognitive voting (87 instances), behavioral check-ins (66 instances), and standardized psychological scales (SAS, SDS, SCL-90). Scale scores were dynamically adjusted using Large Language Models (LLMs) and Retrieval-Augmented Generation (RAG) techniques. Paired-sample t-tests, MANOVA, and Cohen's d were used to compare the performance of the dynamic model against traditional scales. Intervention effects were validated using the Hamilton Anxiety Rating Scale (HAM-A) and Hamilton Depression Rating Scale (HAM-D). Results: The dynamic assessment demonstrated superior performance in identifying both anxiety (SAS: dynamic model AUC=0.95 vs. traditional AUC=0.86) and depression (SDS: dynamic model AUC=0.93 vs. traditional AUC=0.82). Over three semesters, participating students showed significant decreases in clinically-rated anxiety scores on the HAM-A (15.2% reduction; 95% CI for mean difference [1.00, 5.25], p=0.004) and depression scores on the HAM-D (40.0% reduction; 95% CI for mean difference [2.71, 7.71], p<0.001). High student engagement was observed (cognitive voting participation: 79%; behavioral check-ins: 42%). While the dynamic adjustment for the SCL-90 was initially effective (R2 = 0.34), its specificity later decreased, potentially due to interference from life factors (dynamic model MSE=102.74 vs. traditional MSE=84.17). Discussion: AI-driven dynamic assessment provides superior accuracy for anxiety (SAS) and depression (SDS) scales over static methods by effectively capturing psychological fluctuations. The significant reductions in clinically-rated anxiety and depression suggest the system may function as an integrated assessment-intervention loop, fostering self-awareness through continuous feedback. High user engagement confirms the method's feasibility. However, the model's diminished specificity for the complex SCL-90 scale over time highlights challenges in handling intricate, long-term symptom patterns. This research supports a shift towards continuous 'digital phenotyping' and underscores the need for rigorous validation, multimodal data integration, and robust ethical considerations.
Keywords: Dynamic Psychological Measurement, artificial intelligence, Scale correction, university student mental health, Behavioral and Cognitive Data
Received: 21 Apr 2025; Accepted: 12 Nov 2025.
Copyright: © 2025 Tong, Liang, He, Yang, Yang and Gao. This is an open-access article distributed under the terms of the Creative Commons Attribution License (CC BY). The use, distribution or reproduction in other forums is permitted, provided the original author(s) or licensor are credited and that the original publication in this journal is cited, in accordance with accepted academic practice. No use, distribution or reproduction is permitted which does not comply with these terms.
* Correspondence: BG Tong, dackmoon123@126.com
Disclaimer: All claims expressed in this article are solely those of the authors and do not necessarily represent those of their affiliated organizations, or those of the publisher, the editors and the reviewers. Any product that may be evaluated in this article or claim that may be made by its manufacturer is not guaranteed or endorsed by the publisher.
